Around 55,440 new cases of pancreatic carcinoma (PC) were diagnosed in the United States with 44,330 deaths in 2018. A stage for stage PC is associated with the lowest survival rates compared with any other major type of cancer[1]. By 2030, it is expected to rise to the next position after lung cancer as a major cause of cancer-related death[2]. Unfortunately, most of the patients (>80%) present in an advanced stage owing to the nonspecific symptoms or signs[3]. So, any attempt to reduce the dismal outcome of this fatal cancer will attract public health support.
The relation between serum vitamin D levels and health status is a dynamic process. Voluminous studies had reported the link between vitamin D serum levels and several types of cancers such as colorectal cancer, breast cancer, and PC. These findings pushed the investigators to evaluate the value of serum vitamin D testing as well as supplementation with an aim to detect and treat the low levels[4,5].
Vitamin D is a group of fat-soluble vitamins; it acts as a hormone which is responsible for the absorption of many minerals including calcium to maintain the normal calcium level and prevent many degenerative diseases, as well as has a postulated role in cancer. Vitamin D3, also called cholecalciferol, is the most common one. The interaction between sunlight and the skin represents the main source of vitamin D. So, during winter, the use of fortified food must be considered. Hypovitaminosis D is mainly due to insufficient sunlight exposure, and it affects about 50% of the population worldwide[6,7].
In PC, the vitamin D receptor (VDR) is overexpressed in human PC cell lines, compared with normal pancreatic cells. Early trials reported the importance of vitamin D metabolism in maintaining the PC. However, Waterhouse et al. contradicted the presence of a relationship between dietary vitamin D intake and PC prevention. So far, randomized control trials are insufficient and without reliable outcome[8,9,10,11].
Based on different geographical, laboratory, observational studies, as well as clinical trials, Grant reported a possible role of vitamin D in cancer[12]. However, the data are more complex and more effort is needed to clarify the actual role of vitamin D in PC, either prognostic, therapeutic, or protective.
Therefore, in the current study, we aimed to investigate the correlation between serum vitamin D levels and the clinicopathological features with the survival outcome in advanced pancreatic carcinoma (APC).
The current prospective study included 183 APC patients during the period from March 2016 to January 2018 who were investigated and treated in the Medical Oncology Department, Faculty of Medicine, Zagazig University and El-Mabra Hospital. The eligibility criteria were: pathologically proved diagnosis of PC, evidence of advanced stage disease, chemotherapy-naïve disease, and age ≥18 years. The exclusion criteria were: early cases of the adjuvant setting or advanced cases after multiple lines of treatment. The demographic data, clinicopathological features, and survival outcome were recorded through clinical examination and from the medical files. The staging was done according to the American Joint Committee on Cancer (AJCC). Treatment choice was based on the local institutional guidelines.
Serum 25-hydroxy vitamin D (25(OH)D) levels below 20 ng/ml and ranging from 20 to 29 ng/ml are defined as vitamin D deficiency and insufficiency, respectively, while a serum level ≥30 ng/ml is considered to be normal[13]. Following manufacturer's instructions, vitamin D was measured by the enzyme-linked immunosorbent assay (ELISA) technique before starting any line of treatment in eligible patients.
Continuous variables were expressed as the mean ± SD and median (range), and the categorical variables were expressed as a number (percentage). Continuous variables were checked for normality by using the Shapiro–Wilk test. Percentage of categorical variables was compared using Pearson's Chi-square test or Fisher's exact test, whichever was appropriate. The Kruskal–Wallis test was used to compare more than two groups of non-normally distributed variables. Overall survival (OS) was calculated as the time from diagnosis to death or the most recent follow-up contact (censored). Stratification of OS was done according to the vitamin D3 level. These time-to-event distributions were estimated using the method of Kaplan–Meier plot and compared using two-sided exact log-rank test. Cox regression analysis was performed to study the relationship between different study variables as independent predictors and mortality as an outcome or a dependent variable. A p-value <0.05 was considered significant. All statistics were performed using SPSS 20.0 for Windows (SPSS Inc., Chicago, IL, USA) and MedCalc windows (MedCalc Software bvba 13, Ostend, Belgium).
A total of 183 patients were eligible; 7 patients were excluded due to insufficient data. The median age was 61 years (range 30–80), and approximately 60% of the patients were male. The most common sites of metastasis were liver (76.7%), peritoneum (61.9%), and lung (30.7%). The median serum level of CA 19-9 was 698 (range 21.00–78,962.00) IU/ml. Lower serum vitamin D levels were detected in 60.2% of patients (insufficiency and deficiency were 28.4% and 31.8%, respectively) (Table 1).
Clinicopathological features among 176 advanced pancreatic carcinoma patients.
| All | ||
|---|---|---|
| Characteristics | (N=176) | |
| No. | % | |
| Age (years) | ||
| Mean± SD | 60.92±7.79 | |
| Median (Range) | 61 (30 – 80) | |
| Sex | ||
| Male | 105 | 59.7 |
| Female | 71 | 40.3 |
| Grade | ||
| Grade I | 29 | 16.7 |
| Grade II | 105 | 59.7 |
| Grade III | 42 | 23.9 |
| Site | ||
| Head | 75 | 42.6 |
| Body | 57 | 32.4 |
| Tail | 44 | 25 |
| Peritoneal nodules | 109 | 61.9 |
| Liver metastasis | 135 | 76.7 |
| Lung metastasis | 54 | 30.7 |
| Bone | 3 | 1.7 |
| Treatment type Chemotherapy | 146 | 83 |
| Best supportive care | 30 | 17 |
| ECOG PS | ||
| ECOG 0 | 10 | 5.7 |
| ECOG 1 | 72 | 40.9 |
| ECOG 2 | 64 | 36.4 |
| ECOG 3 | 23 | 13.1 |
| ECOG 4 | 7 | 4 |
| Vitamin D3 level | ||
| Normal | 70 | 39.8 |
| Insufficiency | 50 | 28.4 |
| Deficiency | 56 | 31.8 |
| CA 19-9 | ||
| Mean ±SD | 1011.46±1149.19 | |
| Median (Range) | 698 (21 – 7896) | |
| Response PR | 50 | 28.4 |
| SD | 48 | 27.3 |
| PD | 78 | 44.3 |
| Follow-up (months) Mean± SD | 7.72±5.17 | |
| Median (Range) | 7.61 (0.63 – 18.60) | |
ECOG, Eastern Cooperative Oncology Group Performance Status.
PR, partial response; SD, stable disease; PD, progressive disease.
Categorical variables were expressed as number (percentage).
Continuous variables were expressed as mean ± SD & median (range).
Lower vitamin D levels were positively associated with older age, larger tumor size, a higher grade of adenocarcinoma, higher serum level of CA 19-9, the presence of metastasis either to the liver or bones, poor ECOG PS, and low overall response rate (ORR) (p < 0.001). But there were no statistically significant differences between normal and lower vitamin D serum levels, either insufficiency or deficiency, in terms of sex, tumor site, and metastasis either to the lungs or peritoneum (Table 2).
Relation between clinicopathological features, outcome and vitamin D3 level among 176 pancreatic carcinoma patients.
| Characteristics | Normal | Insufficiency | Deficiency | p-value | |||
|---|---|---|---|---|---|---|---|
| (N=70) | (N=50) | (N=56) | |||||
| No. | % | No. | % | No. | % | ||
| Age (years) | |||||||
| Mean ±SD | 57.87±7.60 | 61.64±4.52 | 64.10±8.92 | <0.001‡ | |||
| Median (Range) | 59 (39 – 80) | 61 (52 – 75) | 65 (30 – 80) | ||||
| Sex | |||||||
| Male | 43 | 61.4 | 31 | 62 | 31 | 55.4 | 0.728‡ |
| Female | 27 | 38.6 | 19 | 38 | 25 | 44.6 | |
| Grade | |||||||
| Grade I | 22 | 31.4 | 6 | 12 | 1 | 1.8 | <0.001‡ |
| Grade II | 45 | 64.3 | 43 | 68 | 26 | 46.4 | |
| Grade III | 3 | 4.3 | 10 | 20 | 29 | 51.8 | |
| Site | 32 | 45.7 | 13 | 26 | 30 | 53.6 | 0.059‡ |
| Head | |||||||
| Body | 20 | 28.6 | 21 | 42 | 16 | 28.6 | |
| Tail | 18 | 25.7 | 16 | 32 | 10 | 17.9 | |
| Tumor size | |||||||
| T1 | 1 | 1.4 | 0 | 0 | 0 | 0 | <0.001‡ |
| T2 | 26 | 37.1 | 10 | 20 | 7 | 12.5 | |
| T3 | 39 | 55.7 | 30 | 60 | 21 | 37.5 | |
| T4 | 4 | 5.7 | 10 | 20 | 28 | 50 | |
| Site of metastasis | |||||||
| Peritoneal | 43 | 61.4 | 28 | 56 | 38 | 67.9 | 0.452‡ |
| Liver | 45 | 64.3 | 36 | 72 | 54 | 96.4 | <0.001‡ |
| Lung | 18 | 25.7 | 15 | 30 | 21 | 37.5 | 0.359‡ |
| Bone | 0 | 0 | 3 | 6 | 0 | 0 | 0.021‡ |
| ECOG PS | |||||||
| ECOG 0 | 8 | 11.4 | 2 | 4 | 0 | 0 | <0.001‡ |
| ECOG 1 | 42 | 60 | 18 | 36 | 12 | 21.4 | |
| ECOG 2 | 18 | 25.7 | 24 | 48 | 22 | 39.3 | |
| ECOG 3 | 2 | 2.9 | 5 | 10 | 16 | 28.6 | |
| ECOG 4 | 0 | 0 | 1 | 2 | 6 | 10.7 | |
| CA 19-9 | 600.35±974.71 | 1126.54±1342.46 | 1422.60±1002.65 | <0.001Ÿ | |||
| Mean ±SD | |||||||
| Median (Range) | 237.50 (21 – 6987) | 745 (48 – 7896) | 1459 (21 – 4928) | ||||
| Treatment type | |||||||
| Chemotherapy | 68 | 97.1 | 44 | 88 | 34 | 60.7 | 0.000 |
| Best supportive care | 2 | 2.9 | 6 | 12 | 22 | 39.3 | |
| Response | |||||||
| PR | 37 | 52.9 | 8 | 16 | 5 | 8.9 | <0.001‡ |
| SD | 21 | 30 | 19 | 38 | 8 | 14.3 | |
| PD | 12 | 17.1 | 23 | 46 | 43 | 76.8 | |
ECOG, Eastern Cooperative Oncology Group Performance Status.
PR, partial response; SD, stable disease; PD, progressive disease.
Continuous variables were expressed as mean ± SD & median (range); Categorical variables were expressed as number (percentage); Kruskal Wallis H test;
Chi-square test;
p<0.05 is significant.
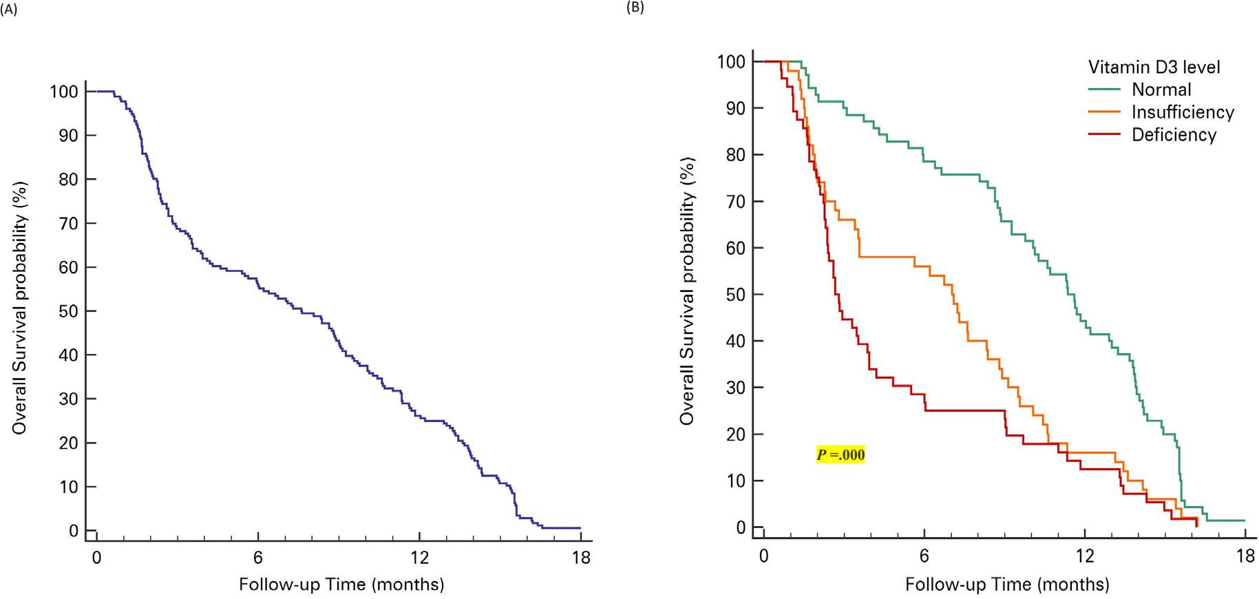
Unfortunately, all of the studied cases died during the follow-up period. The median follow-up period was 7.6 months (range 0.6–18.6). The ORR was 23.2%, 54%, and 82.9% for patients with vitamin D deficiency, insufficiency, and normal level of vitamin D, respectively. The median OS was 7.6 months for the whole group. The median OS for patients with normal level of vitamin D was 11.4 months, compared to 7.03 months for patients with vitamin D insufficiency and 2.7 months for patients with vitamin D deficiency (Figure 1A, B).

A: Kaplan-Meier survival curve for all studied patients. B: Survival analysis stratified by serum vitamin D3 levels.
Analysis using the univariate Cox proportional hazards model showed that low vitamin D levels were associated with poor outcome. For vitamin D insufficiency: regression coefficient, 0.680; standard error, 0.190; Hazards Ratio (HR), 1.974 (95% CI: 1.362–2.862, <0.001), and for vitamin D deficiency: regression coefficient, 0.979; standard error, 0.186; HR, 2.661 (95% CI: 1.362–2.862, <0.001). Moreover, this statistically significant correlation continued with age, pathology type, CA 19-9 level, presence of metastasis, ECOG PS, and treatment type. In contrast, these significant relationships were lost in multivariate analysis (Table 3).
Multivariate cox regression hazard model for factors affecting cancer-specific survival in patients with APC.
| Multivariate | ||||
|---|---|---|---|---|
| HR | 95.0% CI | |||
| Variable | Lower | upper | p-value | |
| Age | 0.994 | 0.962 | 1.028 | 0.7 |
| Sex | 0.896 | 0.614 | 1.309 | 0.5 |
| vitamin D level | 0.827 | 0.569 | 1.248 | 0.6 |
| Vitamin D level insufficiency | 1.233 | 0.777 | 1.975 | 0.3 |
| Vitamin D level deficiency | 1.062 | 0.646 | 1.746 | 0.8 |
| Pathology GI | 1.027 | 0.569 | 1.855 | 0.9 |
| Pathology GII&GIII | 0.865 | 0.258 | 2.901 | 0.8 |
| Site(head) | 0.804 | 0.539 | 1.197 | 0.2 |
| Site(Body) | 0.934 | 0.370 | 0.588 | 0.02 |
| Tumor size | 1.380 | 0.610 | 1.219 | 0.7 |
| CA19.9 | 1.000 | 1.000 | 1.000 | 0.9 |
| Liver metastases | 0.892 | 0.544 | 1.461 | 0.6 |
| Lung metastases | 1.210 | 0.792 | 1.848 | 0.3 |
| Peritoneal metastasis | 0.545 | 0.364 | 0.816 | 0.003 |
| ECOG | ||||
| PS1 | 0.103 | 0.877 | 0.394 | 0.7 |
| PS2 | 0.020 | 1.070 | 0.425 | 0.8 |
| PS3 | 3.915 | 3.054 | 1.001 | 0.04 |
| PS4 | 8.319 | 7.383 | 1.898 | 0.004 |
| Treatment type | 0 | 0 | 0 | 0 |
ECOG, Eastern Cooperative Oncology Group Performance Status.
The multivariate cox regression hazard model for treatment type is zero, because of constant or linearly dependent covariates (the degree of freedom reduced).
The OS at 6 months was 78.6%, 56%, and 26.9% and at 12 months was 44.3%, 16%, and 12.5% for patients with normal, insufficient, and deficient serum vitamin D levels, respectively (Table 4).
Relation between vitamin D3 level and overall survival among 176 pancreatic carcinoma patients.
| N | Mean OS (months) | Median OS (months) | Overall Survival (OS) | p-value† | |||||
|---|---|---|---|---|---|---|---|---|---|
| Estimate (95%CI) | Estimate (95%CI) | 6 month | 12 month | 18 month | |||||
| All patients | 176 | 7.72mon | (6.95–8.48) | 7.60mon | (5.60–9.59) | 55.7% | 26.1% | 0% | ----- |
| Vitamin D3 level | |||||||||
| Normal | 70 | 10.57mon | (9.48–11.65) | 11.36mon | (10.10–12.63) | 78.6% | 44.3% | 0% | <0.001 |
| Insufficiency | 50 | 6.77mon | (5.48–8.06) | 7.03mon | (5.10–8.95) | 56% | 16% | 0% | |
| Deficiency | 56 | 5.01mon | (3.82–6.20) | 2.66mon | (2.14–3.19) | 26.8% | 12.5% | 0% | |
Continuous variables were expressed as mean (95%CI); categorical variables were expressed as number (percentage);
Log rank test;
p<0.05 is significant.
Although significant advances have been made in the molecular biology of PC, their reflection on the treatment or diagnosis is not satisfactory. As the mortality rate is more or less equal to the incidence rate, APC represents a dismal prognosis for family, patients, and even oncologists. Worldwide, APC remains a major health burden. Most of the patients present in an advanced stage, while the treatment is given with palliative intent[14].
Our results showed an association of low serum levels of vitamin D, either insufficiency or deficiency, with female sex, older age, larger tumor size, higher tumor grade, higher serum level of CA 19-9, presence of metastasis, poor ECOG PS, low ORR, and OS (p < 0.001). These findings are consistent with the findings from CALGB 80303 (Alliance) on 256 patients with APC evaluating 25(OH)D levels and outcome[15]. The association of lower vitamin D serum levels with APC may be related to the general debilitating condition in case of severe anorexia, poor oral intake (dietary sources), and the lack of sun exposure (more than 90% of vitamin D status derived from sunlight exposure). Although our country has a sunny weather, lower vitamin D levels are not uncommon. The lifestyle and the traditional conservative long Egyptian dress with the hijab, as well as our cultural practice do not advice people to spend long time outdoors. Moreover, in the univariate Cox regression hazard model, these lower levels were associated with poor outcome (p < 0.001). These results are matching with many previous studies[16,17,18,19,20,21,22,23,24,25,26]. On multivariate analysis, a positive association was found only with peritoneal metastasis and ECOG PS. Due to the constant or linearly dependent covariates, the degree of freedom reduced, so the correlation with the treatment type was not detectable.
In 2006, Giovannucci et al. conducted the first prospective trial evaluating the correlation between serum vitamin D levels and cancer mortality. The final report showed a statistically significant inverse association of low serum levels of vitamin D and PC-related death[16].
Later on, five studies were conducted to evaluate the relationship between serum vitamin D levels and PC-related mortality[17,18,19,20,21]. In the subgroup analysis, high serum levels of vitamin D were associated with a favorable outcome of APC, although it did not reach a statistically significant level. Moreover, Tretli et al. reported that higher serum D levels were associated with survival improvement in a variety of cancers including PC[22]. A meta-analysis review including 853 studies reported that high serum levels of vitamin D were associated with improved outcome[23].
In another meta-analysis of standardized vitamin D in 26,916 individuals, Gaksch et al. showed an association between low vitamin D levels and unfavorable outcome[24].
Although most of the studies proved the correlation between vitamin D insufficiency or deficiency and poor outcome, there are some studies contradicting these observations. A correlative, national, randomized, double-blind, multicenter, Phase III study showed a lack of statistically significant correlation between the baseline levels of vitamin D and OS or PFS in patients with APC[15].
The mechanisms by which vitamin D exerts its anticancer effects are not clearly defined. The implication in gene control responsible for cellular proliferation, differentiation, apoptosis, and immune modulation may be the principle. Gene activation occurs mainly through two pathways: the first one is the classical vitamin D/VDR pathway, which is necessary for the subsequent mobilization of coactivators and more gene activation; the second one is the non-classical vitamin D/VDR pathway wherein it occurs through the interaction with the wnt-/β-catenin/TCF pathway. Moreover, vitamin D is considered as a stromal-depleting agent due to its anti-inflammatory property resulting in a reduction in fibrosis, and promotes what is called stromal remodeling, which leads to an increase in intratumor chemotherapy perfusion[25].
This proposed antitumor activity of vitamin D against PC has driven widespread interest in evaluating its therapeutic effect, either alone or in combination with chemotherapy. VITdCUT is a recruiting prospective Phase III trial evaluating the value of oral vitamin D supplementation in altered serum vitamin D levels in PC. The trial aims to compare higher doses versus a standard dose of vitamin D in these subtypes of patients. However, still, the results are pending; if positive results are obtained, vitamin D may be incorporated as a standard supportive of care in PC (ClinicalTrials.gov Identifier: NCT03472833).
Given the role of dietary intake and PC risk, analytical epidemiological studies revealed conflicting results[26]. Two important prospective analyses were done in the Health Professionals Follow-up Study (HPFS) and Nurses’ Health Study (NHS) and they reported the possibility of a protective role of vitamin D in PC. The first analysis conducted in the HPFS showed that higher vitamin D scores were associated with a decrease in both the incidence and mortality of PC[16]. The other one was an analysis conducted by both the HPFS and NHS, which reported an inverse association between vitamin D supplementation and PC[27].
Unlike most of the studies that had shown an inverse relation between serum vitamin D levels and PC risk, a nested case–control analysis done in the Alpha-Tocopherol, Beta-Carotene Cancer Prevention Study (ATBC) that included 200 male Finnish smokers with PC and 400 controls found an approximately threefold increased risk in patients in the highest compared with the lowest quintile of vitamin D serum levels (OR 2.92; 95% CI 1.56–5.48)[28]. However, the same investigator group and a more recent research using a different group population failed to assert this positive relationship (OR 1.45; CI 0.66–3.15; p =0.49)[29]. In another pooled analysis from PC case–control consortium, the researchers reported that the cancer risk increased with higher dietary vitamin D intake, although they did not deny the beneficial effect of vitamin D obtained from exposure to ultraviolet light[8].
Owing to these conflicting data and the paucity of other results, there is no clear value to recommend serum vitamin D evaluation for treatment of PC.
Although this is a prospective trial, small sample size and short duration of follow-up, in addition to the inability to use the international guidelines in the treatment of APC due to financial issues represented the main limitations of this study.
Our country is considered a developing country with a low economic status. Most of the patients with PS are diagnosed at an advanced stage. Even for those patients diagnosed with PS at an early stage, there is some delay to get proper treatment as not all our patients covered by health insurance. Besides, there is lack of supportive treatment.
Furthermore, seasonal variations in the measurement of serum vitamin D levels were not considered (winter months differ from sunny months). So, a single measurement may not be enough as it may be affected by the time of blood sampling.
Many data including our results suggest an inverse relation of the serum levels of vitamin D and outcome in patients with APC.
Currently, there is no strong clinical evidence to make healthcare providers advice regular vitamin D supplementation to treat or decrease the risk of PC. None has proven etiology and effect.
Owing to the proposed multiple antitumor mechanisms, many trials are ongoing to evaluate the therapeutic role of vitamin D or its analogs in the management of PC. Longer and larger multicenter prospective trials are needed.