We collated literature regarding stock fabric by using Sci-Hub, CNKI, books, and conference materials, among others. Firstly, we studied different aspects of the literature. Then we analysed the contents and arguments of the relevant literature to determine the theoretical basis for this study.
Then, according to the characteristics of the stock fabric, the physical properties of clothing, and the changing rules of the physical properties of the fibres, we speculated on the changing rules of the physical properties of the stock fabric and constructed a theoretical framework based on the results. Finally, in accordance with this theory, the limit value of the stock fabric for normal use was studied to provide reference experience for the construction of a recycling system for the stock fabric.
The test sample specifications of the cotton stock fabric are displayed in Table 1. In this experiment black and white cotton stock fabrics were selected as the experimental objects. The data from other colours fall within the range between black and white.
Test sample specifications of cotton stock fabric
| Parameter | Natural-Colour Stock Fabric | Black Stock Fabric |
|---|---|---|
| Composition (%) | Cotton 100 | Cotton 100 |
| Weave |
|
|
| Width (cm) | 162 cm | 157 cm |
| Weight(g/dm2) | 120.8 | 136.1 |
| Category | Plain | Poplin |
| Warp(/10cm) | 281 | 482 |
| Weft(/10cm) | 252 | 210 |
| Sample |
|
|
| Sample Size(mm) | 250 × 50 | 250 × 50 |
| SEM |
|
|
Plain and poplin are the simplest woven fabrics with the most stable performance, making them ideal for research. Moreover, these fabrics are the most produced of all cotton fabrics, and their properties have wide applicability.
Figure 1 shows natural-coloured stock fabric samples in a natural environment. There are 13 pieces, consisting of the original sample and 12 pieces of different storage times. It can be seen from the samples that along with extended storage time, the fabrics' colour changed.
Fig. 1
Natural-coloured stock fabric samples in a natural environment (original sample + 12 pieces of different storage time) (Source: author's)

Figure 2 shows black-coloured stock fabric samples in a natural environment. There are a total of 14 pieces: one piece of the original sample and 12 pieces of different storage times. We can see that there is no apparent change in the appearance of the fabrics despite increasing storage times.
Fig. 2
Black-coloured stock fabric samples in a natural environment (original sample + 12 pieces of different storage time) (Source: author's)

Among the global stock fabric supplies, non-synthetic fibre fabrics are the most difficult to preserve since environmental factors significantly impact their properties. Among these non-synthetic fibre fabrics, cotton stock fabric is by far the most abundant. Therefore, this research on the performance of stock fabric focused on stock fabric containing cotton fibres.
Figure 3 is a sample graph showing three factors affecting the physical properties of cotton stock fabric: light and heat from the natural environment, UV rays from the sun, and rain.
Fig. 3
Sample graphs of three factors affecting the physical properties of cotton stock fabric (Source: author's own)

Because the world's population continues to grow, cotton planting areas are being reduced in some countries to make way for crops, which risks the stability of future cotton fibre production. Therefore, it is imperative that waste textiles from cotton, and especially from cotton stock fabric, are reused as much as possible.
The inventory amount of waste cotton stock fabric ranks first among all kinds of stock fabric worldwide. However, cotton stock fabric discolours easily because of oxidization and it quickly loses strength. Because their physical properties degrade rapidly, cotton stock fabric can no longer be used for garment processing after being stored for a certain period. However, it can still be used to make downstream products, such as mops, rags, tablecloths, non-woven fabrics, and non-woven linings. Nevertheless, this is undoubtedly a tremendous waste of cotton stock fabric, thus it is imperative that a physical property prediction system is set up after research and relevant experiments on cotton stock fabric have been completed.
Natural-colour and black are the two poles of the chroma of fabric dyes. Therefore, by studying the physical properties of cotton, the two extreme colours of cotton stock fabric and the physical properties of cotton fabric with other chroma values can be estimated. This study aimed to estimate the quality of all cotton stock fabric via quality-prediction equations and correlation coefficients calculated from experiments conducted with black-coloured and natural-coloured cotton stock fabric. The physical properties of other coloured stock fabrics fluctuate between those of the two extreme colours. The lighter the colour of the cotton stock fabric, the closer the quality trend will be to natural cotton stock fabric, whereas the darker the cotton stock fabric, the closer the quality trend will be to black cotton stock fabric.
Whether or not a stock fabric can be reused is mainly determined by its physical properties, of which the most critical indexes are strength and colour.
Stock fabric is generally stored in warehouses. However, if not stored correctly, these fabrics can still be exposed to the sun and rain. Therefore, our research environments were set as follows: a natural environment, under UV irradiation, and after water immersion. However, for the sake of thoroughness, a supplementary test was also conducted to determine colour fastness.
There are many kinds of stock fabric strength, including tearing, bursting, joint, joint slip, peel joint slip, and peel strength. The most important among them is the tensile breaking strength, which is one of stock fabric's major indexes of its physical properties. Because stock fabric stored over the long term is affected by various factors such as temperature, humidity, and inventory time, the physical properties of stock fabric are reduced along with its service life. In this part, the tensile strength of the stock fabric was used as a reference index to analyze the change rule of the strength of the stock fabric stored in a natural environment, which is of great significance to the preservation of the stock fabric.
Plain cotton stock fabrics of natural and black colour were selected for the experiment in this part of the research. As mentioned earlier, natural-colour and black are the two poles of the chroma of fabric dyes. Therefore, by studying the change loss rate of the cotton stock fabric of the two extreme colours in a natural environment, the change trend of the strength loss rate of other coloured cotton stock fabric with various chroma values was estimated (Note: the determinant of the changing trend of the strength loss rate is the material itself, along with the auxiliary materials that can also affect it). Hence, in this study we estimated the change trend of the strength loss rate of all cotton stock fabrics stored in a natural environment via trend prediction equations and correlation coefficients summarised from the experiments conducted with black-coloured and natural-coloured cotton stock fabric. The change trends of other coloured stock fabrics fluctuate between these two extreme colours. The lighter the colour of cotton stock fabric, the closer the change trend of the strength loss rate will be to that of natural cotton stock fabric. Conversely, the darker the cotton stock fabric, the closer the change trend will be to that of black cotton stock fabric.
Table 2 records test data of natural-coloured cotton stock fabrics from the moment they leave the factory to after having spent 360 days in a natural environment. The data include the breaking strength, elongation, and strength loss rate. The purpose of this table is to provide data for drawing prediction curves using OriginPro.
Test data of mechanical properties of natural-colour stock fabric with storage time
| Storage Time/D | Warp Mechanical Properties of Stock Fabric | Weft Mechanical Properties of Stock Fabric | ||||
|---|---|---|---|---|---|---|
| Breaking Strength/N | Elongation/% | Strength Loss Rate/% | Breaking Strength/N | Elongation/% | Strength Loss Rate/% | |
| 0 | 416.35 | 10.95 | / | 354.42 | 12.75 | / |
| 30 | 413.96 | 10.41 | 0.57 | 350.08 | 12.65 | 1.22 |
| 60 | 413.31 | 10.11 | 0.73 | 347.21 | 12.46 | 2.03 |
| 90 | 412.35 | 9.95 | 0.96 | 343.80 | 12.05 | 3.00 |
| 120 | 409.74 | 9.28 | 1.59 | 341.11 | 11.65 | 3.76 |
| 150 | 407.81 | 8.62 | 2.05 | 338.82 | 11.55 | 4.40 |
| 180 | 405.70 | 8.61 | 2.56 | 337.51 | 11.48 | 4.77 |
| 210 | 405.00 | 8.50 | 2.73 | 336.79 | 11.44 | 4.97 |
| 240 | 403.67 | 8.30 | 3.05 | 335.51 | 11.35 | 5.34 |
| 270 | 401.62 | 8.11 | 3.54 | 334.21 | 11.23 | 5.70 |
| 300 | 400.14 | 8.12 | 3.89 | 332.92 | 11.18 | 6.07 |
| 330 | 399.34 | 8.04 | 4.09 | 332.28 | 11.15 | 6.25 |
| 360 | 398.01 | 7.91 | 4.40 | 329.81 | 11.02 | 6.94 |
Table 3 records test data of black-coloured cotton stock fabrics from the moment they leave the factory to after having spent 360 days in a natural environment. The data include the breaking strength, elongation, and strength loss rate. The purpose of this table is to provide data for drawing prediction curves with OriginPro.
Test data of mechanical properties of black stock fabric with storage time
| Storage Time/D | Warp Mechanical Properties of Stock Fabric | Weft Mechanical Properties of Stock Fabric | ||||
|---|---|---|---|---|---|---|
| Breaking Strength/N | Elongation/% | Strength Loss Rate/% | Breaking Strength/N | Elongation/% | Strength Loss Rate/% | |
| 0 | 557.75 | 6.28 | / | 238.46 | 10.38 | / |
| 30 | 545.32 | 5.34 | 2.23 | 211.98 | 10.12 | 11.16 |
| 60 | 543.62 | 5.22 | 2.53 | 206.07 | 9.96 | 13.63 |
| 90 | 542.18 | 5.01 | 2.79 | 202.96 | 9.92 | 14.94 |
| 120 | 538.18 | 4.98 | 3.51 | 199.34 | 9.91 | 16.45 |
| 150 | 536.05 | 5.01 | 3.89 | 198.08 | 9.87 | 16.98 |
| 180 | 535.59 | 4.95 | 3.97 | 196.67 | 9.72 | 17.57 |
| 210 | 534.93 | 4.89 | 4.09 | 195.86 | 9.58 | 17.91 |
| 240 | 533.62 | 4.91 | 4.33 | 194.08 | 9.48 | 18.66 |
| 270 | 531.71 | 4.84 | 4.67 | 192.38 | 9.35 | 19.37 |
| 300 | 530.81 | 4.79 | 4.83 | 191.55 | 9.25 | 19.72 |
| 330 | 529.08 | 4.66 | 5.14 | 190.07 | 9.05 | 20.34 |
| 360 | 526.16 | 4.51 | 5.66 | 189.58 | 8.51 | 20.54 |
This is the formula for calculating the strength loss rate. The current strength loss rate is the difference between the ex-factory strength value and the current strength value divided by the ex-factory strength value.
Table 4 shows the fracture appearance of cotton stock fabric stored in a natural environment. We can see that the fibre fracture opening of the original sample is clean and that there is no longitudinal crack with a storage time of 0 days. As the storage time increases, the fracture surface becomes less even, and the randomness of fractures begins to increase. At this stage, a small amount of debris begins to appear. From the 150th day, when the yarn breaks, the fibre strength of the outer layer of the yarn is no longer sufficient. By day 210, the fibre has already cracked, and by day 360, at the section of yarn breakage, the phenomenon of fibre self-breakage has started to become obvious.
Cotton stock fabric fracture appearance in a natural environment
| Time (day) | SEM | ||
|---|---|---|---|
|
|
| ||
| Time | SEM | Time | SEM |
|
|
|
|
|
|
|
|
|
|
|
|
|
|
|
|
|
|
|
|
|
|
|
|
|
|
|
|
|
|
Figure 4 shows the relationship between warp strength and storage time for natural-coloured cotton stock fabric in a natural environment. The graph shows that as the storage time increases, the warp strength of the fabric gradually decreases. However, tiny fluctuations can be seen in the middle, and the general trend is a steady, linear decrease.
Fig. 4
Curve of warp-breaking strength of natural-colour stock fabric with storage time and fit polynomial (Source: author's own)

Figure 5 shows the relationship between the warp elongation and storage time of natural-coloured cotton stock fabric in a natural environment. The graph shows that the elongation rate decreases rapidly from about 50 days to 150 days, but the trend becomes slower and relatively stable after 150 days.
Fig. 5
Curve of warp elongation of natural-colour stock fabric with storage time and fit polynomial (Source: author's own)

Figure 6 shows the relationship between the warp strength loss rate and storage time for natural-coloured cotton stock fabric in a natural environment. The graph shows that the warp strength loss rate increases with storage time. There are some fluctuations around the 90 and 180-day marks; otherwise, the rate of change remains steady.
Fig. 6
Curve of warp strength loss rate of natural-colour stock fabric with storage time and fit polynomial (Source: author's own)

Figure 7 shows the relationship between the weft-breaking strength and storage time of natural-coloured cotton stock fabric in a natural environment. The graph shows that the weft-breaking strength decreases markedly in the early stages, but the declining trend becomes slower after about 150 days.
Fig. 7
The curve of weft-breaking strength of natural-colour stock fabric with storage time and fit polynomial (Source: author's own)

Figure 8 shows the relationship between weft elongation and storage time for natural-coloured cotton stock fabric in a natural environment. The graph shows that the weft elasticity begins to decrease significantly approximately 30 days after leaving the factory and becomes steady after about 120 days.
Fig. 8
Curve of weft elongation of natural-colour stock fabric with storage time and fit polynomial (Source: author's own)

Figure 9 shows the relationship between the weft strength loss rate and storage time for natural-coloured cotton stock fabric in a natural environment. The graph shows that the strength loss rate fluctuates significantly during the first 150 days of storage, but then stabilizes after 150 days.
Fig. 9
Curve of the weft strength loss rate of natural-colour stock fabric with storage time and fit polynomial (Source: author's own)

Figure 10 shows the relationship between the warp-breaking strength and storage time for black-coloured cotton stock fabric in a natural environment. It can be seen from the graph that the strength decreases markedly within a period of time after black-coloured cotton stock fabric leaves the factory. This phenomenon is most obvious in dark colours of dyed fabrics and less obvious in other colours. However, after about 30 days, the drop degree tends towards a gentle one at a later stage.
Fig. 10
Curve of the warp-breaking strength of black stock fabric with storage time and fit polynomial (Source: author's own)

Figure 11 shows the relationship between warp elongation and storage time for black-coloured cotton stock fabric in a natural environment. The graph shows that warp elasticity decreases sharply within 30 days after leaving the factory and is most obvious in dark colour dyed fabrics, but less so in other colours. However, warp elongation decreases less sharply at later stages of storage.
Fig. 11
Curve of warp elongation of black stock fabric with storage time and fit polynomial (Source: author's own)

Figure 12 shows the relationship between the warp strength loss rate and storage time for black-coloured cotton stock fabric in a natural environment. The strength loss rate fluctuates after 120 days to 150 days of storage time and remains relatively stable thereafter.
Fig. 12
Curve of the warp strength loss rate of black stock fabric with storage time and fit polynomial (Source: author's own)

Figure 13 shows the relationship between the weft strength and storage time for black stock fabric in a natural environment. We can see that the weft strength of black cotton stock fabric drops significantly within 50 days of leaving the factory. Again, this phenomenon was most obvious in the dark-coloured dyed fabrics, and less so for other colours. After about 50 days, the decline in weft strength slows and stabilises.
Fig. 13
Curve of the weft-breaking strength of black stock fabric with storage time and fit polynomial (Source: author's own)

Figure 14 shows the relationship between weft elasticity and storage time for black stock fabric in a natural environment. The elasticity of black cotton stock fabric does not decrease much during the early stages and then remains relatively stable. However, it then begins to decrease rapidly at around 330 days.
Fig. 14
Curve of weft elongation of black stock fabric with storage time and fit polynomial (Source: author's own)

Figure 15 shows the relationship between the weft strength loss rate and storage time for black stock fabric in a natural environment. We can see that there is a rapid increase in the strength loss rate for the first 120 days of storage. However, thereafter days the strength loss rate gradually slows down.
Fig. 15
Curve of the weft strength loss rate of black stock fabric with storage time and fit polynomial (Source: author's own)

Whether stock fabric can be upcycled in terms of performance depends mainly on the strength and colour. Therefore, it is imperative that the change rules of strength and colour of stock fabrics are studied and that the calculation equations of the change rules of the strength and colour of stock fabrics are established since decisions need to be made quickly as to whether the stock fabric can be upcycled.
Table 5 is a quick reference table showing the estimated time of strength key nodes calculated by the quality-prediction equations of black and natural-coloured cotton stock fabric obtained from the experiments. Through the quick reference table, the time required in strength key nodes can be quickly checked for black and natural-coloured cotton stock fabrics under different environmental conditions, but the estimated times will fluctuate for any other coloured stock fabrics. The lighter the colour of the cotton stock fabric, the closer the value will be to that of natural-coloured fabric, and the darker the colour of the cotton stock fabric, the closer the value will be to that of black fabric.
Quick reference table of strength loss rate node parameters of cotton stock fabric
| Item | Loss Rate | Natural Colour Stock Fabric (Time/D) | Black Colour Stock Fabric (Time/D) | ||
|---|---|---|---|---|---|
| In Natural Environment | In Natural Environment | ||||
| Warp | Weft | Warp | Weft | ||
| Time/D | 5% | 398 | 226 | 304 | 4 |
| 10% | 806 | 544 | 821 | 22 | |
| 15% | 1209 | 859 | 1343 | 106 | |
| 20% | 1617 | 1178 | 1861 | 304 | |
| 25% | 2020 | 1496 | 2378 | 503 | |
| 30% | 2428 | 1814 | 2896 | 699 | |
| 35% | 2831 | 2132 | 3413 | 897 | |
| 40% | 3239 | 2447 | 3935 | 1095 | |
| 45% | 3642 | 2765 | 4453 | 1291 | |
| 50% | 4050 | 3085 | 4970 | 1489 | |
Through this table, and combined with the other experiments in this study, we can draw the following conclusions.
First, the change speed of the stock fabric's physical properties is relatively slow in a natural environment. The strength loss rate of the stock fabric along with its colour and luster are related to the stock time.
As the storage time increases, the colour and luster will become lighter, and the strength loss rate will increase. The strength loss rate of natural-coloured stock fabric is less than that of darker stock fabric. When natural-coloured stock fabric is stored for approximately 3000 days, the strength loss reaches 50%. By contrast, black stock fabric will lose 50% of its strength in 1500 days.
Table 6 shows the surface appearance of cotton stock fabric stored in a natural environment. The SEM photos show that the original control sample prior to storage had a good structure and no major defects. However, as the storage time increased, the surface yarns gradually begin to loosen, with some loose yarns appearing on the surface. After 90 days the loosening intensifies, and after 270 days the yarn looseness is obvious. After 330 days, a break in the fibrous structure on the surface of the natural-coloured cotton stock fabric can be observed.
Cotton stock fabric surface appearance in a natural environment
| Time (day) | SEM | ||
|---|---|---|---|
|
|
| ||
| Time | SEM | Time | SEM |
|
|
|
|
|
|
|
|
|
|
|
|
|
|
|
|
|
|
|
|
|
|
|
|
|
|
|
|
|
|
When natural-coloured cotton stock fabric is stored in a natural environment for 360 days, it loses 4.4% of its warp-breaking strength and 12.56% of its weft-breaking strength. For black cotton stock fabric, the figures are 5.66% and 20.54% for the warp-breaking and weft-breaking strength, respectively.
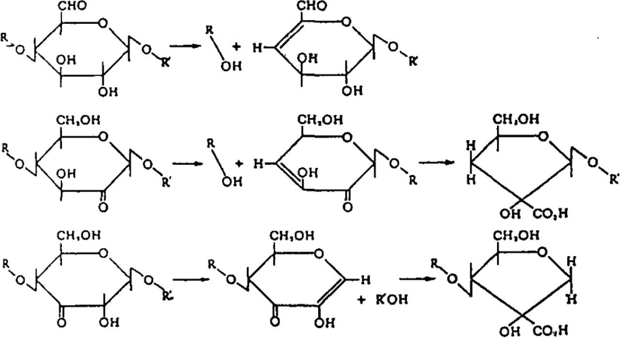
The reason for this is that when cotton stock fabric is stored in a natural environment and is affected by oxygen and water vapour, the free hydroxyl groups at positions C2, C3, and C6 and the reducing terminal groups at position C1 of the cellulose glucose ring become oxidised. Aldehyde, ketone, or carboxyl groups are then introduced into the molecular chain and change the functional groups. Molecules of water vapor enter the cotton stock fabric fibres and change the binding state of the cotton stock fabric fibre molecules, thereby reducing the breaking strength of the cotton fabric. The specific degradation process diagram is shown in Figure 16.
Fig. 16
Alkaline degradation of celluloses containing C6, C2 and C3 carbonyls

The data related to the strength change of cotton stock fabric stored in a natural environment shows that the strength loss rate for both natural-coloured and black cotton stock fabric stored in a natural environment increases with storage time, and is particularly noticeable for black cotton stock fabric. Additionally, the strength loss rates of both natural and black cotton stock fabrics change linearly with storage time.