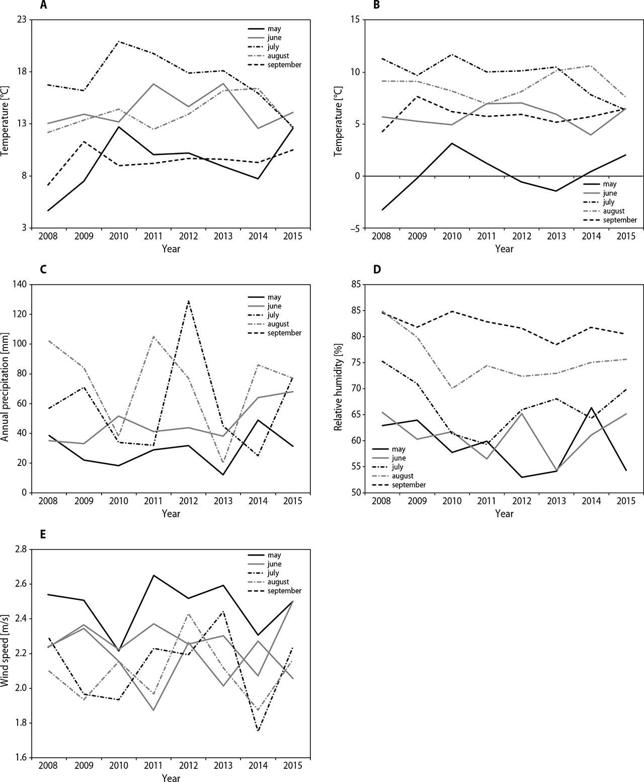
Figure 1

Figure 2

Pearson correlation coefficient of latewood width and meteorological parameters
| Blueberry pine forest (SP1) | Blueberry pine forest (SP2) | Blueberry pine forest (SP3) | Blueberry pine forest (SP4) | Blueberry pine forest (SP5) | Cowberry pine forest (SP6) | Pine on swamp (SP7) | ||||||||||||||||||||||||||||||
|---|---|---|---|---|---|---|---|---|---|---|---|---|---|---|---|---|---|---|---|---|---|---|---|---|---|---|---|---|---|---|---|---|---|---|---|---|
| May | June | July | Aug. | Sept. | May | June | July | Aug. | Sept. | May | June | July | Aug. | Sept. | May | June | July | Aug. | Sept. | May | June | July | Aug. | Sept. | May | June | July | Aug. | Sept. | May | June | July | Aug. | Sept. | ||
| tair | ||||||||||||||||||||||||||||||||||||
| Daily | mean | 0.15 | 0.13 | −0.32 | 0.40 | 0.14 | 0.31 | −0.12 | 0.67 | 0.15 | 0.21 | 0.31 | 0.16 | 0.77 | 0.13 | 0.13 | 0.27 | 0.30 | −0.04 | 0.63 | 0.26 | −0.29 | −0.36 | 0.06 | −0.66 | −0.54 | −0.54 | −0.42 | −0.34 | −0.55 | 0.07 | 0.49 | 0.24 | −0.34 | −0.62 | 0.27 |
| Day | max. | 0.00 | −0.25 | −0.27 | 0.43 | 0.11 | 0.30 | −0.02 | 0.67 | 0.24 | 0.10 | 0.24 | 0.09 | 0.72 | 0.17 | −0.02 | 0.14 | 0.03 | 0.60 | 0.26 | 0.14 | −0.31 | 0.38 | 0.11 | −0.64 | −0.17 | −0.32 | 0.07 | −0.35 | −0.57 | 0.18 | 0.47 | 0.20 | −0.36 | −0.54 | 0.34 |
| min. | 0.02 | −0.24 | −0.13 | 0.38 | 0.11 | 0.30 | −0.02 | 0.68 | 0.20 | 0.06 | 0.25 | 0.11 | 0.77 | 0.16 | 0.00 | 0.27 | 0.03 | 0.65 | 0.23 | 0.13 | −0.32 | 0.40 | 0.07 | 0.64 | −0.25 | −0.34 | 0.05 | −0.36 | −0.56 | 0.11 | 0.45 | 0.27 | −0.35 | −0.54 | 0.34 | |
| Night | max. | 0.03 | 0.30 | −0.45 | 0.17 | −0.01 | 0.48 | −0.15 | 0.62 | −0.02 | 0.44 | 0.42 | 0.01 | 0.76 | 0.01 | 0.21 | 0.42 | −0.13 | 0.60 | 0.00 | 0.42 | −0.33 | 0.82 | 0.20 | 0.57 | 0.13 | −0.46 | −0.47 | −0.15 | −0.22 | 0.28 | 0.35 | 0.12 | 0.28 | −0.61 | 0.07 |
| min. | 0.05 | 0.08 | −0.46 | 0.17 | 0.17 | 0.48 | −0.10 | 0.62 | −0.03 | 0.28 | 0.42 | 0.01 | 0.77 | 0.00 | 0.26 | 0.42 | −0.08 | 0.61 | −0.07 | 0.45 | −0.32 | −0.70 | −0.16 | 0.56 | 0.00 | −0.46 | −0.21 | −0.17 | −0.21 | 0.25 | 0.35 | 0.16 | −0.27 | −0.61 | 0.07 | |
| tdp | ||||||||||||||||||||||||||||||||||||
| Daily | mean | 0.22 | −0.07 | −0.57 | −0.26 | −0.05 | 0.44 | −0.23 | −0.14 | −0.36 | 0.49 | 0.30 | −0.04 | −0.03 | −0.3.1 | 0.32 | 0.42 | −0.27 | −0.15 | −0.33 | 0.51 | 0.02 | 0.15 | 0.51 | 0.26 | 0.50 | −0.43 | −0.08 | 0.49 | 0.44 | 0.21 | 0.20 | 0.66 | −0.07 | −0.33 | 0.21 |
| Day | max. | 0.23 | 0.20 | 0.69 | 0.09 | −0.14 | 0.44 | −0.28 | 0.53 | −0.10 | 0.43 | 0.30 | −0.11 | −0.66 | −0.13 | 0.23 | 0.40 | −0.34 | 0.9 | −0.03 | 0.44 | 0.01 | −0.50 | 0.35 | −0.17 | 0.36 | −0.43 | 0.08 | 0.12 | 0.12 | 0.41 | 0.22 | 0.73 | −0.23 | −0.67 | 0.25 |
| min. | 0.19 | −0.03 | 0.60 | −0.31 | −0.11 | 0.47 | −0.21 | 0.10 | −0.31 | 0.49 | 0.30 | 0.03 | 0.03 | −0.27 | 0.32 | 0.43 | −0.26 | −0.11 | −0.28 | 0.52 | 0.05 | −0.17 | 0.52 | 0.29 | 0.27 | −0.37 | −0.12 | 0.48 | 0.46 | 0.28 | 0.12 | 0.62 | −0.07 | −0.29 | 0.25 | |
| Night | max. | 0.21 | 0.13 | 0.62 | 0.21 | 0.03 | 0.47 | −0.25 | 0.62 | −0.21 | 0.45 | 0.36 | −0.11 | 0.76 | −0.19 | 0.23 | 0.46 | −0.31 | 0.59 | −0.15 | 0.42 | −0.08 | −0.49 | 0.29 | −0.38 | 0.10 | −0.50 | −0.29 | 0.01 | −0.03 | 0.21 | 0.22 | 0.64 | −0.23 | −0.67 | 0.11 |
| min. | 0.22 | 0.20 | 0.65 | −0.27 | −0.02 | 0.46 | −0.18 | 0.06 | −0.40 | 0.58 | 0.33 | −0.04 | 0.20 | 0.34 | −0.42 | 0.44 | −0.23 | 0.04 | −0.39 | 0.58 | −0.04 | −0.36 | 0.49 | 0.29 | −0.02 | −0.47 | −0.37 | 0.40 | 0.45 | 0.07 | 0.21 | 0.57 | −0.13 | −0.27 | 0.08 | |
| H | ||||||||||||||||||||||||||||||||||||
| Daily | mean | 0.02 | −0.04 | −0.18 | −0.41 | −0.48 | 0.07 | −0.28 | −0.68 | −0.54 | 0.32 | −0.17 | −0.41 | −0.60 | −0.55 | 0.21 | 0.05 | −0.44 | −0.53 | 0.48 | 0.21 | 0.51 | 0.05 | −0.44 | 0.55 | 0.64 | 0.42 | 0.16 | 0.49 | 0.77 | 0.21 | −0.64 | 0.24 | 0.31 | 0.04 | −0.19 |
| Day | mean | 0.06 | −0.01 | −0.08 | −0.18 | −0.36 | 0.07 | −0.24 | −0.63 | −0.39 | 0.44 | −0.13 | −0.40 | −0.55 | −0.39 | 0.32 | 0.09 | −0.39 | −0.57 | 0.34 | 0.37 | 0.49 | 0.10 | 0.07 | 0.64 | 0.74 | 0.45 | 0.22 | 0.56 | 0.87 | 0.34 | −0.68 | 0.14 | 0.34 | 0.11 | 0.22 |
| Night | mean | 0.13 | −0.14 | 0.21 | 0.56 | 0.03 | −0.03 | −0.22 | −0.56 | −0.59 | −0.24 | −0.20 | −0.25 | −0.54 | −0.70 | −0.08 | 0.06 | −0.35 | −0.56 | −0.52 | −0.35 | 0.52 | 0.12 | −0.48 | 0.14 | 0.08 | 0.30 | 0.05 | 0.18 | 0.11 | 0.47 | −0.42 | 0.53 | 0.20 | −0.26 | 0.16 |
| WS | ||||||||||||||||||||||||||||||||||||
| Daily | mean | 0.42 | 0.24 | 0.25 | 0.15 | 0.19 | 0.44 | 0.25 | −0.34 | −0.05 | 0.04 | −0.23 | −0.12 | −0.08 | −0.04 | −0.14 | −0.41 | −0.23 | −0.33 | −0.18 | −0.10 | −0.52 | −0.30 | −0.60 | −0.63 | −0.37 | −0.47 | −0.44 | −0.63 | −0.59 | −0.3 | 0.33 | 0.77 | 0.46 | 0.31 | 0.42 |
| max. | 0.47 | 0.36 | 0.60 | 0.26 | 0.38 | −0.09 | 0.39 | 0.08 | 0.27 | 0.38 | 0.02 | 0.36 | 0.00 | 0.32 | 0.18 | −0.15 | 0.30 | −0.13 | 0.15 | 0.22 | −0.72 | −0.67 | −0.77 | −0.70 | −0.37 | −0.63 | −0.84 | −0.99 | −0.78 | −0.49 | −0.42 | −0.30 | −0.06 | −0.13 | −0.64 | |
| min. | 0.86 | 0.88 | 0.80 | 0.20 | 0.80 | −0.65 | −0.47 | −0.69 | −0.80 | −0.59 | −0.01 | −0.44 | −0.60 | −0.70 | −0.51 | −0.64 | −0.47 | −0.70 | −0.85 | −0.62 | −0.72 | −0.78 | −0.87 | −0.15 | −0.89 | −0.51 | −0.71 | 0.06 | 0.00 | −0.75 | −0.10 | −0.03 | 0.03 | 0.01 | 0.02 | |
| Day | max. | 0.24 | 0.44 | 0.58 | 0.15 | −0.63 | −0.45 | −0.21 | −0.70 | −0.10 | 0.41 | −0.36 | −0.29 | −0.52 | 0.01 | 0.32 | −0.47 | −0.12 | −0.66 | −0.22 | 0.40 | −0.25 | −0.38 | −0.70 | −0.59 | 0.35 | 0.03 | −0.11 | −0.44 | −0.17 | 0.80 | 0.41 | 0.29 | 0.20 | 0.33 | 0.27 |
| min. | −0.16 | −0.04 | −0.57 | −0.36 | −0.20 | −0.51 | −0.51 | 0.23 | −0.31 | −0.36 | −0.35 | −0.35 | 0.38 | −0.16 | 0.50 | −0.43 | −0.45 | 0.29 | −0.29 | −0.40 | 0.30 | 0.66 | 0.34 | 0.06 | 0.39 | 0.32 | 0.14 | 0.03 | 0.37 | 0.79 | 0.79 | 0.87 | 0.68 | 0.88 | 0.00 | |
| Night | max. | −0.27 | −0.28 | −0.04 | −0.27 | −0.53 | −0.23 | 0.18 | −0.68 | −0.14 | 0.25 | −0.11 | 0.09 | −0.48 | −0.02 | 0.09 | −0.19 | 0.23 | 0.55 | −0.24 | 0.20 | 0.28 | 0.00 | 0.00 | −0.32 | 0.48 | 0.46 | 0.39 | 0.35 | −0.01 | 0.80 | −0.37 | −0.14 | 0.29 | 0.03 | −0.02 |
| min. | −0.45 | 0.30 | −0.25 | −0.43 | −0.02 | −0.17 | −0.28 | −0.64 | −0.39 | −0.37 | 0.02 | 0.05 | −0.39 | −0.29 | −0.43 | −0.08 | −0.21 | 0.56 | −0.40 | −0.48 | 0.49 | 0.21 | 0.17 | 0.44 | 0.05 | 0.55 | 0.33 | 0.31 | 0.50 | 0.26 | 0.29 | 0.51 | 0.46 | 0.04 | −0.41 | |
| P | mean | 0.54 | 0.65 | −0.19 | 0.17 | −0.52 | −0.23 | −0.11 | −0.39 | −0.75 | −0.42 | −0.11 | −0.54 | – | −0.63 | −0.28 | −0.22 | −0.46 | −0.03 | −0.36 | −0.20 | 0.43 | 0.56 | −0.06 | 0.20 | −0.71 | 0.41 | 0.08 | 0.42 | −0.08 | ||||||
Key characteristics: average values of the sampled stands
| Sample plot | Forest type | Stand composition | Mean | Age [years] | Norm | |
|---|---|---|---|---|---|---|
| height [m] | diameter at breast height [cm] | |||||
| 1 | Blueberry pine forest | 6P3F1B | 18 | 22 | 65 | 0.8 |
| 2 | 10P | 12 | 18 | 70 | 0.7 | |
| 3 | 9P1B | 12 | 14.2 | 50 | 0.8 | |
| 4 | 6C4E | 18.5 | 19.7 | 75 | 0.7 | |
| 5 | 6P4F + B | 16 | 18 | 80 | 0.7 | |
| 6 | Cowberry pine forest | 9C1F | 16 | 18 | 60 | 0.7 |
| 7 | Pine on swamp | 10P | 4.5 | 4.6 | 62 | |
Specifications of the weather station WMR 918H
| Parameter | Measuring range | Resolution |
|---|---|---|
| Temperature | −50 to 70°C | 0.1°C |
| Relative air humidity | 2–98% | 1% |
| Wind speed | 0–56 m/s | 0.2 m/s |
| Annual precipitation | 0–999 mm/h | 1 mm/h |