Figure 1:

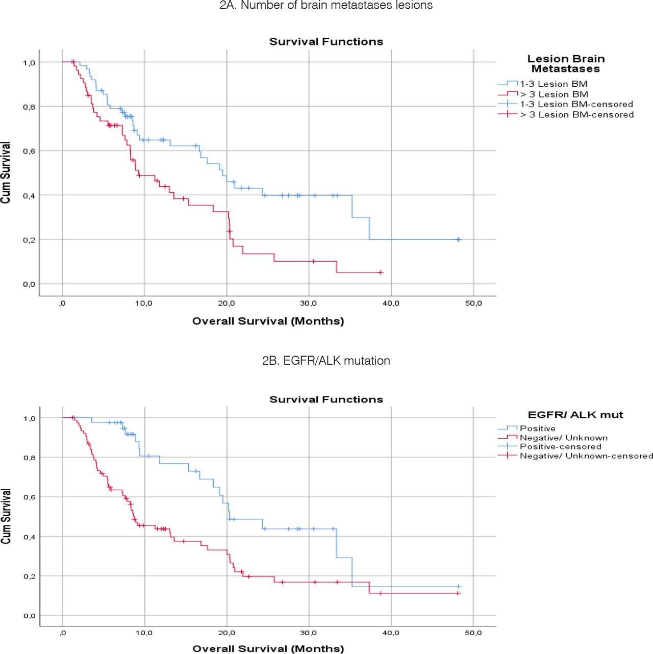
Figure 2:

Characteristics of patients participating in the study_
| Variable | n (%) |
|---|---|
| Age (years) | |
| Median (±IQR) | 63 ± 13 (range: 24–88) |
| Age group (years) | |
| <60 | 306 (34.2) |
| ≥60 | 589 (65.8) |
| Sex | |
| Male | 666 (74.4) |
| Female | 229 (25.6) |
| Histopathology | |
| Squamous carcinoma | 159 (17.8) |
| Non-squamous carcinoma | 736 (82.2) |
| PS ECOG | |
| 0–1 | 734 (82.0) |
| 2–4 | 161 (18.0) |
| Tumor stage | |
| T1 | 129 (14.4) |
| T2 | 192 (21.5) |
| T3 | 207 (23.1) |
| T4 | 367 (41.0) |
| Node stage | |
| N0 | 201 (22.5) |
| N1 | 30 (3.4) |
| N2 | 310 (34.6) |
| N3 | 354 (39.6) |
| Tumor size (cm) | |
| <3 | 217 (24.2) |
| ≥3 | 678 (75.8) |
| Short axis of mediastinal node (cm) | |
| <1.5 | 638 (71.3) |
| ≥1.5 | 257 (28.7) |
| EGFR/ALK mutation | |
| Positive | 250 (27.9) |
| Negative/unknown | 645 (72.1) |
| CEA (ng/ml) | |
| <5 | 251 (28.0) |
| ≥5 | 644 (72.0) |
| Extracranial metastasis | |
| Yes | 506 (56.5) |
| No | 389 (43.5) |
Prevalence of brain metastases in non-small cell lung cancer according to factors_
| Variable | n (%) | p-Value |
|---|---|---|
| Total | (117) 13.1 | - |
| Age group (years) | ||
| <60 | 45 (14.7) | 0.347 |
| ≥60 | 72 (12.2) | |
| Sex | ||
| Male | 88 (13.2) | 0.910 |
| Female | 29 (12.7) | |
| Histopathology | ||
| Squamous carcinoma | 10 (6.3) | 0.006 |
| Non-squamous carcinoma | 107 (14.5) | |
| PS ECOG | ||
| 0–1 | 91 (12.4) | 0.245 |
| 2–4 | 26 (16.1) | |
| Tumor stage | ||
| T1–T2 | 40 (12.5) | 0.757 |
| T3–T4 | 77 (13.4) | |
| Node stage | ||
| N0–2 | 51 (9.4) | <0.001 |
| N3 | 66 (18.6) | |
| Tumor size (cm) | ||
| <3 | 25 (11.5) | 0.488 |
| ≥3 | 92 (13.6) | |
| Short axis of mediastinal node (cm) | ||
| <1.5 | 73 (11.4) | 0.028 |
| ≥1.5 | 44 (17.1) | |
| EGFR/ALK mutation | ||
| Positive | 41 (16.4) | 0.077 |
| Negative/unknown | 76 (11.8) | |
| CEA (ng/ml) | ||
| <5 | 18 (7.2) | 0.001 |
| ≥5 | 99 (15.4) | |
| Extracranial metastasis | ||
| Yes | 76 (15.0) | 0.057 |
| No | 41 (10.5) |
Some factors associated with brain metastases in non-small cell lung cancer: Univariate and multivariate logistic regression_
| Variable | Brain metastases in non-small cell lung cancer | |||
|---|---|---|---|---|
| Crude OR (95% CI) | p-Value | Adjustment OR (95% CI) | p-Value | |
| Age group (years) | ||||
| <60 | 1.24 (0.83–1.85) | 1.21 (0.80–1.83) | ||
| ≥60 | 1 | 0.297 | 1 | 0.370 |
| Sex | ||||
| Male | 1.05 (0.67–1.65) | 1,17 (0.73–1.90) | ||
| Female | 1 | 0.832 | 1 | 0.513 |
| Histopathology | ||||
| Squamous carcinoma | 1 | 1 | ||
| Non-squamous carcinoma | 2.53 (1.29–4.97) | 0.007 | 2.04 (1.01–4.14) | 0.049 |
| PS ECOG | ||||
| 0–1 | 1 | 1 | ||
| 2–4 | 1.36 (0.85–2.18) | 0.202 | 1.51 (0.92–2.50) | 0.102 |
| Tumor stage | ||||
| T1–T2 | 1 | 1 | ||
| T3–T4 | 1.09 (0.72–1.64) | 0.685 | 0.98 (0.62–1.53) | 0.925 |
| Node stage | ||||
| N0–2 | 1 | 1 | ||
| N3 | 2.20 (1.49–3.26) | < 0,001 | 1.77 (1.15–2.72) | 0.009 |
| Tumor size (cm) | ||||
| <3 | 1 | 1 | ||
| ≥3 | 1.21 (0.75–1.93) | 0.436 | 1.33 (0.79–2.22) | 0.286 |
| Short axis of mediastinal node (cm) | ||||
| <1.5 | 1 | 1 | ||
| ≥1.5 | 1.60 (1.07–2.40) | 0.023 | 1.32 (0.84–2.05) | 0.224 |
| EGFR/ALK mutation | ||||
| Positive | 1.47 (0.97–2.22) | 1.34 (0.85–2.11) | ||
| Negative/unknown | 1 | 0.067 | 1 | 0.206 |
| CEA (ng/ml) | ||||
| <5 | 1 | 1 | ||
| ≥5 | 2.35 (1.39–3.97) | 0.001 | 1.81 (1.05–3.13) | 0.034 |
| Extracranial metastasis | ||||
| Yes | 1.50 (1.00–2.25) | 1.11 (0.72–1.71) | ||
| No | 1 | 0.050 | 1 | 0.626 |
Association of overall survival time in patients with brain metastases in non-small cell lung cancer with various factors: Multivariable Cox regression analysis_
| Variable (N = 117) | HR (95% CI) | p-Value |
|---|---|---|
| Age group (years) | ||
| <60 | 0.86 (0.50–1.46) | 0.569 |
| ≥60 | 1 | |
| Sex | ||
| Male | 0.95 (0.50–1.80) | 0.862 |
| Female | 1 | |
| Histopathology | ||
| Squamous carcinoma | 1 | 0.296 |
| Non-squamous carcinoma | 0.63 (0.26–1.50) | |
| PS ECOG | ||
| 0–1 | 0.60 (0.32–1.11) | 0.103 |
| 2–4 | 1 | |
| Tumor stage | ||
| T1–T2 | 1 | 0.281 |
| T3–T4 | 0.71 (0.38–1.32) | |
| Node stage | ||
| N0–2 | 1 | 0.262 |
| N3 | 0.73 (0.41–1.27) | |
| Tumor size (cm) | ||
| <3 | 0.71 (0.35–1.43) | 0.332 |
| ≥3 | 1 | |
| Short axis of mediastinal node (cm) | ||
| <1.5 | 0.80 (0.48–1.35) | 0.404 |
| ≥1.5 | 1 | |
| EGFR/ALK mutation | ||
| Positive | 0.38 (0.20–0.70) | 0.002 |
| Negative/unknown | 1 | |
| CEA (ng/ml) | ||
| <5 | 0.78 (0.34–1.80) | 0.554 |
| ≥5 | 1 | |
| BM lesions | ||
| 1–3 lesions | 0.56 (0.33–0.96) | 0,036 |
| >3 lesions | 1 | |
| Size of BM lesions | ||
| <3 cm | 1 | 0.996 |
| ≥3 cm | 0.99 (0.52–1.91) | |
| WBRT | ||
| Yes | 0.98 (0.55–1.81) | 0.970 |
| No | 1 | |
| Extracranial metastasis | ||
| Yes | 1 | 0.830 |
| No | 0.93 (0.51–1.72) |