Figure 1.

Figure 2.

Figure 3.

Figure 4.

Figure 5.

Figure 6.

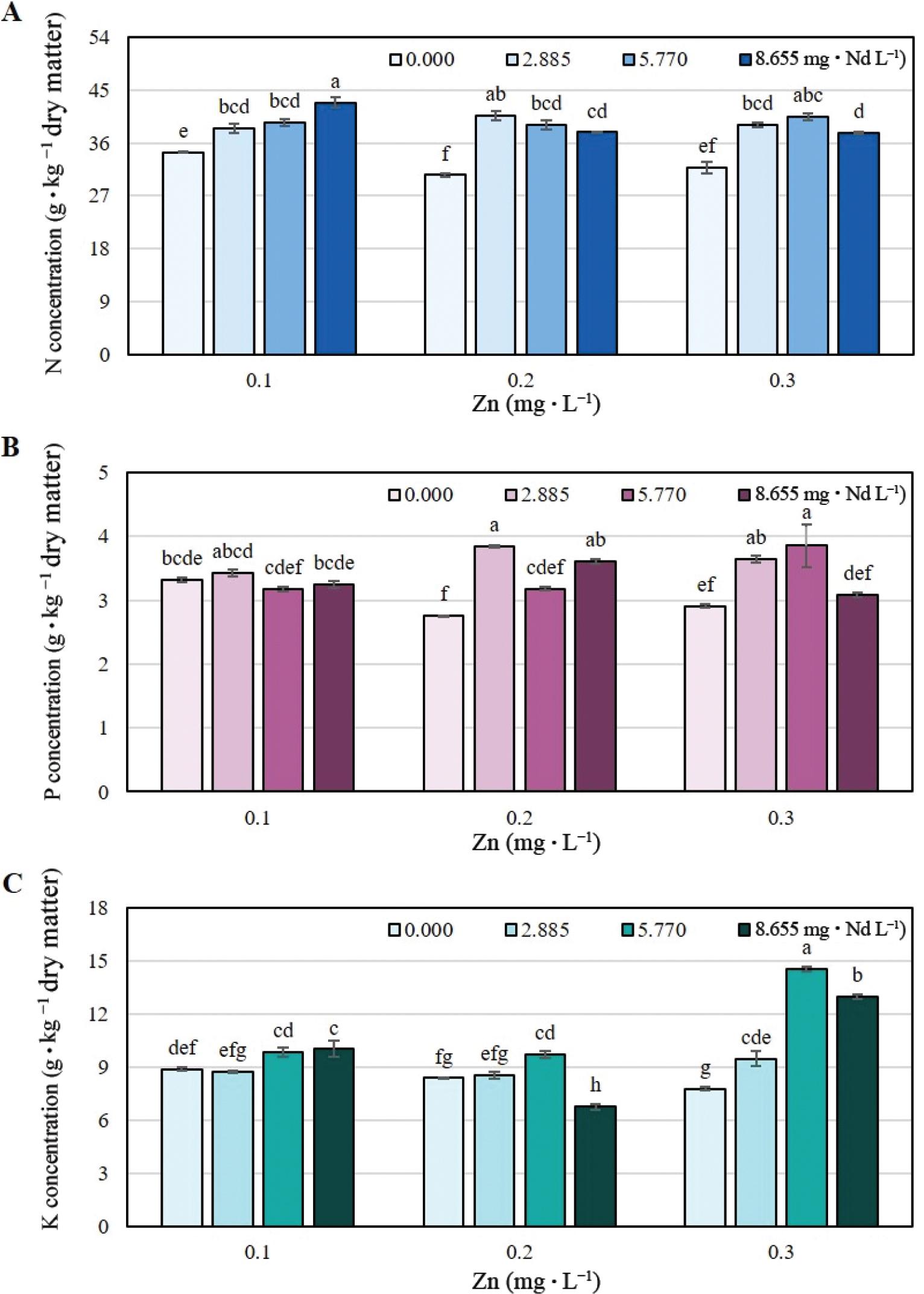
Significance of the study factors and their interaction in the foliar concentration of N, P and K, in lettuce (Lactuca sativa) cv_ ‘Ruby Sky’ plants_
| Study factors | Nitrogen (N) | Phosphorus (P) | Potassium (K) |
|---|---|---|---|
| Nd | <0.0001* | <0.0001* | <0.0001* |
| Zn | <0.0001* | 0.4549ns | <0.0001* |
| Nd × Zn | <0.0001* | <0.0001* | <0.0001* |
Significance of the study factors and their interaction in the weights of fresh and dry biomasses, and their relationships, in lettuce (Lactuca sativa) cv_ ‘Ruby Sky’ plants_
| Study factors | FM | Stem:root FM ratio | DM | Stem:root DM ratio | ||||
|---|---|---|---|---|---|---|---|---|
| Shoot | Root | Total | Shoot | Root | Total | |||
| Nd | 0.0006* | <0.0001* | 0.0004* | 0.3680ns | <0.0001* | 0.0001* | <0.0001* | 0.5537ns |
| Zn | 0.0009* | <0.0001* | 0.0005* | 0.1334ns | <0.0001* | 0.0004* | <0.0001* | 0.0023* |
| Nd × Zn | 0.2578ns | 0.1038ns | 0.2535ns | 0.0186* | 0.0049* | 0.0311* | 0.0054* | 0.0433* |
Composition of the Steiner nutrient solution and chemical sources used in this experiment_
| Nutrient | Concentration (mg · L−1) | Chemical sources | Brand |
|---|---|---|---|
| N | 168.00 | Ca(NO3)2 · 4H2O and KNO3 | Meyer and Meyer |
| P | 31.00 | KH2PO4 | J.T. Baker |
| K | 273.00 | KNO3, K2SO4 and KH2PO4 | Meyer, J.T. Baker, and Meyer |
| Ca | 180.00 | Ca(NO3)2 · 4H2O | Meyer |
| Mg | 48.00 | MgSO4 · 7H2O | Meyer |
| S | 112.00 | K2SO4 and MgSO4 · 7H2O | J.T. Baker and Meyer |
| Fe | 5.00 | Fe-EDTA1 | Sigma-Adrich, J.T. Baker and Meyer |
| Cu | 0.02 | CuSO4 · 5H2O | Fermont |
| Zn | 0.11 | ZnSO4 · 7H2O | Fermont |
| Mn | 0.62 | MnSO4 · H2O | Fermont |
| B | 0.44 | H3BO3 | J.T. Baker |
| Mo | 0.10 | H2MoO4 · H2O | J.T. Baker |
Ratios of fresh and dry stem:root biomasses in lettuce (Lactuca sativa) cv_ ‘Ruby Sky’ plants treated with Nd and Zn_
| Nd (mg · L−1) | Zn (mg · L−1) | Stem:root FM ratio | Stem:root DM ratio |
|---|---|---|---|
| 0.000 | 0.1 | 4.80 ± 0.21 ab | 6.47 ± 0.42 ab |
| 0.000 | 0.2 | 4.22 ± 0.19 b | 6.47 ± 0.41 ab |
| 0.000 | 0.3 | 4.49 ± 0.03 ab | 6.09 ± 0.09 ab |
| 2.885 | 0.1 | 4.65 ± 0.25 ab | 6.17 ± 0.24 ab |
| 2.885 | 0.2 | 4.82 ± 0.16 ab | 5.11 ± 0.19 b |
| 2.885 | 0.3 | 4.70 ± 0.06 ab | 6.54 ± 0.48 ab |
| 5.770 | 0.1 | 4.96 ± 0.09 ab | 6.84 ± 0.18 ab |
| 5.770 | 0.2 | 4.74 ± 0.09 ab | 5.50 ± 0.12 ab |
| 5.770 | 0.3 | 4.81 ± 0.11 ab | 6.77 ± 0.09 ab |
| 8.655 | 0.1 | 4.48 ± 0.13 b | 5.57 ± 0.29 ab |
| 8.655 | 0.2 | 4.53 ± 0.11 ab | 5.17 ± 0.38 b |
| 8.655 | 0.3 | 5.53 ± 0.35 a | 7.56 ± 0.71 a |
Significance of the study factors and their interaction in growth variables of lettuce (Lactuca sativa) cv_ ‘Ruby Sky’ plants_
| Study factors | Plant height | Number of leaves | Leaf length | Root volume | Leaf area |
|---|---|---|---|---|---|
| Nd | 0.0012* | 0.0001* | 0.0196* | 0.0250* | <0.0001* |
| Zn | 0.9442ns | 0.7758ns | 0.0008* | 0.6681ns | 0.0001* |
| Nd × Zn | 0.1283ns | 0.3965ns | 0.0152* | 0.5860ns | 0.0198* |