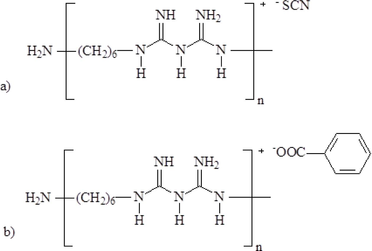
Fig. 1.

Fig. 2.

Analysis of FTTR bands corresponding to individual vibrations in the tested samples
| Wave number (cm−1) | Chemical bond or group | Type of chemical compound | Type of vibration |
|---|---|---|---|
| 3318 | N-H | Amine (biguanide) | Stretch |
| 2934 | C-H (alif.) | Alifatic hydrocarbons (polyhexamethylene..) | Stretch |
| 2060 | SCN | Nitrile | Stretch |
| 1630 | C=N | Biguanide | Stretch |
| 1551 | N-H | Biguanide | Deformation |
| 1381 | C-O | Carboxylate anion | Stretch (symetric) |
| 1153 | C-O | Carboxylate anion | Stretch (asymetric) |
| 719 | C-H (arom.) | Monosubstituted aromatic ring | Deformation |
Thermal stability of PHMB-BS
| Temperature range (°C) | Maximum decomposition temperature (°C) | Weight loss (%) |
|---|---|---|
| 111-175 | 125 | 9.82 |
| 175-300 | 287 | 26.46 |
| 300-400 | 365 | 22.18 |
| 400-500 | 482 | 36.89 |
The results of the antibacterial activity of the tested films against E_ coli
| Type of bacteria | Sample | A | Assessment |
|---|---|---|---|
| E. coli | PE/PHMB-BS | 3.9 | Very good effect |
| S. aureus | PE/PHMB-BS | 3.1 | Very good effect |
The results of the antibacterial activity of the tested films against E_ coli and S_ aureus
| Type of bacteria | Sample | A | Assessment |
|---|---|---|---|
| E. coli | PHMB-SCN | 1.73 | Satisfactory |
| PHMB-BS | 1.49 | Satisfactory | |
| S. aureus | PHMB-SCN | 2.41 | Good |
| PHMB-BS | 3.00 | Very good effect |
Extruder zone temperatures
| Zone 1 | Zone 2 | Zone 3 | Three-wire head | |
|---|---|---|---|---|
| T (°C) | 150 | 160 | 170 | 180 |
Criterion for assessing the effectiveness of the antimicrobial activity
| The effectiveness of the antibacterial action | A |
|---|---|
| Poor | A<1 |
| Satisfactory | 1≤A≤2 |
| Good | 2≤A<3 |
| Very good | A≥3 |
Extruder zone temperatures and the processing parameters
| Zone 1 | Zone 2 | Zone 3 | Flat-slot head | |
|---|---|---|---|---|
| T (°C) | 170 | 170 | 165 | 160 |
| Screw rotation (1/min) | 100 | |||
| Film width (mm) | 160 | |||
| Film thickness (mm) | 0.08-0.085 | |||