Lettuce (Lactuca sativa L.) is a leafy vegetable typically eaten fresh or in salad mixes. It is also important for its useful impact on human health and nutrition, which arises from its significance as a good source of nutrients essential for healthy growth and development, including dietary fibres, minerals, vitamins and omega-3 fatty acids (Oh et al., 2009; Saleh et al., 2010; Mohamed et al., 2022). Additionally, it includes a diversity of other health-promoting bioactive substances, such as phenolics, tocopherol, ascorbate and lignans; as a result, it has excellent therapeutic qualities, including anti-inflammatory, cholesterol-lowering, and anti-diabetic actions (Kim et al., 2016). Lettuce is a vegetable with a moderate-to-high sensitivity to salt (Saleh, 2009; Yildirim et al., 2015). Salinity decreased seed germination, number of leaves, photosynthesis or cell growth while it enhanced accumulation of reactive oxygen species (ROS) that negatively affected lettuce growth and productivity (Fernandez et al., 2016; Ahmed et al., 2019).
Salinity is one of the highest abiotic stressors, which causes a major reduction in agricultural productivity, particularly in arid and semi-arid regions (Hernandez, 2019; Saleh et al., 2019). The problem has worsened from turning fertile and productive lands into unproductive lands due to the irrigation of agricultural land with saline water (Shrivastava and Kumar, 2015). Ionic and osmotic stress are brought into existence due to too many salt ions in soil solution, or salinity stress (Parihar et al., 2015). Salinity lowers the stability of the membrane by causing protein and lipid peroxidation and limited root development, thus reducing access to mineral ions. Additionally, it inhibits the activity of enzymes, which results in chlorophyll degradation and photosynthetic inhibition (Fatma et al., 2016). The visible harmful impacts of salinity include decreases of leaf area, necrosis and abscission (Fariduddin et al., 2019). Additionally, salt stress has a considerable effect on the ion uptake of essential nutrients and causes impaired growth promotion, thus resulting in obstacles to normal growth and development (Elkelish et al., 2019; Alnusairi, 2021; Youssef et al., 2021; El-Taher et al., 2022; Abdelkader et al., 2023a, 2023b). Similar to other stressors, salinity causes a significant rise in ROS (AbdElgawad et al., 2016).
Salinity stress causes damage; thus, naturally occurring mechanisms of mitigating stress are upregulated to combat the damage caused. These involve (a) the system of antioxidant to reduce the high ROS buildup, (b) accumulation of osmolyte to maintain water potential in tissue and (c) increased expression of genes encoding key regulatory proteins that regulate a variety of physiological and biochemical paths, such as uptake of ions and exclusion of salt (Xu et al., 2020; Alsamadany et al., 2022). Osmolytes or secondary metabolites help in scavenging ROS in addition to their roles in stress signalling, while proteins, lipids and nucleic acids are structurally and functionally stabilised by the plant’s antioxidant system, which works through both enzymatic and non-enzymatic methods to prevent oxidation (Jogawat, 2019).
Due to climate changes and their effects on increasing the salinity, there is the necessity for adapting to unfavourable environmental conditions. This is achieved either by using plants that have the ability to resist salinity or by using external applications that have the ability to increase plant resistance to these harmful effects. There are diverse paths to mitigate salinity in plants to ensure food security, including using phytohormones-like melatonin (MT). MT is essential for mitigating stress and establishing cellular redox homeostasis, reducting oxidative stress, as well as promoting photosynthesis (ElSayed et al., 2020; EL-Bauome et al., 2022). It controls the rate of protein synthesis and photosynthesis, as well as transpiration and maintains the stability of membranes and the relative water content (RWC). In addition, MT decreases the accumulation of ROS, H2O2 and malondialdehyde (MDA), while increasing antioxidant enzymes; thus, it enhances its antioxidant activity, which controls H2O2 rupture in plants and prevents oxidative damage to plant cells (Merwad et al., 2018; Mehak et al., 2021; Wei et al., 2021).
Previous studies have shown the beneficial effects of MT application under salinity stress that influences antioxidant enzymes, antioxidant solutes and photosynthetic pigments, as well as RWC and electrolyte leakage (EL) in borage plants (Farouk and AL-Huqail, 2022). It mainly increased nutrient uptake, yield and quality. In addition, it reduced plant sensitivity to salt stress in faba bean (Abd El-Ghany and Attia, 2020). MT is known to reduce the effects of salinity stress-linked damage by modulating morphological and physiological processes in addition to increasing antioxidant enzyme activity. There is limited information about how exogenous MT can benefit lettuce development when exposed to salt stress. So, our study proposes to explore the impact of spraying MT on lettuce, under conditions of salinity stress, and the resulting effects it has vegetative growth, photosynthetic pigments, RWC, EL, MDA, H2O2, O2•- and antioxidant enzymes activity and how it overcomes the harmful actions of salinity and fresh water scarcity.
A pot trial was conducted at the open experimental farm, Faculty of Agriculture, Mansoura University, Egypt (31°22′32.32″ E and 31°3′17.05″ N, 10 m above the sea level). The average of the experimental site temperature was 29°C and 13°C in summer and winter, respectively. The experiment was done to study the effect of spraying MT on lettuce plants (L. sativa L.) cv. 'Nader' under NaCl stress. Twelve treatments were investigated under this study, three levels of salinity (0 mM, 50 mM and 100 mM NaCl) with four foliar applications of MT (0 μM, 50 μM, 100 μM and 150 μM). The experimental treatments were applied in randomised complete block design with three replicates.
Pots (40 cm diameter) were filled with 10 kg clay loam soil (31% silt, 42% clay and 23% sand; pH 7.5; electrical conductivity (EC), 0.77 dS ∙ m–1; available N, P and K were 44 mg ∙ kg–1, 3.77 mg ∙ kg–1 and 322 mg ∙ kg–1, respectively), then P and K fertilisation were added as calcium superphosphate and potassium sulphate at 4 g ∙ pot–1. The seeds were sterilised for 4 min with sodium hypochlorite 0.5%; then, distilled water was used for washing many times. The seeds were sown in the nursery on 12th and 14th October in the first season and second season, respectively. The seedlings were transplanted on 8th and 10th November in 2021 and 2022, respectively. N fertilisation was added as ammonium sulphate (3 g ∙ pot–1) three times every 2 weeks after transplanting. Plants were irrigated thrice at 70% of the field capacity every 10 days [(twice with NaCl levels and the third time with tap water at 40% more than the field capacity for leaching, depending on the saturation percentage of the soil to prohibit enhancing the osmotic potential caused by accumulation of salts with successive irrigation procedures according to Abdul Qados and Moftah (2015)]. The first irrigation was done with tap water with 3 L ∙ pot–1, while the subsequent irrigations were either with NaCl or with tap water (for leaching), applied with 500 mL ∙ pot–1 until the end of the experiment. Salinity was determined in the soil according to Dane and Topp (2020). NaCl was dissolved in tap water to prepare salinity solutions at three levels (0 mM, 50 mM and 100 mM), at about 0.9 g NaCl ∙ L–1 water to achieve 50 mM NaCl. Application with MT (0 μM, 50 μM, 100 μM and 150 μM) was performed three times at 15 days, 25 days and 35 days after transplanting, and each plant was sprayed with 10 mL + 0.05% Tween-20 at (v/v). MT was obtained from Sigma-Aldrich chemical company, St. Louis, MO, USA.
Three plant samples were taken after 70 days by transplanting at the end of the experiment from each treatment to determine morphological and physiological parameters as follow:
- –
Number of leaves and fresh weight (g) as a plant yield or dry matter (%).
- –
Leaf area (cm2 ∙ plant–1) was measured according to Koller (1972).
- –
Chlorophyll content (mg ∙ g–1 FW) was estimated as mentioned by Sadasivam and Manickam (1996). Fresh samples were extracted using acetone 80%. The extract was then filtered utilising Whatman filter paper No. 1 before being analysed on a spectrophotometer.
- –
Carotenoids (mg ∙ g–1 FW) were determined spectrophotometrically as mentioned by Lichtenthaler (1987).
- –
RWC% was estimated by punching discs from fresh leaf samples, and then they were weighted. The identical discs were left in Petri dishes with distilled water for an additional hour to become turgid. Discs were dried at 80°C for 24 hr after obtaining turgid weight to record the dry weight (Smart and Bingham, 1974). RWC (%) = Fresh weight-Dry weight/Turgid weight-Dry weight × 100.
- –
EL (%): This was estimated by placing 20 lettuce discs (1 cm2) into flasks with 25 mL of deionised water each. At room temperature, samples were shaken for 20 hr. The EC1 of each flask was first measured. After that, flasks spent 1 hr in a hot water bath set to 80°C. Once more, vials were shaken for 20 hr at 21°C. Finally, each flask’s conductivity (EC2) was determined. EL% was calculated as follows: EC1/EC2 × 100 (Dionisio-Sese and Tobita, 1998).
- –
MDA was determined and utilised as a parameter to estimate lipid peroxidation; for this, samples after being macerated in 2 mL of 0.1% trichloroacetic acid (TCA) (w/v) for 150 mg of plant tissue and centrifuged at 10000 g for 15 min. To the supernatant was added 1.0 mL of 0.5% thiobarbituric acid (w/v) in 20% TCA (w/v). The combination was then incubated at 95°C. After 2 hr of the process, the absorbance at 532 nm and 600 nm was measured. The MDA concentration was determined by deducting absorbance at 600 nm from the absorbance at 532 nm and using an extinction coefficient of 155 mM–1 ∙ cm–1 (Heath and Packer, 1968).
- –
Hydrogen peroxide (H2O2) was evaluated by centrifuging 300 mg of leaf samples at 10000 g for 15 min at 4°C after they had been homogenised in an extraction solution made up of 50 mM potassium phosphate buffer at pH 6.5 mM and 1 mM hydroxylamine (Kuo and Kao, 2003). After that, 30 mL aliquots of the supernatant were added to the reaction medium implicating 250 mM xylenol orange, 100 mM sorbitol, 25 mM H2SO4 and 100 mM FeNH4SO4 (Mohammadi and Karr, 2001). After 30 min of darkness, the samples were examined to assess their absorbance at 560 nm. Concentrations of H2O2 were measured based on calibration curves created using H2O2 standards.
- –
Superoxide anion (O2•-) was determined by incubating the samples in an extraction solution made up of 20 mM sodium phosphate buffer, 20 μM nicotinamide adenine dinucleotide (NADH) and 100 μM ethylenediaminetetraacetic acid (EDTA) disodium salt. The addition of 25.2 mM epinephrine was done to the ongoing reaction. At 28°C, samples were incubated and shaken for 5 min; thereafter reading of absorbance was done at 480 nm (Kuo and Kao, 2003).
- –
An indicator such as potassium chromate (K2CrO4) was used at 5% concentration along with silver nitrate solution (0.01 N) to measure chloride (Cl-) at mg ∙ g–1 DW (Fatma et al., 2014). For 3 hr, Na+ was extracted using boiling water, and flame photometry was used to determine it (Chaudhary et al., 1996).
Samples of leaves (0.2 g) were homogenised in 4 mL of 0.1 M trisodium phosphate (Na3PO4) buffer (pH 7.0), which was ice-cold and contained 1% (w:v) polyvinylpyrrolidone and 0.1 mM EDTA. Then, centrifuged the mixture at 10000 g for 20 min at 4°C. To compute the specific activity of several enzymes, the total soluble protein content in the supernatant was also determined according to Bradford (1976). The amount of peroxidase (POD) (unit ∙ mg-1 protein) was measured with a method shown by Tao et al. (2020). The suppression of nitro blue 135 tetrazolium at 560 nm was used to determine superoxide dismutase activity (SOD; EC 1.15.1.1) (Beyer and Fridovich, 1987). For the purpose of identifying glutathione reductase (GR, EC 1.6.4.2), the activity change in absorbance was assayed at 340 nm for 3 min after Carlberg and Mannervik (1985) and calculated the activity by using an extinction coefficient of 6.2 mM–1 ∙ cm–1.
Statistical analysis was conducted on data utilising SPSS software (SPSS for Windows; SPSS Inc., Chicago, IL, USA). Data were examined by two-way ANOVA in a randomised complete block design. A p 0.05 threshold of probability was utilised to compare treatment means using the Duncan test.
Results in Figure 1 and Figure 2 show that vegetative growth (number of leaves, leaf area and fresh weight) was significantly decreased (p ≤ 0.05) by salinity in two seasons, while dry matter was enhanced significantly (p ≤ 0.05) with rising NaCl levels. Salinity stress decreased fresh weight by 7.1% and 26.4%, number of leaves by 10.6% and 27.7%, leaf area by 18.1% or 43.7% under 50 mM NaCl and 100 mM NaCl in the first season, respectively, compared to non-saline treatment (0 mM NaCl). Furthermore, in the second season, salinity stress decreased fresh weight by 6.7% and 25.6%, number of leaves by 11.2% and 25.7%, leaf area by 16.9% or 42.9% under 50 mM NaCl and 100 mM NaCl, respectively, compared to non-saline treatment (0 mM NaCl).

Effect of spraying MT on number of leaves ∙ plant-1 (A), fresh weight (B), leaf area (C) and dry matter (D) of lettuce plants under NaCl stress in the first season. Diverse letters refer to significant variation according to Duncan test. MT, melatonin.

Effect of spraying MT on number of leaves ∙ plant-1 (A), fresh weight (B), leaf area (C) and dry matter (D) of lettuce plants under NaCl stress in the second season. Diverse letters refer to significant variation according to Duncan test. MT, melatonin.
Lettuce growth was significantly decreased (p ≤ 0.05) by salinity that was counteracted with spraying MT in the first season (Figure 1) and the second season (Figure 2). Foliar application of MT significantly enhanced vegetative growth under NaCl levels. Plant yield (fresh weight)increased corresponding to the gradual increase in the MT levels from 50 μM to 150 μM. The maximum values of plant yield were obtained at 150 μM MT application under 0 mM NaCl, which increased plant yield by 8.47% and 6.39% in the first and second seasons, respectively, compared to control treatment under 0 mM NaCl.
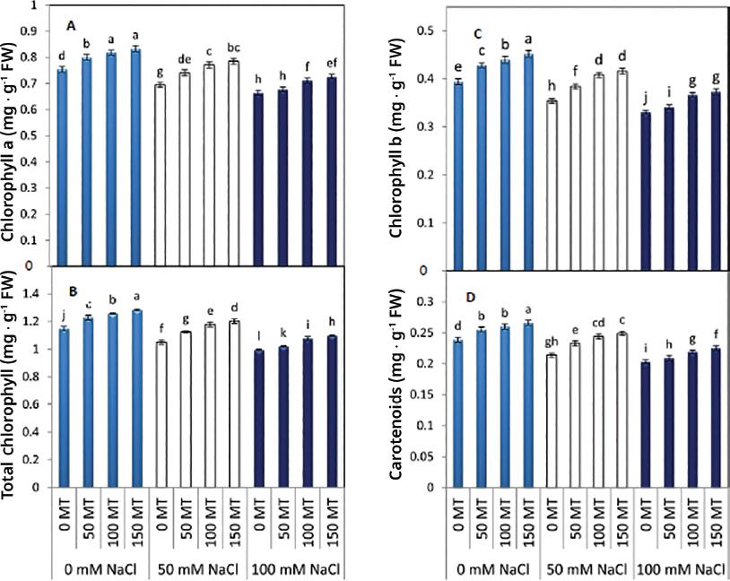
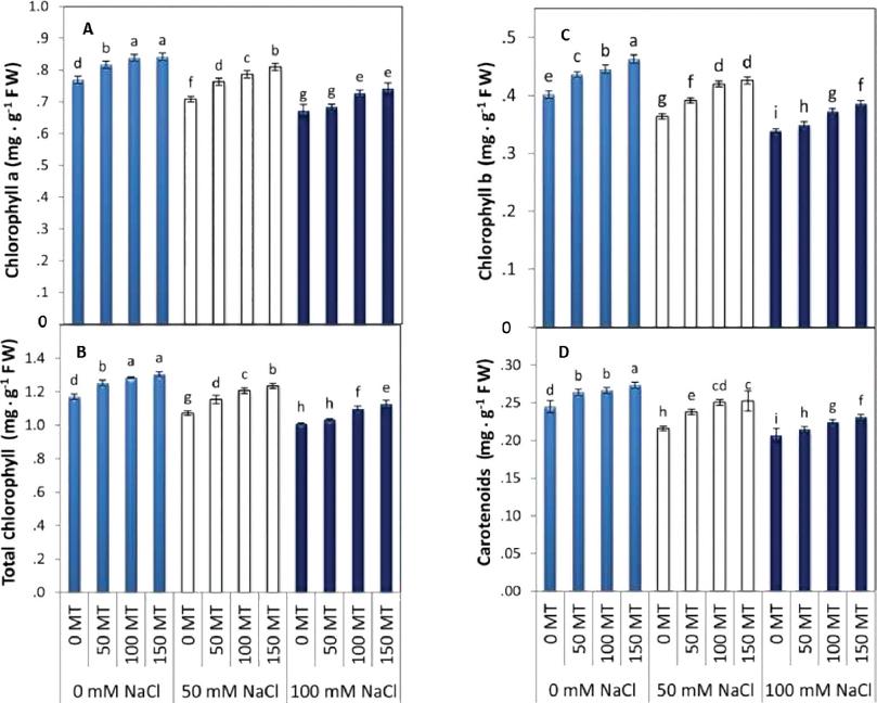
The content of photosynthetic pigments such as chlorophyll a, chlorophyll b, total chlorophyll and carotenoids was independently affected by salinity stress and exogenous MT in both seasons. Compared to non-saline conditions, plants exposed to NaCl treatments had significant decreases in synthesis of photosynthetic pigments.
Under NaCl treatments, plants treated with MT showed an evident and significant improvement in photosynthetic pigments compared to control plants in the first season (Figure 3) and second season (Figure 4).

Effect of spraying MT on chlorophyll a (A), total chlorophyll (B), chlorophyll b (C) and carotenoids (D) on lettuce plants under NaCl stress in the first season. Diverse letters refer to significant variation according to Duncan test. MT, melatonin.

Effect of spraying MT on chlorophyll a (A), total chlorophyll (B), chlorophyll b (C) and carotenoids (D) on lettuce plants under NaCl stress in the second season. Diverse letters refer to significant variation according to Duncan test. MT, melatonin.
The maximum significant contents of photosynthetic pigments were achieved by MT at 150 μM, which enhanced total chlorophyll and carotenoids by 11.8% and 11.3% in the first season, as well as 9.5% and 11.8% in the second season, respectively, compared to control under non-saline conditions.
The RWC and EL were significantly affected by salinity stress and MT foliar applications in the two seasons. Results shown in Figures 5 demonstrate that salinity stress decreased RWC; conversely, exogenous MT applications reduced this negative effect in the first and second seasons.

Effect of spraying MT on RWC (A), and EL (B) in the first season and RWC (C), and EL (D) in the second season of lettuce plants under NaCl stress. Diverse letters refer to significant variation according to Duncan test. EL, electrolyte leakage; MT, melatonin; RWC, relative water content.
In this respect, application of MT at 150 μM was more effective than different treatments for increasing RWC. In contrast, no significant variations in RWC were noticed in MT-treated plants and non-treated plants under 0 mM NaCl. On the other hand, increased NaCl concentrations increased the EL percentage (Figures 5B and 5D) in the two seasons. The foliar applications of MT significantly decreased the percentage of EL under saline conditions.
Results given in Figure 6 show that lettuce exposed to NaCl treatments (50 mM or 100 mM) showed higher accumulations of MDA, H2O2 and O2•- compared to plants under non-saline treatment in both seasons. This deleterious impact was progressively reduced with applications of MT in both seasons under salinity stress. The foliar applications of MT significantly decreased MDA, H2O2 and O2•- under NaCl treatment levels. In this concern, foliar application of MT at 150 μM ranked the first, followed by the intermediate concentration (50 μM), while the lower concentration (50 μM) came the last. In contrast, no changes were noticed between MT concentrations for H2O2 and O2•- under non-saline conditions.

Effect of spraying MT on MDA (A), H2O2 (B) and O2∙- (C) in the first season and MDA (D), H2O2 (E) and O2∙- (F) in the second season of lettuce plants under NaCl stress. Diverse letters refer to significant variation according to Duncan test. MDA, malondialdehyde; MT, melatonin.
Results presented in Figure 7 demonstrate that salinity stress increased Na+ and Cl- concentrations of lettuce plants in both seasons; they also demonstrate that an increased MT dose decreased the Na+ and Cl- percentage. Exogenous application of MT under salinity stress markedly mitigated the harmful effects of salinity in both seasons. The main effective treatment was 150 μM MT, which decreased Na+ by 16.1% and 14.3%, Cl- by 50% and 35% compared to control treatment under 50 mM NaCl and 100 mM NaCl stress in the first season, respectively. In the second season, MT at 150 μM decreased Na+ by 18.1% and 12.8%, Cl- by 40% and 52.2% compared to control treatment under 50 mM NaCl and 100 mM NaCl stress, respectively.

Effect of spraying MT on Na+ (A), and Cl- (B) in the first season Na+ (C), and Cl- (D) in the second season of lettuce plants under NaCl stress. Diverse letters refer to significant variation according to Duncan test. MT, melatonin.
Antioxidant enzyme activity was significantly affected under salt stress and MT applications. Salinity significantly enhanced POD, SOD and GR activities in both seasons. High NaCl levels led to 74.5%, 81.3%, and 83.8% higher POD, SOD and GR activities in the first season, respectively, than in non-salinized lettuce plants. In the second season, POD, SOD and GR levels were raised under high NaCl levels by 68%, 87.6% and 82.6%, respectively, compared to non-saline condition.
Plants treated with MT exhibited greater improvements in POD, SOD and GR activities under salinity stress compared to untreated control. In this respect, the foliar application of MT at highest concentration (150 μM) decreased POD (24.6%), SOD (28.1%), and GR (31.8%) compared to untreated control under 100 mM NaCl conditions in the first season (Figure 8). Enzyme activity decreased when under the 100 mM NaCl condition in the second season by 23.9%, 28.9% and 30.9% of POD, SOD, and GR, respectively, compared to the untreated control.

Effect of spraying MT on POD (A), SOD (B) and GR (C) in the first season and POD (D), SOD (E) and GR (F) in the second season of lettuce plants under NaCl stress. Diverse letters refer to significant variation according to Duncan test. GR, glutathione reductase; MT, melatonin; POD, peroxidase; SOD, superoxide dismutase.
The growth of lettuce plants suffers seriously when they are grown under saline conditions. In our study, NaCl stress significantly decreased vegetative growth, RWC and photosynthetic pigments of lettuce plants compared to the non-salinized control. A remarkable decrease in lettuce growth under NaCl conditions may be due to decreased cell development and growth by blocking of all the translocation, which normally takes place through conductive tissue vessels (Queiros et al., 2011). Retardation of plant development under NaCl stress might result from the negative impact of salt stress on different physiological processes including decreased photosynthesis, stomatal impedance to water flow, accumulation of ROS and nutrient and hormonal imbalances (Arif et al., 2020; Sofy et al., 2020b). Also, salinity stress induces many harmful effects on plant growth, photosynthetic pigments, oxidative biomarkers, osmolytes and antioxidant enzyme activities (Farouk et al., 2020; Sofy et al., 2020c). Zhang et al. (2021b) reported that salinity stress negatively influenced vegetative growth of sugar beets due to high accumulation of Na+ that stimulates osmotic stress, ion toxicity and oxidative damage, leading to inhibition of cell division and expansion, which decreases plant growth. In this study, lettuce exposed to NaCl treatment resulted in significant decreases in the synthesis of photosynthetic pigments (chlorophyll and carotenoids). Salinity stress prevents chlorophyll and carotenoid synthesis in plants (Alzahrani et al., 2021). The effects of salt stress on chlorophyll and carotenoids are primarily connected with an enormous ROS assembly, which leads to chloroplast clustering and devastation, in addition to photosynthetic dysfunction (Ahmad et al., 2021). Hence, reduction in chlorophyll biosynthesis occurs by increasing enzymatic chlorophyll deprivation (Mohamed et al., 2018) and chlorophyll devastation with various ROS and changes in chlorophyll protein complexes (Siddiqui et al., 2019; Tahjib-UI-Arif et al., 2019). The reduction of the growth and chlorophyll content under salinity conditions was recorded in various plants (Abdel-Farid et al., 2020; Sofy et al., 2020a; Miceli et al., 2021; Zhang et al., 2021a). Salt stress decreased the carotenoid content. This may be due to β-carotene and zeaxanthin privation (that protects the plant) besides photoinhibition (Sharma and Hall, 1991). Carotenoids serve as an accessory pigment in addition to showing antioxidant properties; a strategy to decrease photo-oxidation is to have a higher carotenoids/chlorophyll ratio (Mohammadi et al., 2019). Additionally, carotenoids could contribute to enhanced free radical scavenging (Awad et al., 2017).
In our research, the function of MT in mitigating salt stress in lettuce was proven. The obtained results demonstrated that under salinity conditions, foliar applications of MT significantly alleviated the harmful effects of salinity on lettuce and increased its productivity compared to untreated control. The exogenous MT application increased the number of leaves, leaf area or fresh weight of lettuce plants under salinity treatments compared to plants grown under untreated control Figure 1 and Figure 2. Plants treated with MT showed an evident and significant increase in photosynthetic pigments compared to untreated control under NaCl stress Figure 3 and Figure 4. This is due to MT playing a vital role in regulating different vegetative and physiological processes under salinity stress (ElSayed et al., 2020). While MT has been emerged as a potential regulator of plant growth, MT foliar application could improve defence responses to various stresses via organising enzymatic and non-enzymatic antioxidant defence systems (Khan et al., 2020; Zhang et al., 2021b; EL-Bauome et al., 2022; Khalid et al., 2022). In line with our findings, Zhang et al. (2021b) highlighted that MT enhanced the growth of sugar beet, i.e., leaf area, fresh and dry weights in addition to increasing chlorophyll content under salinity stress. These responses may be due to decreased ROS generation (caused by salinity stress) and MDA accumulation as well as increased antioxidant enzyme activities in stressed plants (Han et al., 2017; Farag et al., 2022; El-Beltagi et al., 2023b) and intensive ROS accumulation sites in chloroplasts caused by the imbalance between electron transport rates and CO2 fixation. Generation of ROS leads to protein degradation and pigment bleaching. Detoxification of ROS is achieved by the defence system comprising antioxidants including non-enzymatic components such as carotenoids and various enzymes such as GR and catalase (Alscher et al., 1997). In addition, conserving the ultrastructure of chloroplasts and increasing the chlorophyll synthesis activity to enhance chlorophyll formation under salinity stress (Kamiab, 2020), as well exogenous MT could mitigate the damage in photosynthetic organs caused by NaCl treatment, thereby enhancing electron transportation in PS II (Yin et al., 2019).
In this research, levels of carotenoids were enhanced by MT application under NaCl stress. This influence might be due to improved cell membrane stabilisation and water potential, which affects the ABA biosynthesis and thus maintains the carotenoids. The effect of MT on chlorophyll and carotenoid pigments is perhaps associated with the acceleration of the activities of antioxidant enzymes or the built-up antioxidant capability (Ahmad et al., 2021).
Lettuce exposed to saline conditions displayed a significant reduction in RWC, while EL accumulated when compared to plants grown in non-saline conditions. The unfavourable impacts of soil salinity resulting in osmotic stress and the disability of the plant to absorb water are the main constraints to plant growth and productivity (Farouk et al., 2020) and the harmful impacts on membrane stability and eclectic permeability enhance the EL (El-Banna and Abdelaal, 2018). The enhancement in water conservation with MT application under salinity stress might be due to stomatal closure, reduced transpiration rate and enhanced leaf cuticle thickness or improved accidental root growth (Farouk and AL-Huqail, 2022).
Crucial physiological indicators of water status and cell damage, which imply salt stress, are RWC and EL. From the results, we observed that salinity stress decreased RWC or increased EL in non-saline treatment (Figure 5). However, foliar application of MT led to the reduction in RWC and the enhancement in EL of treated lettuce. This shows that MT stimulates plants to reopen their stomata, which enhanced stomatal function (Sharma et al., 2020) and improved the photosynthetic rate, enabling the RWC to rise under salinity treatments. In addition, exogenous MT application might avert plant water reduction by increasing the leaf cuticle thickness (Zhang et al., 2016).
Under normal conditions, cells are able to equate their antioxidant and oxidant ability. However, production of ROS can be toxic under salinity, and stringent management of ROS is crucial to avert its damage. Therefore, plants have developed enzymatic or non-enzymatic antioxidants to decrease the production of ROS. The accumulation of ROS in various plants has been observed under salinity as a serious adaptive technique (Tahjib-UI-Arif et al., 2019). In addition, salinity drastically leads to accumulated H2O2 leading to enhanced MDA (Figures 6A, 6B, 6D, and 6E), which destroys cellular membranes and hinders the orderly cellular operations (El-Beltagi and Mohamed, 2010; Afify et al., 2012; Abdelaal et al., 2020; Siddiqui et al., 2020; El-Beltagi et al., 2022, 2023a).
Plants exposed to abiotic stresses generate ROS, H2O2, OH and O2•-. These harmful substances may interact with lipids, proteins and deoxyribonucleic acid to cause oxidative damage in plant cells (Farooq et al., 2009). Our results showed a high decrease in MDA in MT-treated plants compared with untreated controls (Figures 6A and 6D). Moreover, H2O2 and O2•- were enhanced in lettuce under salinity treatment compared to non-saline treatment. Meanwhile, foliar application of MT decreased H2O2 and O2•- production compared to the untreated control under NaCl treatments (Figures 6B, 6C, 6E, and 6F). This may be due to phenolics accumulation and alteration of the antioxidant enzyme activities (Farouk and AL-Huqail, 2022). Therefore, the present study suggests that membrane damage is induced by H2O2 accumulation, which accelerates MDA production and results in disorder of the cell membrane, causing a reduction in growth. This suggests that MT acts as an antioxidant and plays a pivotal function in overcoming harmful oxidation. These results confirm those of several previous studies (Chrustek and Olszewska-Słonina, 2020; Ahmad et al., 2021; Zhang et al., 2021b; Farouk and AL-Huqail, 2022).
Salinity induces the accumulation of toxic ions such as Na+ and Cl-. The conservation of ionic homeostasis for selectivity under salinity conditions is necessary to advocate plants against the accumulation of detrimental ions, with decreasing Na+ and Cl- concentrations in lettuce plants. In addition, excess Na+ disrupts the pathways of cellular metabolism, leading to nutritional disruption and ultimately productivity reduction. Thus, controlling the Na+ and Cl- buildup may support salinity tolerance (Hassanpouraghdam et al., 2019).
This study has shown that spraying MT reduces Na+ and Cl- ion concentrations, consequently promoting plant stress tolerance. This may be associated with the upregulation of various genes such as the NHX1-encoding gene [in charge of the excessive translocation of Na+ ions into the vacuoles (Shi and Zhu, 2002)] and SOS1 [in charge of translocation of Na+ ions out of the cells (Padan et al., 2001)].
Various enzymes such as POD, SOD and GR control intracellular H2O2 levels through begins the detoxification of O2 by forming of H2O2 that is toxic and must be enucleated by its transformation into the water via specified pathways (Foyer, 2018). Our results show that the coordination of activities of the POD, SOD and GR plays a pivotal defensive role in scavenging H2O2, as well contributes to mitigating the oxidative damage under salinity conditions. Under NaCl stress, the ROS should be detoxified to decrease damage. The destruction of ROS demands the coordinated action of many antioxidant enzymes (Akyol et al., 2020; Sofy et al., 2020a, 2020b). The influence of ROS is alleviated by various scavenging enzymes (POD, SOD and GR). Nevertheless, some of the antioxidant enzymes are obliged to establish ROS balance while the others are in charge of growth and detoxification reactions (Siddiqui et al., 2019; El-Beltagi et al., 2020). SOD represents as first line of protection beside ROS expedite dismutation of O2 with great performance (Chen et al., 2018; Smirnoff, 2018), which ameliorates systems of cell scavenging as well decrease accumulation of ROS. Under abiotic stress factors such as salinity, plants modified their tolerance mechanisms to mitigate the negative effects of abiotic stress by activating many antioxidant enzymes that shield plant cells from oxidative damage (Sofy et al., 2020a). In the current study, antioxidants enzymes were significantly enhanced under salinity conditions compared to those under non-saline conditions (Figure 8). The levels of POD, SOD and GR significantly decreased with MT application; this may be related to the toxic impacts of ROS under saline conditions.
Normally, SOD is a crucial constituent of a plant’s antioxidant protection system, which is used as early-stage protection that modulates superoxide ions dismutation into H2O2 and O2. POD is the main enzyme that stimulates the rapid removal of H2O2 (Gill et al., 2015). Exogenous MT accelerates the speedy ROS removal by increasing the SOD, POD or GR activities, which proves that there was effective capacity to mitigate ROS accumulation in plants. MT decreases antioxidant enzyme activities under salinity stress. This may be due to MT appearing as strong antioxidants and enhancing non-enzymatic antioxidants, thus reducing peroxidative injury (Smirnoff, 2018; Wei et al., 2021; Wu et al., 2021).
Therefore, this study suggests that application of MT enhances lettuce growth and productivity under salt-stressed conditions by enhancing the synthesis of photosynthetic pigments under such conditions, which leads to MT assume a role like antioxidant enzymes, as well as decrease H2O2, O2•- and MDA content in lettuce plants (Figure 9).

Simplified conclusion for the influence of exogenous MT on growth, RWC, EL and antioxidants enzymes of lettuce grown under NaCl treatments. EL, electrolyte leakage; GR, glutathione reductase; MDA, malondialdehyde; MT, melatonin; POD, peroxidase; RWC, relative water content; SOD, superoxide dismutase.
The current results demonstrated the importance of spraying MT to alleviate the salinity impact on lettuce plants. The foliar application of melatonin at all concentrations, in particular the highest one at “150 μM”, enhanced plant growth, productivity and also promoted the RWC of lettuce under NaCl treatment. In conclusion, MT application can be recommended to be used to alleviate the harmful effects of salinity stress on lettuce plants. However, more studies are needed using molecular techniques to understand the function of MT on ROS being neutralised under salinity stress.