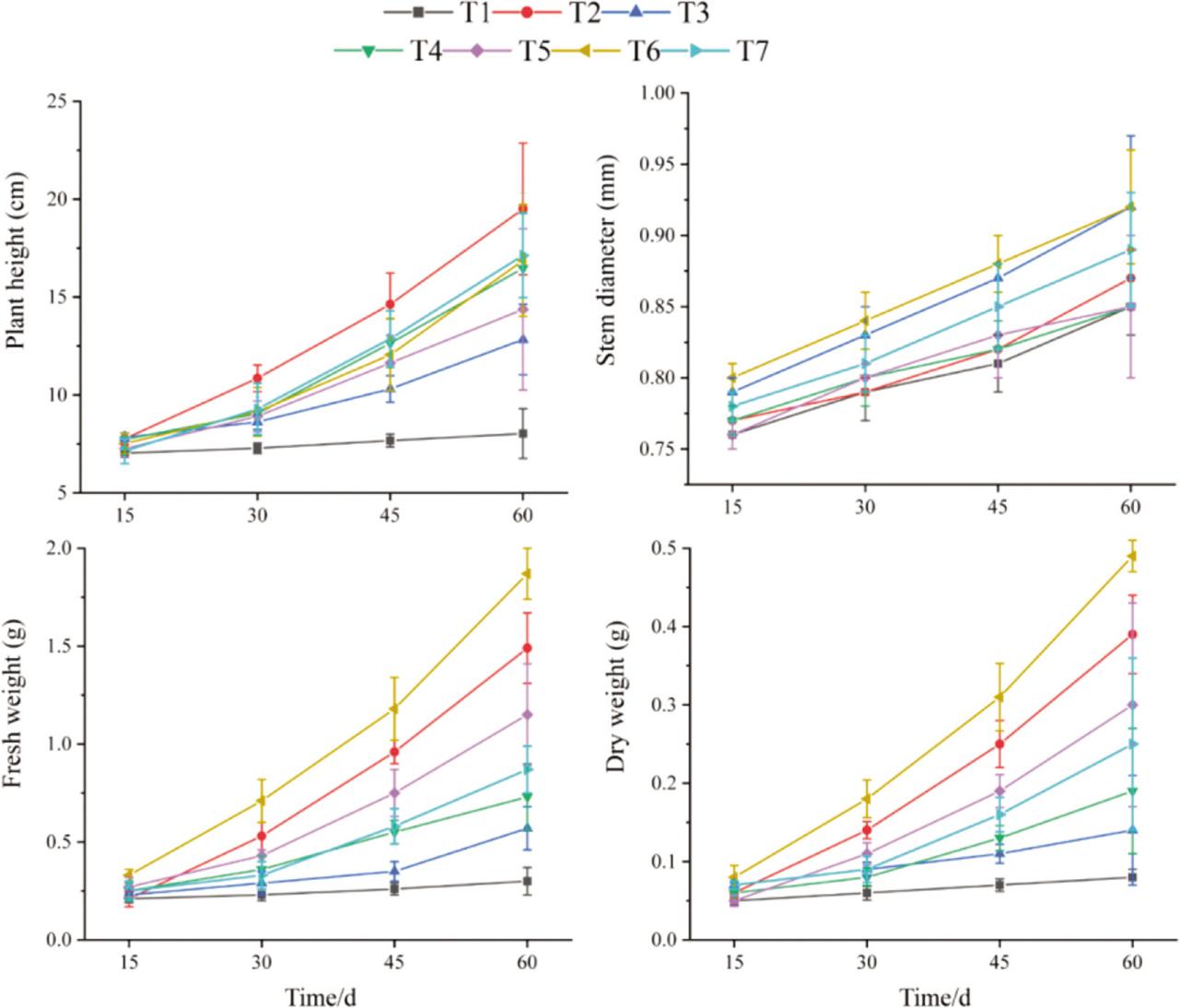
Figure 1

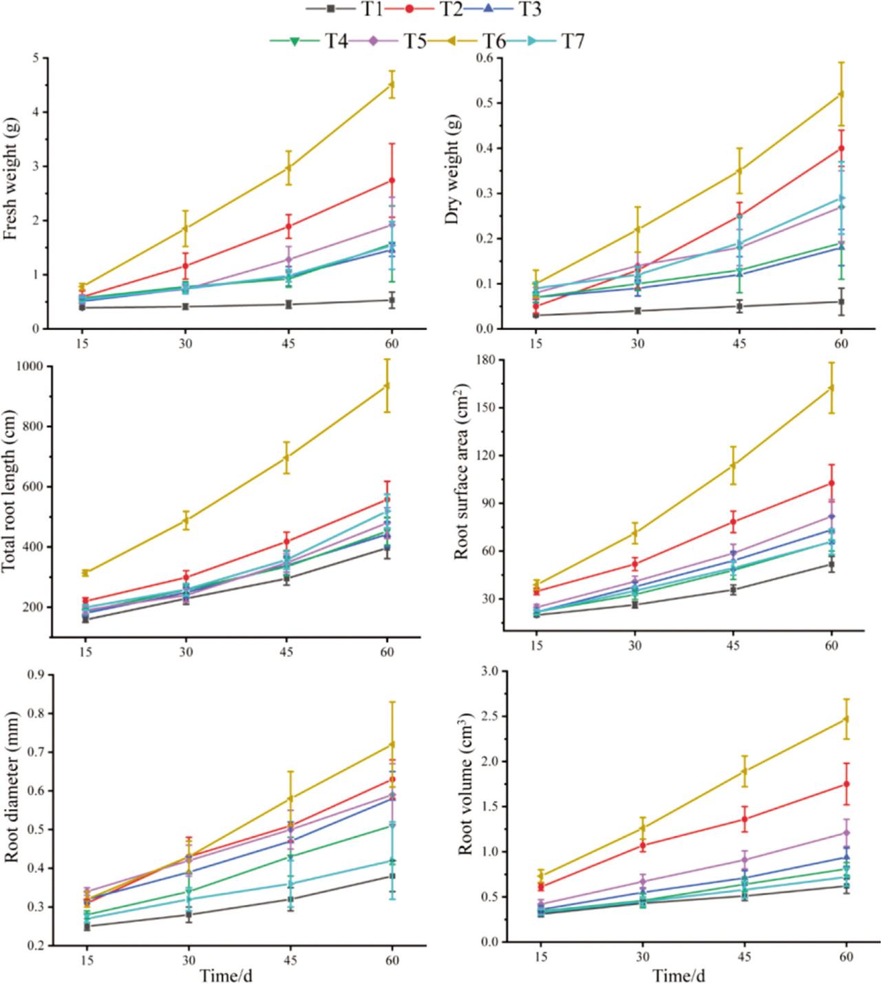
Figure 2

Figure 3

Figure 4

Figure 5

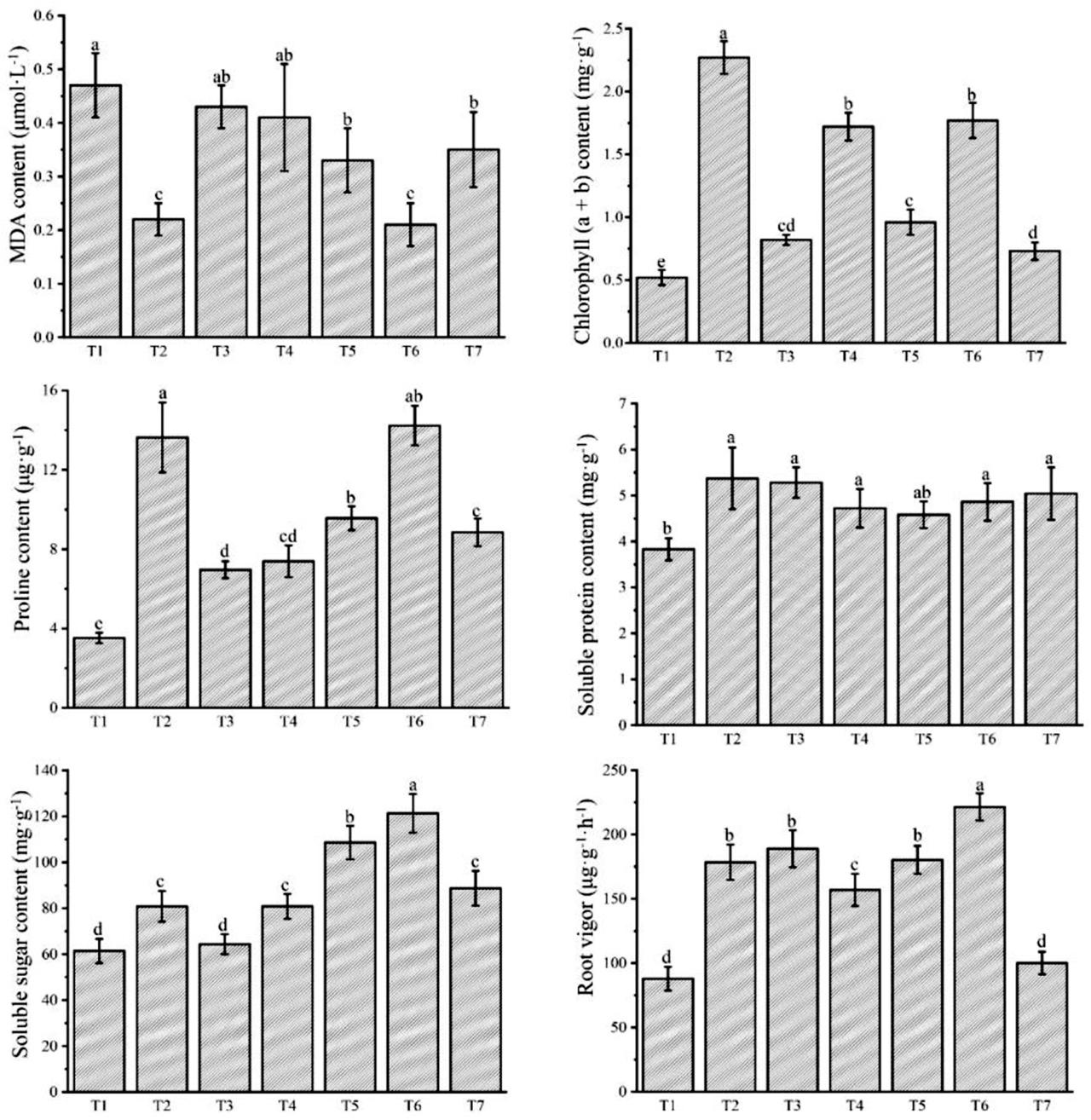
Figure 6

Membership function values and comprehensive ranking_
| Evaluation index | Membership function values of each evaluation index of seven substrates | ||||||
|---|---|---|---|---|---|---|---|
| T1 | T2 | T3 | T4 | T5 | T6 | T7 | |
| Survival rate | 0.00 | 0.95 | 0.78 | 0.76 | 0.90 | 0.98 | 1.00 |
| Aboveground | |||||||
| Plant height | 0.00 | 1.00 | 0.42 | 0.74 | 0.55 | 0.77 | 0.79 |
| Stem diameter | 0.00 | 0.29 | 1.00 | 0.00 | 0.00 | 1.00 | 0.57 |
| Fresh weight | 0.00 | 0.76 | 0.17 | 0.27 | 0.54 | 1.00 | 0.36 |
| Dry weight | 0.00 | 0.75 | 0.15 | 0.27 | 0.53 | 1.00 | 0.41 |
| Underground | |||||||
| Root fresh weight | 0.00 | 0.56 | 0.23 | 0.26 | 0.35 | 1.00 | 0.25 |
| Root dry weight | 0.00 | 0.75 | 0.25 | 0.29 | 0.46 | 1.00 | 0.51 |
| Total root length | 0.00 | 0.26 | 0.08 | 0.08 | 0.12 | 1.00 | 0.19 |
| Root surface area | 0.00 | 0.46 | 0.20 | 0.13 | 0.27 | 1 | 0.13 |
| Root diameter | 0.00 | 0.83 | 0.47 | 0.36 | 0.52 | 1.00 | 0.23 |
| Root volume | 0.00 | 0.61 | 0.17 | 0.10 | 0.32 | 1.00 | 0.05 |
| Physiology | |||||||
| Soluble protein | 0.00 | 1.00 | 0.98 | 0.65 | 0.71 | 0.60 | 0.87 |
| Soluble sugar | 0.00 | 0.29 | 0.11 | 0.29 | 0.82 | 1.00 | 0.47 |
| MDA | 0.00 | 0.964 | 0.15 | 0.23 | 0.54 | 1 | 0.46 |
| Total chlorophyll | 0.00 | 1.00 | 0.17 | 0.70 | 0.28 | 0.75 | 0.15 |
| Proline | 0.00 | 0.94 | 0.32 | 0.36 | 0.56 | 1.00 | 0.50 |
| Root vigour | 0.00 | 0.87 | 1.00 | 0.67 | 0.88 | 0.97 | 0.13 |
| Average value | 0.00 | 0.72 | 0.39 | 0.36 | 0.49 | 0.95 | 0.42 |
| Ranking | 7 | 2 | 5 | 6 | 3 | 1 | 4 |
Combination ratio of different substrates_
| Code | Volume ratio (%) | ||||
|---|---|---|---|---|---|
| Garden soil | Perlite | Coconut bran | Vermiculite | Peat | |
| T1 | 100.00 | 0 | 0 | 0 | 0 |
| T2 | 20.00 | 40.00 | 40.00 | 0 | 0 |
| T3 | 20.00 | 0 | 40.00 | 40.00 | 0 |
| T4 | 20.00 | 0 | 0 | 40.00 | 40.00 |
| T5 | 20.00 | 40.00 | 0 | 0 | 40.00 |
| T6 | 0 | 33.33 | 33.33 | 33.33 | 0 |
| T7 | 0 | 33.33 | 0 | 33.33 | 33.33 |
Correlation analysis between physical properties of substrate and growth parameters and physiology and biochemistry indexes of tissue-cultured seedlings of A_ cochinchinensis_
| Index | Bulk density | Total porosity | Aeration porosity | Water retaining porosity | Void ratio | Conductivity value | pH value |
|---|---|---|---|---|---|---|---|
| Survival rate | −0.987** | 0.912** | 0.771* | 0.517 | 0.668 | −0.952** | 0.729 |
| Aboveground | |||||||
| Plant height | −0.853* | 0.730 | 0.631 | 0.395 | 0.538 | −0.754 | 0.579 |
| Stem diameter | −0.464 | 0.600 | 0.244 | 0.692 | 0.086 | −0.393 | 0.486 |
| Fresh weight | −0.701 | 0.608 | 0.593 | 0.239 | 0.505 | −0.555 | 0.524 |
| Dry weight | −0.716 | 0.617 | 0.629 | 0.207 | 0.547 | −0.563 | 0.559 |
| Underground | |||||||
| Root fresh weight | −0.658 | 0.653 | 0.537 | 0.390 | 0.410 | −0.525 | 0.557 |
| Root dry weight | −0.773* | 0.698 | 0.648 | 0.319 | 0.544 | −0.613 | 0.631 |
| Root length | −0.555 | 0.597 | 0.553 | 0.274 | 0.440 | −0.407 | 0.629 |
| Root surface area | −0.553 | 0.569 | 0.448 | 0.366 | 0.323 | −0.418 | 0.486 |
| Root diameter | −0.598 | 0.596 | 0.308 | 0.599 | 0.163 | −0.551 | 0.287 |
| Root volume | −0.508 | 0.482 | 0.361 | 0.334 | 0.247 | −0.364 | 0.359 |
| Physiology | |||||||
| Soluble protein | −0.749 | 0.696 | 0.315 | 0.758* | 0.175 | −0.698 | 0.375 |
| Soluble sugar | −0.692 | 0.648 | 0.827* | −0.004 | 0.795* | −0.637 | 0.715 |
| MDA | 0.681 | −0.543 | −0.544 | −0.193 | −0.470 | 0.505 | −0.465 |
| Total chlorophyll | −0.449 | 0.373 | 0.171 | 0.404 | 0.057 | −0.350 | 0.129 |
| Proline | −0.760* | 0.648 | 0.566 | 0.342 | 0.466 | −0.609 | 0.509 |
| Root vigour | −0.568 | 0.610 | 0.252 | 0.697 | 0.097 | −0.580 | 0.248 |
The physical and chemical properties of different substrates combinations_
| Code | Bulk density (g · cm−3) | Total porosity (%) | Aeration porosity (%) | Water retaining porosity (%) | Void ratio | EC (mS · cm−1) | pH |
|---|---|---|---|---|---|---|---|
| Means ± SD | |||||||
| T1 | 0.98 ± 0.03 a | 42.67 ± 0.57 e | 7.44 ± 0.10 e | 35.25 ± 0.67 d | 0.21 ± 0.01 e | 1.60 ± 0.02 a | 5.79 ± 0.01 e |
| T2 | 0.38 ± 0.00 cd | 55.58 ± 1.20 d | 13.16 ± 0.64 d | 42.42 ± 0.98 bc | 0.31 ± 0.01 cd | 0.78 ± 0.01 b | 5.93 ± 0.08 d |
| T3 | 0.46 ± 0.01 b | 59.19 ± 2.09 bc | 11.10 ± 0.46 d | 48.09 ± 2.55 a | 0.23 ± 0.02 de | 0.67 ± 0.02 c | 5.98 ± 0.04 cd |
| T4 | 0.43 ± 0.03 bc | 59.31 ± 2.73 bc | 16.12 ± 0.87 c | 43.18 ± 3.60 b | 0.38 ± 0.05 c | 0.60 ± 0.03 d | 6.08 ± 0.04 b |
| T5 | 0.36 ± 0.00 d | 57.60 ± 0.47 c | 19.39 ± 1.45 b | 38.21 ± 1.91 cd | 0.51 ± 0.06 ab | 0.51 ± 0.02 e | 6.06 ± 0.03 bc |
| T6 | 0.23 ± 0.05 e | 65.07 ± 0.61 a | 21.30 ± 1.25 ab | 43.77 ± 0.65 ab | 0.49 ± 0.04 b | 0.51 ± 0.01 e | 6.30 ± 0.01 a |
| T7 | 0.24 ± 0.03 e | 62.01 ± 1.90 ab | 22.72 ± 0.86 a | 39.29 ± 1.03 bcd | 0.58 ± 0.01 a | 0.49 ± 0.01 f | 6.32 ± 0.02 a |