

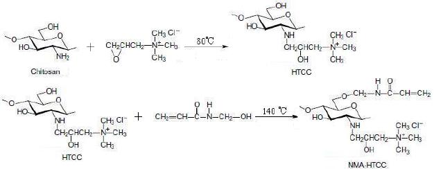
Fig. 1.

Fig. 2.

Fig. 3.

Fig. 4.

Fig. 5.

Fig. 6.

Fig. 7.

Elements on the surface of silk fiber
| Element composition | Surface element content of silk fiber (%) | Change rate (%) | |
|---|---|---|---|
| Before treatment | After treatment | ||
| C | 83.44 | 86.19 | + 3.30 |
| O | 9.42 | 8.79 | -6.69 |
| N | 5.20 | 2.19 | -57.88 |
Composition analysis of N(1s)
| Parameter of peak | Before treatment | After treatment | |
|---|---|---|---|
| 0 peak | 1 peak | ||
| Binding energy/eV | 399.70 | 399.50 | 400.50 |
| Half peak width/eV | 2.13 | 1.89 | 1.99 |
| Peak area | 251.67 | 68.16 | 79.68 |