With the rapid development of the application technology of electromagnetic waves, it has been widely used in all walks of life. However, despite promoting the development of electronic information, the electromagnetic wave also brings certain negative effects, such as harm to human health1,2,3. When the electromagnetic wave reaches a certain intensity, it will kill human cells, thus affecting the human immune system, which causes human lesions, leading to cardiovascular and other diseases, as well as affecting the human visual system and nervous system4,5,6. The international agency for research on cancer (IARC) has published a monograph listing electromagnetic radiation of extremely low frequency as a suspected carcinogen. If children are exposed to an average of more than 0.3~0.4 μT of the residential power magnetic field, the risk of leukemia will be doubled, due to the wide use of electronic tools such as notebook computers, printers and mobile phones, Electromagnetic interference and electromagnetic radiation have become more and more serious and common social problems, and electromagnetic shielding is one vital method used to prevent electromagnetic interference from harming. Thus, the research on electromagnetic shielding materials with excellent properties is an effective approach to make building materials, clothing, shielding, curtains and other products with such a protective function, to effectively reduce the damage of electromagnetic radiation to the human body, as well as to reduce the harm of electromagnetic radiation to the human body7,8,9.
Nickel powder is one type of metal powder with a good ferromagnetic property and belongs to the group of magnetic-loss absorbing materials. Nickel powder has a low density, moderate price, strong absorption, scattering abilities, corrosion resistance and oxidation resistance, as well as effective resistance to electromagnetic interference10. In this paper, a coated composite of nickel powder was prepared on a polyester-cotton plain weave fabric by adopting the coating process, using PU2540 polyurethane as the matrix and nickel powder as the functional particle, and its electromagnetic properties were tested and analysed.
The experimental material: polyester-cotton plain weave fabric, was supplied by the Baoji Changyuan Industry And Trade Co., LTD. The polyester-cotton plain weave fabric had a surface density of 140 g/m2, warp density of 96 pieces/10 cm, weft density of 96 pieces/10 cm, and thickness of 0.256 mm. The content of cotton and polyester is 90% and 10%, respectively.
The main experimental drugs are shown in Table 1.
Main experimental drugs
| Name of agent/reagent | Specification | Manufacturer |
|---|---|---|
| Nickel powders | W-5 | Shenzhen Changxinda Shielding Material Co., LTD |
| Polyurethane (Pu) | PU2540 | Guangzhou Yuheng Environmental Protection Materials Co., LTD |
| Defoaming agent | 5020 | Jiangsu Hengyu Chemical Industry Group Co., LTD |
| Thickener | 7011 | Guangzhou Dianmu Composites Business Department |
The main experimental instruments are shown in Table 2.
Main experimental instruments
| The name of the instrument | Type | The manufacturer |
|---|---|---|
| Precision electronic balance | 2004A | Shunyu Hengping Instrument Co., LTD |
| Digital fabric thickness meter | YG141D Type | Laizhou Electronic Instrument Co., LTD |
| Digital viscometer | SNB-2 Type | Shanghai Hengping Instrument Instrument Factory |
| Single-phase series motor | U400/80 Type | Shanghai Weite Motor Co., LTD |
| Coating machine | LTE-S87609 Type | Werner Mathis, Switzerland |
| High-temperature blast drying oven | DGG-9148A Type | Shanghai Aozhen Instrument Manufacturing Co., LTD |
| Vector network analyzer | ZNB40 Type | Rohde & Schwarz, Germany |
| Dielectric spectrometer | BDS50 Type | Novocontorl Gmbh, Germany |
The coating material was prepared using the coating process11-12. Single-layer coated polyester-cotton fabrics were prepared by the fabric coating process with polyester-cotton fabric as the base cloth, nickel powders as the functional particles, and PU-2540 type polyurethane as the substrate. Firstly, the nickel powder was dispersed in PU2540 type polyurethane to form a coating with a viscosity of 30379 mPa·s. Secondly, the coating was poured onto the polyester-cotton fabrics; the coating thickness was adjusted to 1 mm, and the coating was evenly coated on the fabrics using a scraper. Finally, the coated fabrics were dried in an oven at 80°C for 10 min.
In order to study the influence of the content of nickel powder on the electromagnetic properties of single-layer coated composites, five types of single-layer coated composites with different contents of nickel powder were prepared on polyester-cotton plain weave fabric by changing the content of nickel powder (values of the mass percentage of the content of functional particles relative to resin were 0%, 10%, 20%, 30% and 40%, respectively). The specific process parameters are shown in Table 3.
Technological parameters of the content of nickel powder
| Content of nickel powder (%) | Coating viscosity (mPa·s) | Coating thickness (mm) | Drying temperature (°C) | Drying time (min) |
|---|---|---|---|---|
| 0 | 30379 | 1 | 80 | 10 |
| 10 | 30379 | 1 | 80 | 10 |
| 20 | 30379 | 1 | 80 | 10 |
| 30 | 30379 | 1 | 80 | 10 |
| 40 | 30379 | 1 | 80 | 10 |
According to the SJ20512-1995 standard test - “the method for testing the complex dielectric constant and complex permeability of microwave high-loss solid materials”, the dielectric constant of the sample was measured by a BDS50 dielectric spectrometer. The test frequency band was set as 1 MHz-1000 MHz, and a sample of 2 cm×2 cm was placed between the upper and lower electrodes of the fixture to test the dielectric constant of the sample13-14.
A ZNB40 vector network analyser was used to measure the reflection loss of the sample. The test line was used to connect the test fixture with the main machine, the test frequency range was set as 10 MHz-3000 MHz, the sample (outer circle diameter of 7.6 cm and inner circle diameter of 3.35 cm) was put into the coaxial fixture after setting; a standard metal plate was placed on the coaxial fixture, and the reflection loss of the sample was tested13-14.
According to the GJB6190-2008 standard: “measurement method of the shielding effectiveness of electromagnetic shielding materials”, the shielding effectiveness of the materials was tested by a vector network analyser, and the test frequency was set as 10 MHz-3000 MHz. The test line was used to connect the test fixture with the main machine; the sample (a circle with a diameter of 13 cm) was placed between the coaxial fixtures after setting, and the shielding effectiveness of the sample was tested15-16.
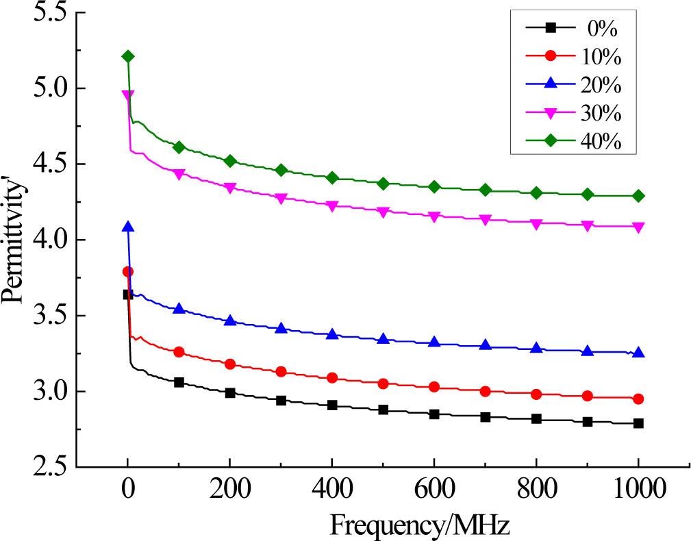
Samples of coated polyester-cotton plain weave fabric with different contents of nickel powder were prepared and their dielectric constants (real and imaginary parts and loss tangent value) tested. The test frequency range was 1 MHz-1000 MHz, which are respectively shown in Figures 1, 2 and 3.
Fig. 1
Influence of the content of nickel powder on the real part of the dielectric constant for coated composites

Fig. 2
Influence of the content of nickel powder on the imaginary part of the dielectric constant for coated composites

Fig. 3
Influence of the content of the nickel powder on the loss tangent value of the dielectric constant for coated composites

As can be seen from Figure 1, within the frequency range of 1-1000 MHz, values of the real part of the dielectric constant for five types of coated composites decreased with the increasing frequencies, among which the value of the real part of the dielectric constant for the coated composite was the largest when the content of nickel powder was 40%; its polarisation ability with respect to electromagnetic waves was the strongest, followed by those values when the contents of nickel powder were 30%, 20%, 10% and 0%, respectively, As the addition of nickel powder increased, particles of nickel powder in the coating increased, and the real part of the dielectric constant of the sample gradually increased. It may be that the real part’s ability to store electrical charge was directly proportional to the electrical conductivity of the single-layer coated composites, with the electrical conductivity of the composites depending on the filling fraction of the conductive fillers and the extent of the conductive particles contacting with each other; the less the content of nickel powder, the poorer the conductive network formed; the poorer the conductive network, the larger the contact resistance, and the lower the electrical conductivity of the single-layer coating, the weaker the real part’s ability to store electrical charge.
It can be seen from Figure 2 that within the frequency range of 1–1000 MHz, values of the imaginary part of the dielectric constant for the five types of coated composites increased with the increasing frequencies. When the frequency of the applied electric field was 1000 MHz, curves of values of the imaginary part of the dielectric constant basically coincided when the contents of nickel powder were 30% and 40%, respectively, both of them were the maximum, and the loss ability with regard to electromagnetic waves was the strongest. Within the frequency range of 15–225 MHz, the value of the imaginary part of the dielectric constant for coated composites with a content of nickel powder of 40% was the largest, followed by those values when the contents of nickel powder were 30%, 20%, 10%, and 0%, respectively. Within the frequency range of 225–705 MHz, the value of the imaginary part of the dielectric constant with a content of nickel powder of 30% was the largest, followed by those values when the contents of nickel powder were 40%, 20%, 10%, and 0%, respectively. It may be that the imaginary part of the dielectric constant depended on the rearrangement of the electric dipole moment; the electric dipole moment experienced the rearrangement directly proportional to the electrical conductivity of the coated composite. The electrical conductivity of the composites depended on the filling fraction of the conductive fillers and the extent of the conductive particles contacting with each other; therefore, as the content of nickel powder increased, the better the conductive network formed, the better the conductivity of the coated composite; the more the electric dipole moment experienced the rearrangement, the larger the value of the imaginary part of the dielectric constant, and the greater the loss ability with respect to electromagnetic waves.
It can be seen from Figure 3 that within the frequency range of 1–1000 MHz, loss tangent values of the dielectric constant of the five coated composites all increased with the increasing frequencies. Within the frequency range of 250–800 MHz, the loss tangent value of the coated composite with a content of nickel powder of 40% was the largest, followed by those values when contents of nickel powders were 30%, 20%, 10%, and 0%, respectively. As the addition of nickel powders increased, the number of particles of nickel powders in the coating increased, and the loss tangent value of the dielectric constant of the sample increased gradually. It may be that the absorbing material needed proper conductivity to make it have a certain attenuation ability with respect to electromagnetic waves (Qing et al., 2015; Wu et al., 2018). The conductivity of the coated composite depended on the filling fraction of the conductive fillers and the extent of the conductive particles contacting with each other; the less the content of nickel powder, the poorer the conductive network formed; the poorer the conductive network, the larger the contact resistance, and the lower the conductivity of the single-layer coated composite.
Samples of coated polyester-cotton plain weave fabric with different contents of nickel powder were prepared and their wave-absorbing properties tested. The test frequency range was 10 MHz-3000 MHz, which is shown in Figure 4.
Fig. 4
Influence of the content of nickel powder on the reflection loss for coated composites

As can be seen from Figure 4, within the frequency range of 1220–3000 MHz, the reflection loss value with a content of nickel powder of 40% was the smallest, and its absorption ability with respect to electromagnetic waves was the strongest. This may be due to the fact that the nickel powder of one type of magnetic dielectric material which has better microwave permeability and can absorb electromagnetic waves through mechanisms such as after-effect resonance and hysteresis loss; thus, it had better absorption performance. Therefore, as the content of nickel powder increased, the absorption performance corresponding to this reflection loss was better. Therefore, in this test, when the content of coated nickel powder was 40%. namely nickel powder accounted for 40% of the resin, the absorption performance was the greatest, followed those values when the content of nickel power was 30%, 20%, 10% and 0%, Respectively.
Samples of the coated polyester-cotton plain weave fabric with different contents of nickel powder were prepared and their shielding properties tested. The test frequency range was 10 MHz-3000 MHz, which is shown in Figure 5.
Fig. 5
Influence of the content of nickel powder on the shielding effectiveness for coated composites

It can be seen from Figure 5 that when the frequency was 10 MHz, values of the shielding effectiveness of the coated composites were the largest when the contents of nickel powder were 10% and 30%, and the shielding properties for electromagnetic waves was the best. Within the frequency range of 760–3000 MHz, the coated composite with a content of nickel powder of 40% had the largest shielding effectiveness, followed those values when the contents were 30%, 20%, 10% and 0%, respectively It may be that when the content of nickel in the coating reached a certain value, nickel particles contacted with each other to form a complete conductive grid, at which time the power frequency electric field would be educed through an inductive effect to achieve a better shielding effect17. In this experiment, the shielding effectiveness was greatest when the content of coated nickel powder was 40%; namely nickel powder accounted for 40% of the resin.
(1) Within the frequency range of 1–1000 MHz, the value of the real part of the dielectric constant of the coated composite containing 40% of nickel powder was the largest and the polarisation ability with respect to electromagnetic waves was the strongest.
(2) Within the frequency range of 1–1000 MHz, values of the imaginary part of the dielectric constant of the five types of coated composites all increased with the increasing frequencies. When the frequency of the applied electric field was 1000 MHz, curves of values of the imaginary part of the dielectric constant basically coincided when the contents of nickel powder were 30% and 40%, respectively Both of them were the maximum, and the loss ability with respect to electromagnetic waves was the strongest. Within the frequency range of 15–225 MHz, the value of the imaginary part of the dielectric constant for the coated composite with a content of nickel powder of 40% was the largest.
(3) Within the frequency range of 1–1000 MHz, loss tangent values of the dielectric constant of the five types of coated composites increased with the increasing frequencies. Within the frequency range of 250–800 MHz, the loss tangent value of the dielectric constant for the coated composite with a content of nickel powder of 40% was the largest.
(4) Within the frequency range of 1220–3000 MHz, the reflection loss value with a content of nickel powder of 40% was the smallest, and its absorption ability with respect to electromagnetic waves was the strongest.
(5) When the frequency was 10 MHz, values of the shielding effectiveness of the coated composites were the largest when the contents of nickel powder were 10% and 30%. and the shielding properties for electromagnetic waves were the best. Within the frequency range of 760–3000 MHz, the coated composite with a content of nickel powder of 40% had the largest shielding effectiveness.