Nicotine polacrilex (CAS# 96055-45-7) is the salt of nicotine with the polymer Amberlite IRP64. Amberlite IRP64 is a copolymer of methacrylic acid and divinylbenzene (1). Nicotine polacrilex can be used as a source of nicotine in nicotine pouches and other oral nicotine delivery products such as lozenges, tablets, and gums (2, 3). Such consumer products deliver nicotine to the user by an aqueous extraction (saliva), and they typically contain other ingredients such as microcrystalline cellulose (MCC), maltitol, sweeteners, flavors, salts (such as Na2CO3, NaHCO3), water, etc. These ingredients make the analysis of the compound nicotine polacrilex by spectroscopic techniques (infrared (IR) or Raman) difficult. Also, since nicotine polacrilex is insoluble in common solvents, the analysis using solutions is not possible. For this reason, pyrolysis-gas chromatography / mass spectrometry (Py-GC/MS) was selected for the analysis of this compound in oral nicotine delivery products.
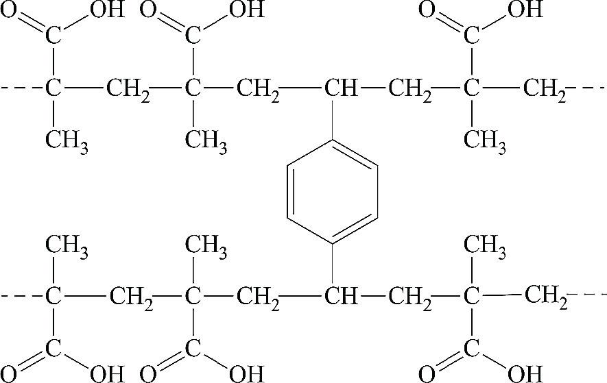
The formula of nicotine polacrilex (nicotine polyacrylate) can be described as [(C4H6O2) x (C10H10)y]C10H14N2, and the polymer Amberlite IRP64 can be described by the idealized formula:

In the making of the polymer, not only 1,4-divinylbenzene is used, but also 1,3-divinylbenzene and the structure is tridimensional. The analysis of only nicotine in nicotine polacrilex has been previously reported (4, 5), but no quantitation of nicotine polacrilex in consumer products for oral nicotine delivery could be found in the literature. The Py-GC/MS also allowed the evaluation of nicotine level in the samples, but a better precision and accuracy for nicotine measurement can be obtained using a high-performance liquid chromatography (HPLC) technique. This technique uses an extraction procedure recommended in the literature and an original HPLC measurement.
Nicotine polacrilex was obtained from Siegfried St. Vulbas SS (Saint-Vulbas, France). Nicotine, phenanthrene, methanol, ammonia, silica, and crystalline cellulose were obtained from Sigma Aldrich (Merck Group, Burlington MA, USA). For the quantitation, a set of four standards containing a known concentration of nicotine polacrilex was prepared. An experimental nicotine pouch was initially made that contained 11.45% nicotine polacrilex with other ingredients including water. This material was freeze dried and the final concentration of nicotine polacrilex was 17.67%. This material was taken as the first standard. From this standard, three more standards were obtained by solid-to-solid dilution with microcrystalline cellulose (MCC; Dupont, Endurance VE-090). For this purpose, 200 mg initial standard and 200 mg MCC were thoroughly mixed in an agate mortar to prepare a standard containing 8.83% nicotine polacrilex. The dilution process was repeated to obtain standards containing 4.42% and 2.21% nicotine polacrilex.
The standards or the samples to be pyrolyzed were prepared by mixing solid-to-solid 200 mg material (standard or content of an oral nicotine delivery product) with 200 mg of silica that contains phenanthrene. This was performed in an agate mortar assuring a thorough mixing. From each sample/silica mixture 2.5 mg material was precisely weighed in a pyrolysis autosampler quartz tube and submitted for analysis by Py-GC/MS. Phenanthrene was used as a chromatographic standard and the preparation of silica containing phenanthrene is further described.
The silica-containing phenanthrene was obtained from silica gel (Selecto Scientific, Atlanta, GA, USA) with particle size 100–200 μm, and 60 Å pore size. To 10 g silica was added 5 mL solution in carbon disulfide (CS2) containing 2.5 mg/mL phenanthrene. Additional 10 mL CS2 were placed over the silica, and the slurry was well homogenized as the CS2 was evaporating. A uniform distribution of phenanthrene on silica was achieved.
The pyrolyzer used in the study was a filament type Pyroprobe Model 5200 (with autosampler) (CDS Analytical, Oxford, PA, USA). Pyrolysis was performed in flash mode in helium and the pyrolysis temperature Teq = 590 °C. The total heating time was THt = 20 s, and heating rate β = 20 °C/ms. The pyrolysate was analyzed on-line using a GC/MS instrument, which was a 7890B/5977B GC/MS with a High Efficiency Source (HES) from Agilent (Wilmington, DE, USA). The GC/MS analysis of the pyrolysates was performed in conditions listed in Table 1 (6).
Parameters for the GC/MS on-line analysis of pyrolysates on a DB-1701 type column.
| Parameter | Description |
|---|---|
| GC column | DB-1701 |
| Column dimensions | 60 m long, 0.25 mm id. |
| Film thickness | 1.0 μm |
| Initial oven temperature | 37 °C |
| Initial time | 4.0 min |
| Oven ramp rate | 2 °C/min |
| Oven final first ramp | 60 °C |
| Final time first ramp | 0 min |
| Oven ramp rate | 5 °C/min |
| Oven final temperature | 280 °C |
| Final time | 20 min |
| Total run time | 75.5 min |
| Inlet temperature | 280 °C |
| Inlet mode | Split |
| Carrier gas | Helium |
| Flow mode | Constant flow |
| Flow rate | 1.1 mL/min |
| Nominal initial pressure | 17.5 psi |
| Split ratio | 70:1 |
| Split flow | 76.0 mL/min |
| GC outlet | MSD |
| Outlet pressure | Vacuum |
| MSD transfer line temperature | 280 °C |
| Ion source temperature | 230 °C |
| Quadrupole temperature | 150 °C |
| MSD EM offset | 250 V |
| MSD solvent delay | 2.0 min |
| MSD acquisition mode | TIC |
| Mass range | 29–550 a.u. |
The DB-1701 type column (Agilent/J&W Scientific, Wilmington, DE, USA) has medium polarity and separates well low molecular weight components of the pyrolysates. The selection of pyrolysis temperature Teq = 590 °C was made based on literature information (7) showing that polyacrylates are completely decomposed at a temperature of about 480 °C. Similar to the case of other polymers with a saturated backbone carbon chain, random cleavage of the C—C bonds takes place during pyrolysis. Following this cleavage and β-eliminations, small molecules such as methacrylic acid is generated, and from the divinylbenzene moiety of the Amberlite IRP64 are 1,4- and 1,3-ethylvinyl-benzene, 1,4- and 1,3-methylvinylbenzene as well as 1,4- and 1,3-diethylbenzene generated. Part of the methacrylic acid that can be formed by depolymerization can be decarboxylated by CO2 elimination. The hydrocarbons with aromatic rings and alkyl or alkenyl substituents are stable around 600 °C in particular for a very short residence time in a pyrolysis chamber (8).
The pyrograms (GC/MS chromatograms of pyrolysates) obtained at 590 °C of the material from a nicotine pouch are typically very complex, due to the pyrolysis products of MCC and of other ingredients such as maltitol.
However, the peak for the extracted ion m/z = 117 is characteristic in the mass spectrum of 1,3- and 1,4-ethyl-vinylbenzene and can be utilized for identification and quantitation of nicotine polacrilex. The window 30 min to 40 min for the extracted ion chromatogram for m/z = 117 from the pyrogram of a sample of nicotine pouches that contains nicotine polacrilex is shown in Figure 1.

Window 30 min to 40 min for the extracted ion chromatogram for m/z = 117 from the pyrogram of a sample of nicotine pouches that contains nicotine polacrilex.
Only background noise is generated in the corresponding retention time window for the extracted ion 117 from the pyrograms of nicotine pouches samples that do not contain nicotine polacrilex.
The presence of the peaks for the extracted ion m/z = 117 at the corresponding retention times can be considered characteristic for nicotine polacrilex.
The quantitation of nicotine polacrilex can be made by using the area of peak at 36.31 min from the extracted ion chromatogram of the ion with m/z = 117.
The calibration curve obtained with standards is quadratic, following the equation:

Peak areas of ion m/z = 178 eluting at 58.33 min corresponding to phenanthrene for several standards and samples.
The back calculation of the level of nicotine polacrilex in the standards showed an average error of 1.87%, with an error of about 0.2% for the highest standard, and about 4.3% for the lowest standard. The accuracy of the method can be also considered very good, the back calculation of the lowest standard showing a difference less than 2% from the expected level.
In addition to the evaluation of the nicotine polacrilex level based on the level of peak area in the pyrogram of ion with m/z = 117, the generated nicotine level can also be estimated. The window 40 min to 50 min for the extracted ion chromatogram for m/z =162 from the pyrogram of a sample of nicotine pouches that contains nicotine polacrilex is shown in Figure 3.

Window 40 min to 50 min for the extracted ion chromatogram for m/z = 162 from the pyrogram of a sample of nicotine pouches that contains nicotine polacrilex.
The calibration curve for the nicotine obtained from the same series of standards used for nicotine polacrilex generated a quadratic curve. The level of nicotine in the standards were 3.53%, 1.77%, 0.88%, and 0.44%.The calibration follows the equation:
However, for some standard samples the error was as low as 0.43% and for other standard samples as high as 11.86%. It was not possible to determine the cause of the larger errors.
The back calculated level of nicotine in the standards showed an average of 20.16% (very close to the expected theoretical 20% nicotine in nicotine polacrilex), but the lowest back calculated nicotine level was 16.74% and the highest 23.9%. This indicated a lower reliability in the measurement of nicotine level by the pyrolysis technique. An additional aspect related to nicotine measurement using pyrolysis data is the potential decomposition of part of the nicotine during pyrolysis. By pyrolysis at 900 °C, during flash pyrolysis (at heating rate = 20 °C/ms), only about 7% of nicotine suffer decomposition and the main decomposition products are myosmine, β-nicotyrine, and cotinine (9). Based on this information, the presence of these three compounds was verified in the pyrogram of nicotine polacrilex, although pyrolysis of this material was performed at a lower temperature (590 °C). Only β-nicotyrine at about 1–2% of the level of nicotine was detected in the pyrogram. This level is lower than the average error for measuring nicotine and it cannot be determined if β-nicotyrine was generated during pyrolysis or was present as an impurity in the nicotine used to make the nicotine polacrilex. The maximum ratio of nicotine to nicotine polacrilex is about 20%. The results of the measurement of the level of nicotine polacrilex and the results of the measurement of nicotine can provide information whether besides nicotine polacrilex other forms of nicotine were added to the analyzed material. If the ratio (nicotine)/(nicotine polacrilex) is higher than 20–23% by weight it is likely that other forms of nicotine were added.
Because the measurement of nicotine level from Py-GC/MS data showed a relatively large variability, an HPLC procedure based on a method recommended by U.S. Pharmacopeia (3) has been developed for nicotine measurement in oral nicotine delivery products. For this analysis, about 200 mg sample was weighed in a 20 mL scintillation vial, and the precise weight was recorded. To the sample were added 200 μL solution of concentrated NH4OH and 4.8 mL methanol, and the samples were extracted for 60 min on a wrist action shaker (Burrell Co., Pittsburgh, PA, USA). The extract was filtered through a 0.45 mm PVDF (polyvinylidene fluoride) filter (Whatman Autovial, Cytiva, Maidstone, UK) and analyzed by an HPLC procedure. The analysis was performed on a 1200 Ser. HPLC from Agilent (Wilmington, DE, USA), consisting of a solvent delivery system, quaternary pump, autosampler, column temperature controller, and variable wavelength detector.
The separation was performed in gradient conditions on a XTerra® RP 18,5 μm column, 150 × 4.6 mm (Waters, Milford, MA, USA). For the gradient, aqueous component A contained 0.024 M ammonium carbonate and was brought to pH = 9.7 with ammonium hydroxide, and organic component B was acetonitrile. The gradient started with 100% A for 2 min, was brought to 59% A at 10 min, kept at 59% A for 2 min, and returned to initial conditions at 14 min with a total run time of 15 min. The flow rate was 1 mL/min, detection was performed at 254 nm, and the injection volume was 5 μL. The temperature of the column was not controlled. For the quantitation, a set of 7 standards with concentrations between 8 μg/mL and 512 μg/mL nicotine was used. The calibration curve was linear with the equation:
Several types of samples were evaluated by the procedure previously described. This included several nicotine pouch samples with a known content of nicotine polacrilex and nicotine level, several samples of nicotine pouches commercially available, one tablet, one lozenge, and two gums.
The measured levels of nicotine polacrilex and of nicotine by the Py-GC/MS procedure, and of the ratios in nicotine pouch samples with known composition are shown in Table 2. The results from Table 2 indicated that the procedure for evaluating the level of nicotine polacrilex and that of nicotine using the Py-GC/MS technique provides reliable information regarding the presence of nicotine polacrilex in a nicotine pouch sample (the expected nicotine level was obtained using the HPLC method and the RSD% for the analyzed samples was below 4.5%). A number of commercially available nicotine pouches, a tablet, a lozenge, and two gums were also evaluated for the presence or absence of nicotine polacrilex and for the level of nicotine. The results for nicotine pouch samples commercially available are indicated in Table 3. Both the nicotine polacrilex and nicotine levels were obtained using the Py-GC/MS procedure. The results from Table 3 indicate that the use of nicotine polacrilex as a source of nicotine is common in nicotine pouches. Also, it showed for all tested samples that when nicotine polacrilex was used as a nicotine source, no other source of nicotine is used since the ratio (nicotine)/(nicotine polacrilex) was lower than 20–25%. The measurement of nicotine polacrilex was also assessed in one tablet, one lozenge, and two gums for proving the applicability of the procedure to these types of oral nicotine delivery products. The results from Table 4 indicate that some other oral nicotine delivery products use nicotine polacrilex as a source of nicotine, and the level of nicotine polacrilex could be determined by the same procedure as for nicotine pouches. In Gum 1 nicotine polacrilex was not detected.
Levels of % nicotine polacrilex, % nicotine, and of (nicotine)/(nicotine polacrilex) ratio % in several nicotine pouches samples with known composition.
| Sample | No. of replicates | Expected nicotine polacrilex (%) | Found nicotine polacrilex (%) | RSD% (of found) | Expected nicotine (%) (by HPLC) | Found nicotine (%) | Ratio (%) |
|---|---|---|---|---|---|---|---|
| Sample 1 | 6 | 9.72 | 8.92 | 1.61 | 1.94 | 1.70 | 19.09 |
| Sample 2 | 2 | 5.56 | 5.55 | 0.89 | 1.11 | 1.03 | 18.56 |
| Sample 3 | 3 | 5.56 | 5.13 | 2.34 | 1.11 | 0.98 | 19.10 |
| Sample 4 | 3 | 2.78 | 2.84 | 1.47 | 0.56 | 0.53 | 18.66 |
Levels of % nicotine polacrilex, % nicotine, and of (nicotine)/(nicotine polacrilex) ratio % in several commercially available nicotine pouches.
| Sample | No. of replicates | Found nicotine polacrilex (%) | RSD% | Found nicotine (%) | Ratio (%) |
|---|---|---|---|---|---|
| Sample 1 | 2 | 7.38 | 0.29 | 0.70 | 9.53 |
| Sample 2 | 4 | 8.59 | 1.24 | 0.80 | 9.30 |
| Sample 3 | 2 | 11.54 | 0.67 | 1.32 | 11.42 |
| Sample 4 | 1 | 11.8 | – | 1.17 | 9.91 |
| Sample 5 | 1 | 5.25 | – | 0.63 | 12.10 |
| Sample 6 | 1 | 5.11 | – | 0.59 | 11.45 |
| Sample 7 | 1 | 6.35 | – | 0.83 | 13.06 |
| Sample 8 | 1 | 3.70 | – | 0.66 | 17.81 |
| Sample 9 | 1 | 4.76 | – | 0.83 | 17.42 |
| Sample 10 | 1 | 6.70 | – | 0.97 | 14.47 |
| Sample 11 | 1 | 8.71 | – | 0.90 | 10.34 |
| Sample 12 | 2 | not detected | – | 1.28 | ∞ |
| Sample 13 | 1 | not detected | – | 2.37 | ∞ |
| Sample 14 | 1 | not detected | – | 1.73 | ∞ |
Levels of % nicotine polacrilex, % nicotine, and of (nicotine)/(nicotine polacrilex) ratio % in a tablet, a lozenge, and two gums.
| Sample | No. of replicates | Found nicotine polacrilex (%) | RSD% | Found nicotine (%) | Ratio (%) |
|---|---|---|---|---|---|
| Tablet | 2 | 10.51 | 0.24 | 0.96 | 9.13 |
| Lozenge | 2 | 4.16 | 0.74 | 0.38 | 9.13 |
| Gum 1 | 2 | not detected | – | 0.12 | ∞ |
| Gum 2 | 2 | 1.84 | 0.27 | 0.22 | 11.96 |
A procedure to identify the use of nicotine polacrilex in nicotine pouches and in other oral nicotine delivery products has been developed and successfully utilized for the identification of the presence or absence of this material as a nicotine source in several types of oral nicotine delivery products such as nicotine pouches, tablets, lozenges, and gums. The procedure also allows to establish if only nicotine polacrilex is used as a nicotine source, or other types of nicotine sources (nicotine or nicotine tartrate) are used in the samples.