Figure 1.

Figure 2.

Figure 3.

Figure 4.

Figure 5.

Concentration of photosynthetic pigments and phenolic compounds in ‘Western Schley’ pecan tree leaflets sprayed with sulphates, chelates and zinc nanoparticles_
| Treatments (200 mg · L−1) | TChl (μg · g−1) | TC (μg · g−1) | TFl (mg GAE · g−1) | TP (mg QE · g−1) |
|---|---|---|---|---|
| NZN (control) | 45.1 a | 14.7 a | 55.7 a | 18.4 a |
| ZnSO4 | 45.5 a | 10.5 b | 53.7 a | 17.1 a |
| Zn-EDTA | 41.7 b | 10.7 b | 61.6 a | 20.0 a |
| ZnO NPs | 40.7 b | 12.7 ab | 63.6 a | 22.0 a |
Oxidative metabolism and AC in ‘Western Schley’ pecan tree leaflets sprayed with sulphates, chelates and zinc nanoparticles_
| Treatments (200 mg · L−1) | SOD | H2O2 | CAT | GPx | AC |
|---|---|---|---|---|---|
| NZN (control) | 1.4 a | 0.4 a | 3.5 a | 3.2 b | 83.1 a |
| ZnSO4 | 1.3 ab | 0.3 b | 2.3 b | 5.6 a | 80.6 a |
| Zn-EDTA | 1.2 c | 0.4 b | 2.3 b | 5.2 a | 76.9 b |
| ZnO NPs | 1.3 b | 0.3 b | 2.4 b | 5.3 a | 82.6 a |
Yield, nut weight and kernel percentage in ‘Western Schley’ pecan tree leaflets sprayed with sulphates, chelates and zinc nanoparticles_
| Treatments (200 mg · L−1) | Nut quality | |||||
|---|---|---|---|---|---|---|
| Yield (kg per tree) | Nut weight (g · kg 1 FW) | Kernel (%) | ||||
| 2019 | 2020 | 2019 | 2020 | 2019 | 2020 | |
| NZN (control) | 9.9 a | 15.6 b | 156.1 a | 166.1 b | 52.2 a | 53.0 a |
| ZnSO4 | 9.1 a | 14.1 b | 153.4 a | 167.4 b | 60.4 a | 58.0 a |
| Zn-EDTA | 8.7 a | 14.9 b | 152.5 a | 164.5 b | 54.3 a | 54.3 a |
| ZnO NPs | 9.9 a | 14.5 b | 158.6 a | 166.6 b | 54.9 a | 54.5 a |
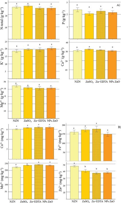
Nutrient concentrations in ‘Western Schley’ pecan tree leaflets sprayed with sulphates, chelates and zinc nanoparticles_
| Treatments (200 mg · L−1) | Concentration (g · kg−1) | |||||||||
|---|---|---|---|---|---|---|---|---|---|---|
| Total-N | Total-P | K+ | Ca2+ | Mg2+ | ||||||
| 2019 | 2020 | 2019 | 2020 | 2019 | 2020 | 2019 | 2020 | 2019 | 2020 | |
| NZN (control) | 27.9 a | 23.9 b | 2.7 a | 2.0 b | 19.7 a | 17.6 a | 33.66 a | 28.32 b | 4.8 a | 4.1 b |
| ZnSO4 | 26.3 a | 27.3 a | 2.1 a | 1.7 b | 19.24 a | 20.3 a | 31.62 a | 33.10 a | 3.9 a | 4.3 a |
| Zn-EDTA | 24.7 a | 25.4 a | 2.7 a | 1.8 b | 17.0 a | 22.2 b | 31.10 a | 32.14 a | 3.8 a | 4.4 a |
| ZnO NPs | 24.3 a | 25.9 a | 2.5 a | 1.9 b | 21.4 a | 19.4 a | 30.30 a | 31.14 a | 4.3 a | 4.1 a |
| Concentration (mg · kg−1) | ||||||||||
| Fe2+ | Cu2+ | Mn2+ | Zn2+ | |||||||
| NZN (control) | 139.4 a | 181.9 b | 6.3 a | 5.8 b | 231.0 a | 212.4 b | 48.5 a | 45.3 a | ||
| ZnSO4 | 154.9 a | 191.6 b | 6.4 a | 6.2 a | 236.8 a | 233.8 a | 39.6 a | 40.4 a | ||
| Zn-EDTA | 160.8 a | 194.5 a | 6.5 a | 6.3 a | 242.4 a | 236.0 a | 35.8 a | 38.0 b | ||
| ZnO NPs | 118.3 a | 179.4 b | 6.2 a | 6.6 b | 227.8 a | 241.0 b | 39.3 a | 35.8 b | ||
Concentration of NSCs in ‘Western Schley’ pecan tree leaflets sprayed with sulphates, chelates and zinc nanoparticles_
| Treatments (200 mg · L−1) | NSCs (g · kg−1) | |||||||
|---|---|---|---|---|---|---|---|---|
| Fructose | Glucose | Sucrose | Starch | |||||
| 2019 | 2020 | 2019 | 2020 | 2019 | 2020 | 2019 | 2020 | |
| NZN (control) | 37.9 a | 34.3 a | 41.9 a | 38.0 a | 41.9 a | 43.5 a | 38.8 a | 40.2 a |
| ZnSO4 | 40.7 a | 38.5 a | 45.0 a | 42.6 a | 37.5 a | 36.7 a | 34.6 a | 34.5 a |
| Zn-EDTA | 39.3 a | 40.3 a | 43.5 a | 44.6 a | 40.8 a | 39.4 a | 37.5 a | 36.6 a |
| ZnO NPs | 39.5 a | 38.2 a | 43.6 a | 42.9 a | 36.7 a | 39.3 a | 35.7 a | 39.6 a |