Fig 1.

Fig 2.

Fig 3.

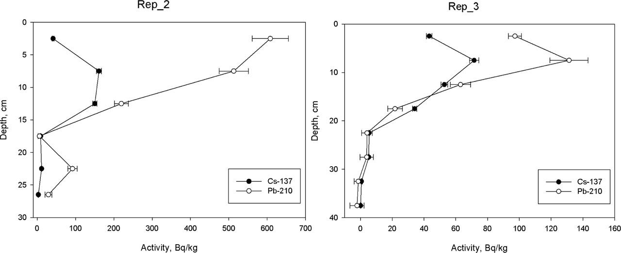
Fig 4.

Fig 5.

Summarised results of activity concentrations measurement, dose rate calculation, equivalent doses and OSL ages for collected samples_ All measured values reported with standard deviation_
| Site | Sample name | Lab code | Depth (cm) | Water cont. (%) | A 238U (Bq·kg−1) | A 232Th (Bq ·kg−1) | A 40K (Bq ·kg−1) | Dr (Gy · kg−1) | De (Gy) | OSL date ± σ (ka)1 |
|---|---|---|---|---|---|---|---|---|---|---|
| REP/1 | OSL/Rep/1/1 | GdTL-4584 | 60 | 13 | 24.5 ± 0.8 | 98.1 ± 1.9 | 74.7 ± 7.6 | 2.362 ± 0.083 | n/a | n/a |
| OSL/Rep/1/2 | GdTL-4585 | 90 | 8 | 14.7 ± 0.5 | 14.2 ± 0.7 | 154 ± 12 | 1.148 ± 0.047 | 247.8 ± 9.6 | 216 ± 12 | |
| OSL/Rep/1/3 | GdTL-4586 | 101 | 23 | 31.8 ± 1.0 | 73.4 ± 1.6 | 305 ± 24 | 2.492 ± 0.087 | 316 ± 15 | 127.7 ± 7.5 | |
| REP/2 | OSL/Rep/2/1 | GdTL-4587 | 54 | 5 | 13.3 ± 0.5 | 16.0 ± 0.5 | 323 ± 25 | 1.724 ± 0.079 | 20.45 ± 0.86 | 11.79 ± 0.74 |
| OSL/Rep/2/2 | GdTL-4588 | 92 | 8 | 7.5 ± 0.3 | 9.0 ± 0.4 | 206 ± 16 | 1.089 ± 0.050 | 18.86 ± 0.74 | 17.3 ± 1.1 | |
| REP/3 | OSL/Rep/3/1 | GdTL-4589 | 45 | 26 | 39.3 ± 1.1 | 49.4 ± 0.8 | 290 ± 22 | 2.196 ± 0.075 | 5.59 ± 0.45 | 2.47 ± 0.22 |
| OSL/Rep/3/2 | GdTL-4590 | 65 | 18 | 39.7 ± 1.2 | 69.2 ± 1.4 | 343 ± 27 | 2.80 ± 0.10 | 9.29 ± 0.64 | 3.25 ± 0.26 | |
| OSL/Rep/3/3 | GdTL-4591 | 110 | 15 | 27.0 ± 0.8 | 43.0 ± 0.9 | 333 ± 26 | 2.237 ± 0.085 | 239 ± 26 | 107 ± 12 | |
| OSL/Rep/3/4 | GdTL-4592 | 30 | 8 | 14.5 ± 0.5 | 16.7 ± 0.5 | 129 ± 10 | 1.132 ± 0.044 | 201 ± 13 | 178 ± 70 | |
| TG | OSL/TG-1 | GdTL-4675 | Corridor | 7 | 59.9 ± 5.8 | 43.8 ± 6.4 | 152 ± 28 | 2.23 ± 0.382 | 1.23 ± 0.01 | 0.55 ± 0.10 |
| 14.29 ± 0.55 | 0.23 ± 0.30 | 4.9 ± 2.8 |
Results of dendrochronological dating of construction wood_
| Date of inner ring | Date of outer ring | Glk | CC | TV | TVB-P | TVH | CDI |
|---|---|---|---|---|---|---|---|
| 1640 | 1695 | 63 | 58 | 5.2 | 3.2 | 3.2 | 20 |
Results for 14C analysis_ Sample information, carbon content, radiocarbon ages and calibrated age ranges (68_3% and 95_4% probability) are provided_
| Site | Sample name | Lab code | Material | Treatment | mg C (graphite) | 14C age BP ± 1σ | Calibrated age range BC/AD |
|---|---|---|---|---|---|---|---|
| REP/1 | 14C/REP/1/1 | GdA-6972.1.1 | Charcoal | ABA | 0.985 | 396 ± 25 |
|
| 14C/REP/1/2 | GdA-6973.1.1 | Charcoal | ABA | 0.985 | 378 ± 25 |
| |
| 14C/REP/1/3 | GdA-6974.1.1 | Charcoal | ABA | 1.000 | 333 ± 25 |
| |
| REP/2 | 14C/REP/2/1 | GdA-6975.1.1 | Wood | ABA | - | - | - |
| 14C/REP/2/2 | GdA-6976.1.1 | Charcoal | ABA | 0.995 | 404 ± 25 |
| |
| 14C/REP/2/3 | GdA-6977.1.1 | Charcoal | ABA | 0.459 | 788 ± 55 |
| |
| REP/3 | 14C/REP/3/1 | GdA-6978.1.1 | Wood | ABA | 0.980 | 211 ± 25 |
|
| 14C/REP/3/2/A | GdA-6979.1.1 | Wood | Cellulose | 0.989 | 324 ± 25 |
| |
| 14C/REP/3/2/B | GdA-6979.2.1 | Wood | ABA | 0.985 | 343 ± 25 |
| |
| 14C/REP/3/3 | GdA-6980.1.1 | Wood | ABA | 0.994 | 338 ± 25 |
| |
| 14C/REP/3/4 | GdA-6981.1.1 | Charcoal | ABA | 0.980 | 344 ± 25 |
| |
| TG | 14C/TG-1 | GdA-7058.1.1 | Charcoal | ABA | 0.990 | 384 ± 25 |
|
| 14C/TG-2 | GdA-7059.1.1 | Wood | ABA | 0.985 | 1 102 ± 25 |
|