Figure 1

Figure 2

The differences in BMI, abdominal circumferences, blood pressure, blood glucose, and cholesterol among patients who visited and do not visited Posbindu-NCD of guiding of CHWs during 1-month, 6-month, and 12-month periods (n = 577)_
| Variables | 1-Month | 6-Month | 12-Month | |||||||||
|---|---|---|---|---|---|---|---|---|---|---|---|---|
| Total, n(%) | No, n(%) | Yes, n(%) | LR (P) | Total, n(%) | No, n(%) | Yes, n(%) | LR (P) | Total, n(%) | No, n(%) | Yes, n(%) | LR (P) | |
| BMI | ||||||||||||
| >25 kg/m2 | 148 (25.6) | 15 (33.3) | 133 (25.0) | 2.190 (0.335) | 158 (27.4) | 23 (40.4) | 135 (26.0) | 5.787 (0.055) | 156 (27.0) | 24 (25.5) | 132 (27.3) | 0.586 (0.746) |
| 23–25 kg/m2 | 160 (27.7) | 9 (20.0) | 151 (28.4) | 147 (25.5) | 10 (17.5) | 137 (26.3) | 147 (25.5) | 22 (23.4) | 125 (25.9) | |||
| 18.5–22.9 kg/m2 | 269 (46.6) | 21 (46.7) | 248 (46.6) | 272 (47.1) | 24 (42.1) | 248 (47.7) | 274 (47.5) | 48 (51.1) | 226 (46.8) | |||
| Abdominal circumferences | ||||||||||||
| Male ≥90 cm Female ≥80 cm | 185 (32.1) | 31 (33.0) | 154 (31.9) | 0.043 (0.836) | 205 (35.5) | 14 (25.9) | 191 (36.5) | 2.508 (0.113) | 181 (31.4) | 17 (29.8) | 164 (31.5) | 0.071 (0.790) |
| Male <90 cm Female <80 cm | 392 (67.9) | 63 (67.0) | 329 (68.1) | 372 (64.5) | 40 (74.1) | 332 (63.5) | 396 (68.6) | 40 (70.2) | 356 (68.5) | |||
| Blood pressure | ||||||||||||
| ≥140/90 mmHg | 215 (37.3) | 20 (44.4) | 195 (36.7) | 1.530 (0.454) | 211 (36.6) | 29 (36.3) | 182 (36.6) | 3.317 (0.190) | 221 (38.3) | 27 (50.0) | 194 (37.1) | 3.371 (0.185) |
| 130–139/80–89 mmHg | 163 (28.2) | 13 (28.9) | 150 (28.2) | 85 (14.7) | 7 (8.8) | 78 (15.7) | 68 (11.8) | 5 (9.3) | 63 (12.0) | |||
| <130/90 mmHg | 199 (34.5) | 12 (26.7) | 187 (35.2) | 281 (48.7) | 44 (55.0) | 237 (47.7) | 288 (49.9) | 22 (40.7) | 266 (50.9) | |||
| Blood glucose | ||||||||||||
| >200 mg/dL | 152 (26.3) | 19 (23.8) | 133 (26.8) | 0.387 (0.824) | 154 (26.7) | 15 (16.5) | 139 (28.6) | 6.911 (0.032) | 146 (25.3) | 28 (42.4) | 118 (23.1) | 12.594 (0.002) |
| 145–199 mg/dL | 301 (52.2) | 44 (50.0) | 257 (51.7) | 261 (45.2) | 50 (54.9) | 211 (43.4) | 236 (40.9) | 25 (37.9) | 211 (41.3) | |||
| 80–144 mg/dL | 124 (21.5) | 17 (21.3) | 107 (21.5) | 162 (28.1) | 26 (28.6) | 136 (28.0) | 195 (33.8) | 13 (19.7) | 182 (35.6) | |||
| Cholesterol | ||||||||||||
| ≥190mg/dL | 90 (15.6) | 12 (26.7) | 78 (14.7) | 3.800 (0.051) | 59 (10.2) | 4 (5.1) | 55 (11.0) | 4.955 (0.026) | 31 (5.4) | 0 | 31 (5.9) | 7.151 (0.028) |
| 150–189 mg/dL | 258 (44.7) | 19 (42.2) | 239 (44.9) | 195 (33.8) | 22 (28.2) | 173 (34.7) | 214 (37.1) | 18 (33.3) | 196 (37.5) | |||
| <150 mg/dL | 229 (39.7) | 14 (31.1) | 215 (40.4) | 323 (56.0) | 52 (66.7) | 271 (54.3) | 332 (57.5) | 36 (66.7) | 296 (56.6) | |||
Characteristics of participants correlatation with diabetes mellitus, hypertension, and hypercholesterolemia among patients who visit Posbindu-NCD (n = 577)_
| Variables | Diabetes mellitus | Hypertension | Hypercholesterolemia | ||||||
|---|---|---|---|---|---|---|---|---|---|
| Yes | No | χ2 (P) | Yes | No | χ2 (P) | Yes | No | χ2 (P) | |
| Gender | |||||||||
| Male | 14 (23.4) | 131 (25.3) | 0.011 | 33 (19.3) | 112 (27.6) | 3.963 | 11 (22.9) | 134 (25.3) | 0.038 |
| Female | 45 (76.3) | 387 (22.7) | 0.918 | 138 (80.7) | 294 (72.4) | 0.047 | 37 (77.1) | 395 (74.7) | 0.845 |
| Age (year) | |||||||||
| 18-64 | 35 (59.3) | 341 (65.8) | 0.722 | 115 (67.3) | 261 (64.3) | 0.345 | 34 (70.8) | 342 (64.7) | 0.494 |
| >64 | 24 (40.7) | 177 (34.2) | 0.395 | 56 (32.7) | 145 (35.7) | 0.557 | 14 (29.2) | 187 (35.2) | 0.482 |
| Ethnicity | |||||||||
| Jawa | 47 (79.7) | 299 (57.7) | 9.725 | 127 (74.3) | 219 (53.9) | 19.873 | 42 (87.5) | 304 (57.5) | 15.307 |
| Madura | 12 (20.3) | 219 (42.3) | 0.002 | 44 (25.7) | 187 (46.1) | <0.001 | 6 (12.5) | 225 (42.5) | <0.001 |
| Smoking habit | |||||||||
| Yes | 7 (11.9) | 34 (6.6) | 1.523 | 11 (6.4) | 30 (7.4) | 0.053 | 7 (14.6) | 34 (6.4) | 4.435 |
| No | 52 (88.1) | 484 (93.4) | 0.217 | 160 (93.6) | 376 (92.6) | 0.817 | 41 (85.4) | 495 (93.6) | 0.035 |
| Vegetable consumption | |||||||||
| Yes | 23 (39.0) | 158 (30.5) | 1.398 | 50 (29.2) | 131 (32.3) | 0.381 | 16 (33.3) | 165 (31.2) | 0.021 |
| No | 36 (61.0) | 360 (69.5) | 0.237 | 121 (70.8) | 275 (67.7) | 0.537 | 32 (66.7) | 364 (68.8) | 0.886 |
| Physical exercise | |||||||||
| Yes | 20 (33.9) | 127 (24.5) | 1.986 | 41 (24.0) | 106 (26.1) | 0.187 | 20 (41.7) | 127 (24.0) | 6.328 |
| No | 39 (66.1) | 391 (75.5) | 0.159 | 130 (76.0) | 300 (73.9) | 0.666 | 28 (58.3) | 402 (76.0) | 0.012 |
| Alcohol consumption | |||||||||
| Yes | 6 (10.2) | 10 (1.9) | 10.455 | 2 (1.2) | 14 (3.4) | 1.549 | 1 (2.1) | 15 (2.8) | 0.000 |
| No | 53 (89.8) | 508 (98.1) | 0.001 | 169 (98.8) | 392 (96.6) | 0.213 | 47 (97.9) | 514 (97.2) | 1.000 |
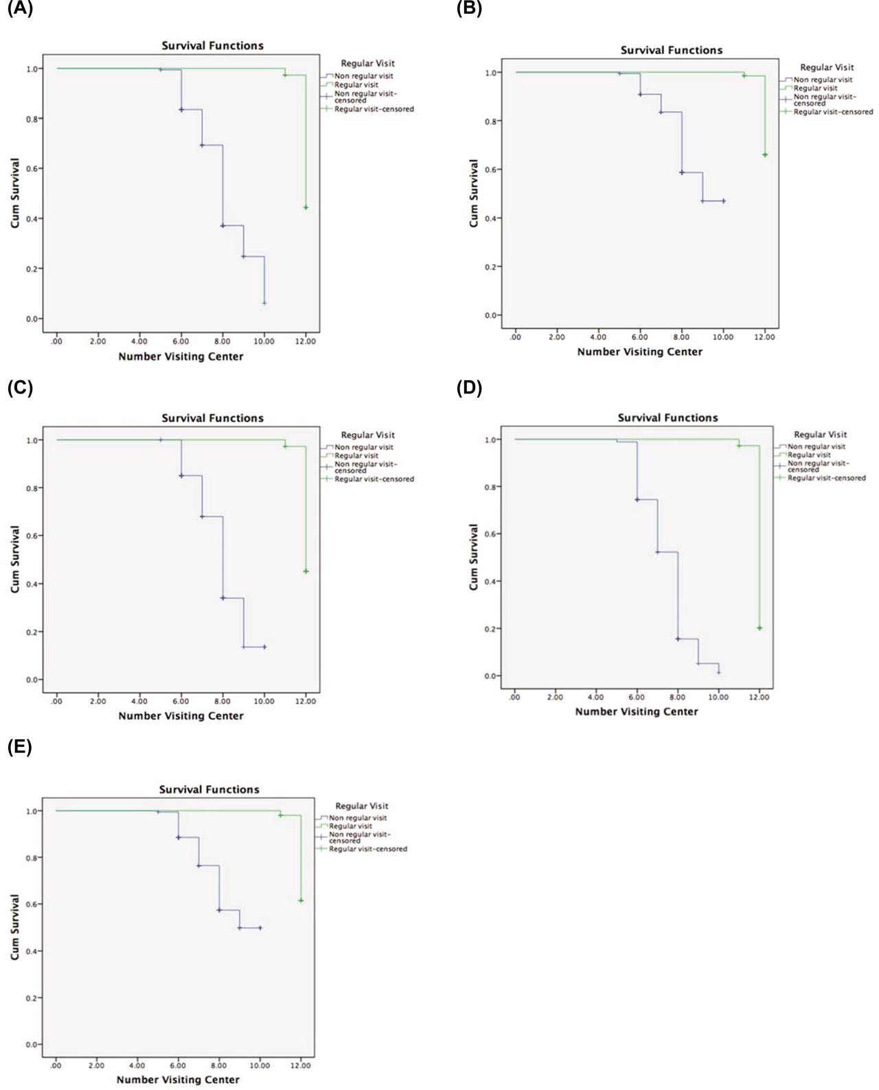
Prediction of survival rate of patients who regularly visit Posbindu-NCD of guiding by CHWs (n = 577)_
| Variables | Total, n | Events, n | Censored, n(%) | Mean | 95% CI | Log rank (χ2) | P-value | ||
|---|---|---|---|---|---|---|---|---|---|
| Estimate | Standard error | Min | Max | ||||||
| BMI | |||||||||
| Non-regular | 176 | 97 | 79 (44.9) | 8.14 | 0.12 | 7.91 | 8.37 | 3.942.4 | <0.001 |
| Regular | 401 | 221 | 180 (44.9) | 11.97 | 0.01 | 11.96 | 11.99 | ||
| Abdominal circumferences | |||||||||
| Non-regular | 176 | 60 | 116 (65.9) | 8.71 | 0.13 | 8.46 | 8.97 | 213.18 | <0.001 |
| Regular | 401 | 152 | 116 (62.1) | 11.98 | 0.01 | 11.97 | 11.99 | ||
| Blood pressure | |||||||||
| Non-regular | 176 | 102 | 74 (42.0) | 8.01 | 0.11 | 7.79 | 8.21 | 423.15 | <0.001 |
| Regular | 401 | 218 | 183 (45.6) | 11.97 | 0.01 | 11.96 | 11.99 | ||
| Blood glucose | |||||||||
| Non-regular | 176 | 154 | 22 (12.5) | 7.46 | 0.09 | 7.29 | 7.64 | 640.91 | <0.001 |
| Regular | 401 | 318 | 83 (20.7) | 11.97 | 0.01 | 11.96 | 11.99 | ||
| Cholesterol | |||||||||
| Non-regular | 176 | 54 | 122 (69.3) | 8.79 | 0.13 | 8.54 | 9.05 | 209.13 | <0.001 |
| Regular | 401 | 134 | 267 (66.6) | 11.98 | 0.01 | 11.97 | 11.99 | ||