Figure 1.

Figure 2.

Figure 3.

Figure 4.

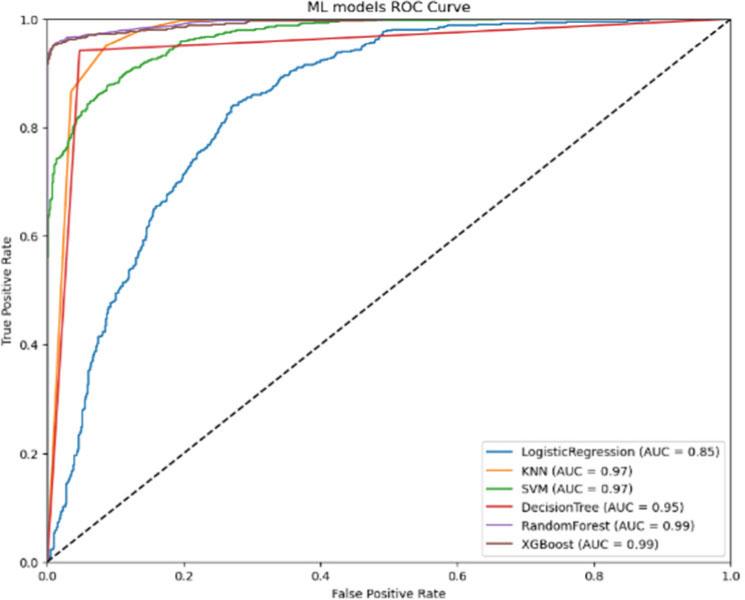
Figure 5:

The overall performance of the six applied ML models
| Models | Accuracy | Precision | Recall | F1 | AUC |
|---|---|---|---|---|---|
| Logistic Regression | 0.775 | 0.757 | 0.809 | 0.782 | 0.846 |
| KNN | 0.920 | 0.874 | 0.981 | 0.925 | 0.973 |
| SVM | 0.894 | 0.906 | 0.878 | 0.892 | 0.968 |
| Decision Tree | 0.947 | 0.952 | 0.941 | 0.947 | 0.947 |
| Random Forest | 0.970 | 0.992 | 0.947 | 0.969 | 0.994 |
| XGBoost | 0.970 | 0.988 | 0.952 | 0.970 | 0.992 |