The density of pine stands can be controlled by thinning operations of a certain intensity and frequency. Thinning reduces the density and increases the availability of resources for the remaining trees, which improves their growth (Gryb and Yukhnovskyy 2012; David et al. 2018; Węgiel et al. 2018). Practical application of the classical German postulate on thinning – “early, moderate, frequent” – in modern conditions, when the highest possible degree of mechanisation is used in forestry activities, is impossible. Today, the most important condition for thinning is its profitability, and one of the significant ways to increase it is to reduce the number of thinnings and increase the volume in one thinning (Puchniarski 2008; Gil 2011; Gizachew and Brunner 2011; Moulinier et al. 2015). Therefore, it is advisable to intensively thin young stands, where thinning is mostly unprofitable, and to reduce the thinning intensity with increasing stand age (Puchniarski 2008; Crecente-Campo et al. 2009; Glazar and Maciejewska 2009; Gil 2011). Such an approach will not only reduce the cost of these operations, especially in young stands, but also significantly reduce the environmental impact from machines and mechanisms. The introduction and improvement of intensive pine stand cultivation technologies will increase the stand productivity and wood quality as well as reduce the period of growing technically mature wood by 10–30 years (Gizachew and Brunner 2011; Moulinier et al. 2015).
Thinning in the Steppe conditions should be aimed at preserving soil moisture and its economical use (Tkach et al. 2023). For this purpose, it is reasonable to grow closed pine stands in the Steppe with the lowest possible density but with well-developed crowns (Shinkarenko and Dziedzyula 1983; Tarnopilska 2014; Tkach et al. 2023). The impact of the thinning system on the stand characteristics requires long-term research at stationary research objects. These regimes, in particular, are continually improved regarding the intensity and frequency of thinning in stands of a certain age to find optimal stand parameters during their cultivation based on data obtained from permanent research objects. Therefore, numerous studies are devoted to the thinning influence on the stand growth and productivity (Savich et al. 1978; Ryabokon 1991; Palahí and Pukkala 2003; Tkachuk et al. 2003; Crecente-Campo et al. 2009; Zhao et al. 2011; Gadow and Kotze 2014; Tarnopilska 2014; Zhukovskyi 2015; David et al. 2017; Węgiel et al. 2018).
The analysis of these findings shows that there is no unconditional (absolute) optimal stand density. There is a relative density that ensures the highest plant survival rate, average diameter, growing stock at a certain age and total productivity. The total productivity is the amount of timber produced in a given period, including dead trees and timber removed from thinning and other felling. The optimal stand density cannot be the same throughout the entire growth cycle. It depends on the species, age, natural zone and soil factors. The optimal stand density is also associated with the diversity in optimality criteria depending on environmental, economic and social factors (Nilsson et al. 2010; Giuggiola et al. 2013; Egnell and Ulvcrona 2015). Density optimisation should be considered in two different ways: biological resistance and productivity (Węgiel et al. 2018). In denser stands, both crown closure and forest canopy formation occur earlier, and the growing stock reaches its maximum at an earlier age. The main difficulty in cultivating pine stands is the need to take into account their biological resistance (Shinkarenko and Dziedzyula 1983; Tarnopilska 2014).
Thus, the findings on the pine stand density are contradictory. For a long time, there have been discussions about the possibility of determining the optimal density of pine stands. Some researchers argue that dense, unthinned stands are the most productive. They usually associate high thinning intensity with lower stock increment as compared to that of unthinned control plots. Other studies have shown that immediately after thinning, there is a decline in the growing stock, which usually lasts for about 10 years, and after that period stabilises. In addition, in the case of more intensive thinning, a greater increase in stock is observed in the remaining trees.
In this study, we set the task to investigate changes in mensuration characteristics of man-made pine stands of different densities under the influence of thinning carried out in young age. This will allow us to clarify the frequency of thinning, the limits of thinning intensity and the optimal density of pine plantations in the arid conditions of the Left-Bank Steppe in Ukraine.
The aim of the study is to find out the optimal density of man-made pine stands under cultivation regimes that can provide maximum growing stock.
The experiment on determining optimal regimes for cultivating even-aged pine stands with a wide range of densities was established by B. Gavrilov in 1932. He initiated the experiment at the Balakliya Forest State Enterprise in Kharkiv region, Ukraine, in 7-year-old stands on the border of the steppe and forest-steppe zones (Gavrilov 1969).
The climate of the Kharkiv region is temperate continental, with an average temperature of 7ºC in January and 21ºC in July. Winters are moderately mild; snow cover lasts up to 110 days; summers are warm, sunny and dry. The precipitation amount is 400–650 mm per year, mainly falling from April to October (Ecological passport of Kharkiv region 2021).
The study site (49°26′30″N, 36°54′05″E) is located in a steppe pine forest on the second above-floodplain river terraces (Fig. 1). The terrace is composed of medium-grained ancient alluvial sands, sometimes with interlayers and lenses of sandy loam or loam soils with depth of 0.5–1.2 m, and ancient buried soils.

Location (Δ) of the study site (49°26′30″N, 36°54′05″E)
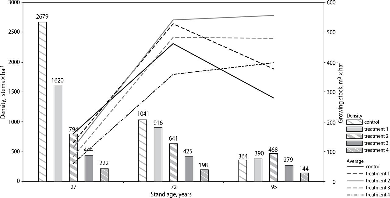
The experiment consists of the thinning treatments, named by B. Gavrilov as “moderate wood increment” (treatment 1), “accelerated wood increment” (treatment 2), “rapid wood increment” (treatment 3) and “widely spaced trees” (treatment 4). At the beginning of the experiment, the plant density was 7,000–8,000 stems·ha−1. At the age of 7 years, in different experimental treatments, thinnings of high and very high intensities were carried out to achieve a certain stand density. The thinning intensity varied from 30 to 70%. The intensity of stand thinning is considered to be low – up to 15% of the stand stock is cut down, moderate – 16–25%, high – 26–35% and very high – more than 35% (Tkach et al. 2023). After thinning in a 7-year-old stand, their density was 3,837 stems·ha−1 in the “moderate wood increment” treatment, 1,866 stems·ha−1 in the “accelerated wood increment” treatment, 1,002 stems·ha−1 in the “rapid wood increment” treatment and 492 stems·ha−1 in the “widely spaced trees” treatment. No thinning was carried out in the control plot, where the stand density reached 6,468 stems·ha−1. Later, two more thinnings were carried out in the experimental treatments at the age of 21 and 27 years. The next high-intensity thinning, 26–31% by growing stock and 38–48% by tree number, was carried out in 21-year-old plantations in all experimental treatments. As a result of these thinning operations, 3,200 (control), 2,100, 1,100, 620 and 330 trees remained per hectare. B. Gavrilov carried out the third thinning in 1952 in 27-year-old plantations. The low-intensity thinning (10% and 6% by growing stock) was applied in the control and “moderate wood increment” treatment (treatment 1), while moderate-intensity thinning (22% by growing stock) was applied in the “accelerated wood increment” treatment (treatment 2) and high-intensity thinning was applied in the “rapid wood increment” treatment (treatment 3) and “widely spaced trees” treatment (treatment 4) (30% and 26% by growing stock, respectively) (Gavrilov 1969). As a result of these thinnings, the densities of the stands at the age of 27 were 1,608, 792, 441 and 255 stems·ha−1 in the experimental treatments and 2,874 stems·ha−1 in the control (Fig. 2). Therefore, the differences in the stand density in different treatments were formed in young stands as a result of the three thinnings at the age of 7, 21 and 27 years.

Density dynamics in pine stands in different experimental treatments
The unique character of the experiment was determined by the fact that during the entire research period, the stands in different treatments succeeded in cultivating in contrasting densities. The period of the experiment covers more than 85 years of continuous observations. Usually, at permanent experimental sites, the initially significant difference in stand density is levelled out by subsequent thinning operations. That is because the stands that were the densest at the start of an experiment become more thinned by repeated thinning cuts due to deterioration of their health. Therefore, experiments in which it was possible to maintain the contrast in stand density for a long time, as in the experiment of B. Gavrilov, are of a great value. For example, at the age of 72 years, the stand densities in different treatments were 1,041 stems·ha−1 (control), 916 stems·ha−1 (treatment 1), 641 stems·ha−1 (treatment 2), 425 stems·ha−1 (treatment 3) and 198 stems·ha−1 (treatment 4) (Fig. 2).
In the study, we determined stand biometric parameters according to generally accepted silvicultural and forestry methods (Hrom, 2010; Bettinger et al. 2017), as well as using Field-Map technology for collecting and analysing data in the field, including GIS tools and electronic measuring devices for mapping and dendrometric measurements (Buksha et al. 2010).
The stand resistance to wind, ice and wet snow damages was assessed by the relative height of the stand, which is the ratio of the average height (H, cm) to the average diameter (D, cm): H/D. The maximum (boundary) value of H/D for the dominant trees in a stand, which indicates the stand’s resistance to these factors, ranges from 80 to 110 (Franz 1983; Prien et al. 1985; Shinkarenko 1990; Manoylo 2006).
The health condition of the trees was assessed using six categories: the 1st – healthy trees, the 2nd – weakened trees, the 3rd – severely weakened trees, the 4th – dying trees, the 5th – standing dead trees died over the present year and the 6th – standing dead trees died over recent years. The stand damage degree was described by the stand health condition index Ic, which was determined by the formula (1) (Sanitary Forests Regulations 2016):
K1, …, K6 – the category of the health condition of the trees (from 1 to 6);
n1, …, n6 – the number of trees of a given health condition category;
N – the total number of recorded trees in the sample plot.
Detection of H. annosum s.l. was carried out using strains isolated from Pinus sylvestris by conidiospore germination. Trees visually damaged by root rot were used for sampling with cork borer from stump. Isolated strains grown on Hagem agar (Stenlid 1985) were determined to intersterility group by somatic incompatibility and PCR analysis (unpublished data) resulted in detection of H. annosum s.s.
The stand basal area (m2·ha−1), stand density (stems∙ha−1) and growing stock (m3·ha−1) were determined according to the data of tree accounting by methods generally accepted in forest mensuration.
The data were statistically analysed using ANOVA with the Tukey’s Honestly Significant Difference test for group means (Hammer, 2001). The critical level of significance in testing statistical hypotheses in the study was taken to be 0.05.
The study in 95-year-old stands indicates that over the past 23 years, the stand density in all experimental treatments has decreased due to mortality: from 1,041 to 364 stems·ha−1 in the control, from 916 to 390 stems·ha−1 in treatment 1, from 641 to 468 stems·ha−1 in treatment 2, from 425 to 279 stems·ha−1 in treatment 3 and from 198 to 144 stems·ha−1 in treatment 4 (Fig. 3).

Mortality intensity in the experimental treatments for the period 72–95 years
The stand health condition in the control as well as treatment 1 was assessed as “dying” (health condition index (Ic) – 3.8), in treatment 2 as “healthy” (Ic – 1.4), in treatment 3 as “severely weakened” (Ic – 3.0) and in treatment 3 as “weakened” (Ic – 2.3) (Fig. 4).

Density and average health condition indices of 95-year-old stands in different experimental treatments
As the density of the stands decreased among the treatments, their average diameter and average height increased reaching 27.4–49.0 cm for the diameter and 27.7–33.0 m for the height (Fig. 5). The average heights of the stands in the control and treatments 1 and 2 did not differ significantly (28.2, 27.7 and 27.8 m, respectively). The highest average height (33.0 m) was recorded in the sparsest stand of treatment 4.

Dependence of the average height (H) and diameter (D) on the stand density (N)
The average heights were significantly higher in treatments 3 and 4 compared to other treatments (Fig. 6a). Growing stands in different densities from a young age contributed to the formation of stands with different mensuration characteristics. The average diameters differed significantly between all treatments (Fig. 6b). The smallest average diameter, growing stock and basal area as well as the worst condition were registered in the control stand (Fig. 4, 6b, 7, 8a). The highest density, growing stock and basal area (Fig. 7) and the best condition were found in treatment 2 (Fig. 4, 8b).

Changes in average height (A) and diameter (B) of 95-year-old pine stands depending on the stand density; a–e – identical Latin letters indicate statistically insignificant differences in the mean in the series by Tukey’s HSD

Growing stock and basal area of 95-year-old stands in different experimental treatments

95-year-old stands: a – in control (photo: O. Tarnopilska); b – in treatment 2 “accelerated wood increment” (photo: O. Kobets)
In all experimental treatments, 95-year-old pine stands had higher growing stocks as compared to the average growing stock of pine stands of the same age in the region – 377–557 m3 × ha−1 (Fig. 7) versus 364 m3 × ha−1 (Tkach et al. 2018). The control stand had the lowest growing stock of 278 m3 × ha−1.
The data presented in Fig. 2 show that the main differences in density were achieved in 27-year-old stands after thinning in 1952. At that time, the density ranged from 2,679 to 222 stems·ha−1. Compared to the control, the density of the most thinned stand in treatment 4 was only 8%. In treatment 3, the density was 17%; it was 30% in treatment 2 and 61% in treatment 1. A significant difference in the density in different experimental treatments continued in the future.
A natural mortality in planted stands is delayed because the sunlight, moisture and nutrients are more equally distributed here among the trees. For this reason, natural mortality in the experimental treatments has begun only 15 years after the last thinning. In the treatments with a density of about 1,000 stems·ha−1 and less, only single trees died by the age of 72. In particular, during this period, the volume of naturally died trees per hectare did not exceed 8% and 2% of the total stand volume in treatments 1 and 2, respectively. The mortality in the sparsest treatment 4 was caused by stormy winds and in treatment 3 by Diprion pini (L.) damage. In the dense stand in the control, the number of trees has varied due to intensive natural mortality.
In 95-year-old stands, compared to 72-year-old ones, stand density was significantly reduced in all experimental treatments due to mortality. At the same time, the mortality intensity increased from 27% to 65% by the number of trees with the increase in a stand density (Fig. 3). Therefore, the difference in stand density between the treatments has changed significantly and has been levelled (Fig. 2). In dense stands – in the control and in treatment 1 – trees died in groups mainly due to their damage by the root rot (Heterobasidion annosum (Fr.) Bref.).
The mortality intensity for the specified period in the control was 65% by the stem number and 54% by the total stand volume; in treatment 1, it was 57% and 48%, respectively (Fig. 3). The number of dead trees exceeds that of live trees in these treatments. In the control, in the initially densest stand, the number of live trees per 1 ha became lower than that in treatments 1 and 2 due to mortality. In this regard, the health condition of 95-year-old stands in the densest control plot and treatment 1 was assessed as “dying” (health condition index (Ic) – 3.8) (Fig. 4). This is due to the fact that the overstocking in these plots has led to a general weakening of trees and a decrease in their ability to adapt to changing environmental conditions, in particular to a lack of moisture and nutrients in the soil (Luk’yanets et al. 2019).
The lowest mortality over the study period was recorded in treatment 2, making up 28% by the stem number and 20% by the total stand volume; the stand condition at the age of 95 years was assessed as “healthy” (Ic – 1.4) (Fig. 4). The dead tree proportions in treatments 3 and 4 were 34% and 27% by the number of trees, respectively, and 30% and 25% by the total stand volume, respectively. The health condition of the most thinned stand in treatment 3 was assessed as “severely weakened” (Ic – 3.0) and in treatment 4 as “weakened” (Ic – 2.3).
In all experimental treatments, 95-year-old pine stands exceeded the control in most mensuration characteristics, in particular, by 15–79% in average diameter, by 26–106% in basal area and 35–100% in growing stock.
The long-term dynamics of average stand heights and diameters shows that these values have increased with decreasing density (Fig. 9, 10). However, the difference between the values in the densest (control) and sparsest (treatment 4) stands has decreased over time. For example, in young (27-year-old) and older (72-year-old) stands, the average heights were higher in all thinning treatments as compared to that of the control: by 2–22% at the age of 27 and by 13–23% at the age of 72. At the age of 95 years, the average heights of the thinnest stands in treatments 3 and 4 were also higher than that in the control by 8% and 17%, respectively (Fig. 9).

Changes in average heights and densities of planted pine stands with age

Changes in average diameters and densities of planted pine stands with age
However, the difference between the average heights of the denser stands in the control and treatments 1 and 2 was insignificant and did not exceed 2% due to the intensive mortality and significant decrease in density in the control and treatment 1.
We found that for all age periods, the average diameter of the pine stands increased with decreasing their density. For example, the average diameter of the pine stands exceeded that of the control stands by 19–105% at the age of 27, by 9–93% at the age of 72 and by 15–79% at the age of 95 years (Fig. 10). Our results are confirmed by other studies (Shinkarenko and Dziedzyula 1983; Ryabokon 2010; Zhukovskyi 2015). In particular, Ryabokon (1991), studying pine stands with different densities, found that in dense stands (10–20 thousand stems·ha−1) compared to sparse ones (2.5–5.0 thousand stems·ha−1), the average diameter was 42% smaller and the stem volume was 106% lower.
One of the important stand productivity characteristics is the growing stock. Changes in the growing stocks of pine stands in different experimental treatments showed that at the age of 27 years, the highest productivity was in the densest stand in the control: the growing stock was 160 m3 × ha−1. The lowest productivity was recorded in most sparse stand in treatment 4 with a growing stock of 63 m3 × ha−1. The difference was 39%. The differences in growing stock between older pine stands with different densities were gradually levelled (Fig. 11). For example, 72-year-old stands, which differed significantly in densities (from 419 to 1,125 stems × ha−1) and average diameters (from 23.0 to 44.4 cm), had similar growing stocks: 454–527 m3 × ha−1. In treatments 1 and 2, the growing stock was by 13–16% higher compared to that in the control, and in treatment 3, it was almost the same. In treatment 4, the growing stock was 24% lower than that in the control (Fig. 11). In general, the growing stock increased when the density of the 72-year-old stands decreased to 600 stems × ha−1 and the density of 95-year-old stands decreased to 500 stems·ha−1. The highest growing stock of about 550 m3 × ha−1 was registered in treatment 2: 542 m3 × ha−1 at 72 years and 557 m3 × ha−1 at 95 years. At the less tree numbers in treatments 3 and 4 at the age of 72, the growing stocks decreased (Fig. 11).

Changes in growing stocks and densities of planted pine stands with age
Similar results were obtained by Savich et al. (1978) when cultivating Scots pine stands with different densities (2,500; 5,000; 7,500; 11,500; 17,500; 24,500; 30,000 stems∙ha−1). The results indicate that at the stand age of 17 years, the highest growing stocks (142–152 m3 × ha−1) were registered in the stands with the highest densities (17,500–30,000 stems × ha−1). At the stand age of 50 years, the maximum growing stocks (529–555 m3 × ha−1) were recorded in the stands with the lowest planting densities (2,500–7,500 stems × ha−1).
The general trend of growing stock dynamics in stands of different densities is confirmed by other studies. For example, Klimchik (2009) investigated stand characteristics and growing stock of pine stands with different planting densities. He found that the growing stock of 50-year-old dense stands was on average 27% lower compared to that of sparse ones.
Studies conducted by Zhao et al. (2011) in the Lower Coastal Plain of the southeastern United States to evaluate planting densities in a wide range (741–4,448 stems∙ha−1) and assess the influence of the intensive management on growth and productivity of loblolly pine (Pinus taeda L.) showed that up to 12 years of age, planting density and management intensity did not significantly affect the pine growth and productivity. Later, both management intensity and planting density significantly affected the average diameter, height and growing stock of the stands. The variables were the highest at the lowest density.
Zhukovskyi (2015) in his research in 38-year-old Scots pine stands in Zhytomyr Polissya, Ukraine, found that the average pine diameter in sections with different initial densities ranging from 2,500 to 20,000 stems·ha−1 differed from the control by 5–10%. The difference was 5–8% for the average height and 9–18% for the growing stock. Zhukovskyi (2015) obtained small percentages compared to ours possibly because he studied denser pine stands in more favourable forest site conditions, and the results were obtained only at a young age. Zhukovskyi’s results indicate that the density of 4,000 stems·ha−1 until the age of 40 is optimal for obtaining high values of Scots pine average heights and growing stocks. To obtain pine trunks with large diameters, it is necessary to establish stands with a density of 1,000 stems·ha−1 (Zhukovskyi 2015).
Tkachuk et al. (2003), when investigating target-oriented pine plantations, state that the best density to obtain a large-sized wood is 3,000–1,000 stems·ha−1. At this density, the rapid increase in average diameter and the growing stock of the average tree begins.
David et al. (2018) modelled the growth and productivity of loblolly pine (Pinus taeda L.) in southern Brazil to determine the optimal thinning regimes and planting densities for obtaining a large-sized wood (>35 cm) and to provide an economic assessment of these regimes. The modelling included four planting densities (1,111, 1,600, 2,000 and 2,500 stems·ha−1) and three thinnings with different intensities and thinning dates. The authors concluded that the lowest planting density of 1,111 stems·ha−1 was the best for obtaining large pine diameters. However, taking into account costs and profits, it is more profitable to grow pine at a density of 1,600, 2,000 or 2,500 stems·ha−1 to obtain a higher total wood volume.
Thinning contributed not only to the improvement of stand characteristics but also to the resistance of pine stands to wind, ice and wet snow. This is evidenced by the relative height H/D, the limit value of which for pine, according to the results of many studies (Franz 1983; Shinkarenko 1990; Prien et al. 1985; Manoylo 2006), should not exceed 110 (Fig. 12). The relative height H/D for each treatment with changing age is relatively constant, starting from the moment of thinning and up to 95 years of age. The H/D value shows that the sparse stands are not only lagging behind dense ones in terms of resistance to damage by snow, wind and ice but even ahead of them. For example, in 27-, 72- and 95-year-old stands, the value of H/D in the control varied between 110 and 103. In thinner stands, this value was lower: 103–64, considering that living trees in these treatments had significantly larger diameters than that in the control. At the same time, the relative height H/D decreases as the density decreases.

Dynamics of relative height H/D in the experimental treatments
Comparison of data on stand development and recommendations regarding the pine stand density from different studies shows that maximum productivity can be achieved in a wide range of stand densities (Shinkarenko and Dziedzyula 1983; Tkachuk et al. 2003; Tkachuk and Strutynskyi 2004; Beker 2008; Tarnopilska 2014). The younger the stand is, the wide the range.
Mature pine stands accumulate a similar final growing stock despite their different densities due to thinning during their cultivation. The data we obtained on the levelling of final growing stocks in stands of different densities can be used for accelerated production of timber of varying assortment types.
Cultivation of more valuable and highly productive stands in the Left-Bank Steppe in Ukraine is possible by regulating the pine stand density within certain limits through more intense thinning (especially in young stands). The sparser stands, as compared to dense ones, are more resistant to snow and wind damage as well as to forest pests and diseases.
Cultivating stands in different density regimes from a young age allows the formation of stands with different mensuration characteristics. High-intensity thinning in young stands contributed to the formation of stands consisting of thicker and taller trees compared with those grown under a high density. The average diameters of 72-year-old stands in treatments “accelerated wood increment” (density of about 600 stems·ha−1), “rapid wood increment” (density of about 400 stems·ha−1) and “widely spaced trees” (density of about 200 stems·ha−1) were 1.3, 1.5 and 1.9 times higher than that in the control (density of about 1,000 stems·ha−1). At the same time, thinned 72-year-old stands had similar growing stocks in the “moderate wood increment,” “accelerated wood increment” and “rapid growth” treatments and in the control, while their densities differed by 1.6–2.4 times. The stand densities in all experimental treatments in 95-year-old stands were significantly reduced compared to that in 72-year-old stands due to intensive mortality. As a result, the difference in the stand density between the treatments changed significantly and was levelled. However, the average diameters of 95-year-old stands in all treatments differed significantly, increasing with decreasing density. Significantly higher average heights were recorded in the stands in the “rapid wood increment” and “widely spaced trees” treatments with densities of 400 stems·ha−1 and 200 stems·ha−1, respectively, by the age of 27 years.
At the age of 95 years, the highest density, growing stock, basal area and best health condition were observed in the “accelerated wood increment” treatment, where about 1,000 trees per hectare were left after felling until the age of 27 for further growth. The treatments with lower and higher densities were inferior either in terms of stand mensuration variables or in their health condition and resistance to adverse factors.