Figure 1.

Figure 2.

Figure 3.

Figure 4.

Figure 5.

Summary of analytical principles, traceability, and analytical ranges of Cobas Pro (Roche) and Atellica Solution (Siemens) platforms
| Measurand | Platform | Method principle | Traceability | Analytical range |
|---|---|---|---|---|
| LH | Atellica | CLIA (sandwich) | NIBSC 80/552 | 0.07–200 IU/L |
| LH | Cobas Pro | ECLIA (sandwich) | NIBSC 80/552 | 0.3–200 IU/L |
| FSH | Atellica | CLIA | WHO IS 94/632 | 0.3–200 IU/L |
| FSH | Cobas Pro | ECLIA | WHO IRP 78/549 | 0.3–200 IU/L |
| Testosterone | Atellica | CLIA | ID-LC-MS/MS | 0.24–52.05 nmol/L |
| Testosterone | Cobas Pro | ECLIA | ID-GC/MS | 0.087–52.0 nmol/L |
| Estradiol | Atellica | CLIA | ID-GC/MS (manufacturer) | 43.31–11010 pmol/L |
| Estradiol | Cobas Pro | ECLIA | CRM 6004a via ID-GC/MS | 18.4–11010 pmol/L |
Key statistical results across hormones
| Hormone | Spearmanr | Intercept (95% CI) | Slope (95% CI) | Mean Bias (95% CI) | Cusum Test | Clinical Notes |
|---|---|---|---|---|---|---|
| LH | 0.991 | −0.42 (−0.50 to −0.35) | 0.86 (0.84 to 0.87) | −1.55 IU/L (−1.75 to −1.36) | p < 0.01 | Underestimation on Atellica may shift borderline prepubertal values into the prepubertal range |
| FSH | 0.995 | 0.01 (−0.09 to 0.07) | 1.09 (1.07 to 1.10) | +1.35 IU/L (0.92 to 1.78) | p = 0.87 | Proportional bias; use caution when switching platforms |
| Estradiol (peds) | 0.898 | 33.29 (26.55 to 39.02) | 0.95 (0.91 to 0.97) | +33.75 pmol/L (16.63 to 50.88) | p = 0.11 | Atellica quantifies more low-end results; may influence pubertal staging |
| Estradiol (adult) | 0.968 | 22.30 (13.66 to 29.11) | 1.06 (1.04 to 1.08) | +142.18 pmol/L (97.91 to 186.46) | p = 0.05 | Substantial overestimation on Atellica |
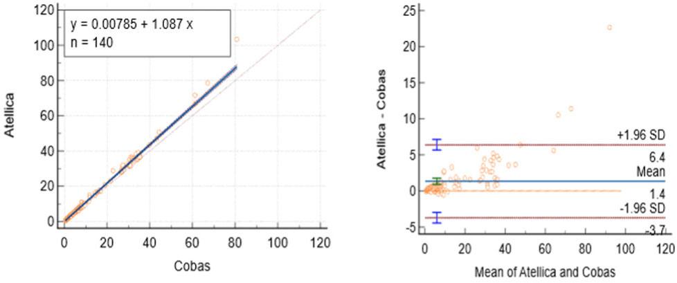
| Testosterone | 0.982 | −0.27 (−0.39 to −0.15) | 0.99 (0.97 to 1.02) | Minimal | p = 0.01 | Good agreement; non-linearity at low concentrations |