Talent identification is discriminative, and measurements included in a test battery may not be indicative of future performance; however, tests must be able to distinguish between athletes with varying skill levels (Keller et al., 2018). A talent identification programme in soccer must take into account all of the factors that go into producing a successful soccer performance. Empirical evidence has demonstrated that physical, psychological, technical, and tactical skills should be considered when choosing talented players (Sarmento et al., 2018). While numerous studies have investigated the physical and technical abilities needed to play football at the top level (Forsman et al., 2016a; Keller et al., 2016), studies concerning tactical skills and their significance for the identification of talented players constitute a newer but growing field in South Africa.
The Tactical Skills Inventory for Sport (TACSIS), created by Elferink-Gemser et al. (2004), is one of the most widely used instruments to assess the tactical skills of young football players. The TACSIS consists of four subscales: Knowing about Ball Actions, Knowing about Others, Positioning and Deciding, and Acting in Changing Situations. It is argued that when evaluating the tactical skills required for expert sports performance, one should try to measure a player’s declarative knowledge – awareness of the right decision or action required in each situation – as well as their procedural knowledge, or the ability to carry out the action (Nortje et al., 2014). Thus, the knowledgeable player must also have a high level of technical competence in order to accomplish the planned tactical objective (Sanchez Mencia et al., 2024).
Research has evaluated the players of various skill levels and determined the tactical characteristics that best indicate players’ present proficiency level (Loffing et al., 2010; Sanchez Mencia et al., 2024). One earlier study using TACSIS was carried out by Kannekens et al. (2009), who considered the tactical skills and competitive levels of the Indonesian and Dutch national youth teams. The results showed that Dutch players performed better than Indonesian players on all four subscales. Another study by Kannekens et al. (2011) found that Positioning and Deciding seemed to best indicator of good performance in soccer. Forsman et al. (2016b) found that there was a strong relationship between overall tactical skills and perceived game competence skills such as Offensive Skills, 1v1 Skills, and Defensive Skills among Finnish soccer players.
While some studies have investigated the physical, psychological, and technical skills of South African youth soccer players (Asamoah & Grobbelaar, 2016; Ellapen et al., 2014; Monyeki et al., 2010), none have provided the necessary information on tactical skills that could aid in the identification and selection of talent. This information is valuable as it may offer evidence-based insights that enhance the performance, decision-making, and learning of youth soccer players. Such knowledge may play a vital role in youth players’ development and help them reach their maximum potential. Against this background, the purpose of the study was to examine tactical skills and perceived game-specific competencies among elite and non-elite youth soccer players and investigate the relationships between the two constructs. It was hypothesised that elite players would significantly outscore non-elite players on both tactical skills and perceived game-specific competence. It was also hypothesised that there would be strong associations between tactical skills and perceived game-specific competence among youth soccer players.
A convenience sample of 131 male youth soccer players (M age = 16.55 ± 1.33 years) representing three academies participated in the study. Participants came from the academy of a South African Premier Soccer League team that played in a structured league and were regarded as elite, as well as from teams that played in non-structured leagues and were regarded as non-elite. For each cohort, the number of participants and their level of soccer experience were as follows: elite (n = 38, 10 years) and non-elite (n = 93, 7 years).
The TACSIS consists of subscales of declarative and procedural knowledge and was used to assess the players’ tactical skills (Elferink-Gemser et al., 2004). The TACSIS has been previously used in a study within the South African context (Nortje et al., 2014). The subscales Knowing about Ball Actions and Knowing about Others contain four and five items, respectively, that are related to declarative knowledge. The scales Positioning and Deciding and Acting in Changing Situations consist of nine and four items, respectively, that assess procedural knowledge. The questions in the scales Knowing about Ball Actions and Positioning and Deciding concern offensive situations (in which the team possesses the ball), whereas the questions in the scales Knowing about Others and Acting in Changing Situations are related to defensive situations (in which the opposing team possesses the ball). Each item was anchored on a 6-point Likert scale ranging from 1 (very poor) to 6 (excellent) or from 1 (almost never) to 6 (always). The Cronbach’s alpha coefficients for Knowing about Ball Actions, Knowing about Others, Positioning and Deciding, and Acting in Changing Situations were 0.90, 0.89, 0.95, and 0.90, respectively.
The players’ game performance was evaluated using the Perceived Game-Specific Soccer Competence Scale (PGSSCS), an 18-item questionnaire consisting of three subscales: Offensive Skills (10 items), 1v1 Skills (5 items), and Defensive Skills (3 items). Each item was anchored on a 5-point Likert scale ranging from 1 (nearly never) to 5 (almost always) (Forsman et al., 2016c). The Cronbach’s alpha coefficient values for Offensive Skills, 1v1 Skills, and Defensive Skills were 0.96, 0.91, and 0.91, respectively.
Prior to data collection, ethical clearance was received from the Research Ethics Committee of the Tshwane University of Technology (Ref. No: REC/2021/02/001). All protocols adhered to the ethical guidelines outlined in the Declaration of Helsinki. The six selected soccer academies were contacted to obtain consent for players to participate in the study. Signed informed consent forms were requested from the parents or guardians of all participants. The participating children’s assent was also obtained. The participants were informed that their participation was voluntary and that they could withdraw from the study at any time without consequence. All players were given the same instructions on how to independently fill out the questionnaires.
Descriptive statistics such as means, standard deviations, frequency counts, and percentages were used to analyse the data. The Kolmogorov–Smirnov test confirmed that the data were normally distributed. An independent t-test was used to compare elite and non-elite players’ self-assessed tactical skills and perceived game competence subscales. Effect sizes (Cohen’s d) were calculated to determine the meaningfulness of the difference (Cohen, 1988). The effect sizes were categorised as 0.20, 0.50, and 0.80, representing small, moderate, and large effects, respectively. Thereafter, the Pearson correlation coefficient (r) was calculated to examine the relationships between players’ self-assessed tactical skills and perceived game competence subscales. Furthermore, hierarchical multiple regressions were conducted to examine whether tactical skills could predict perceived competence in soccer after controlling for competitive level, age, and playing experience. A significance level was set at 0.05. All data were analysed with the Statistical Package for the Social Sciences (SPSS version 28).
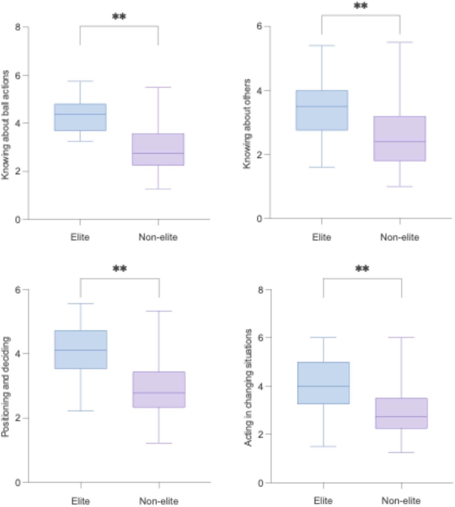
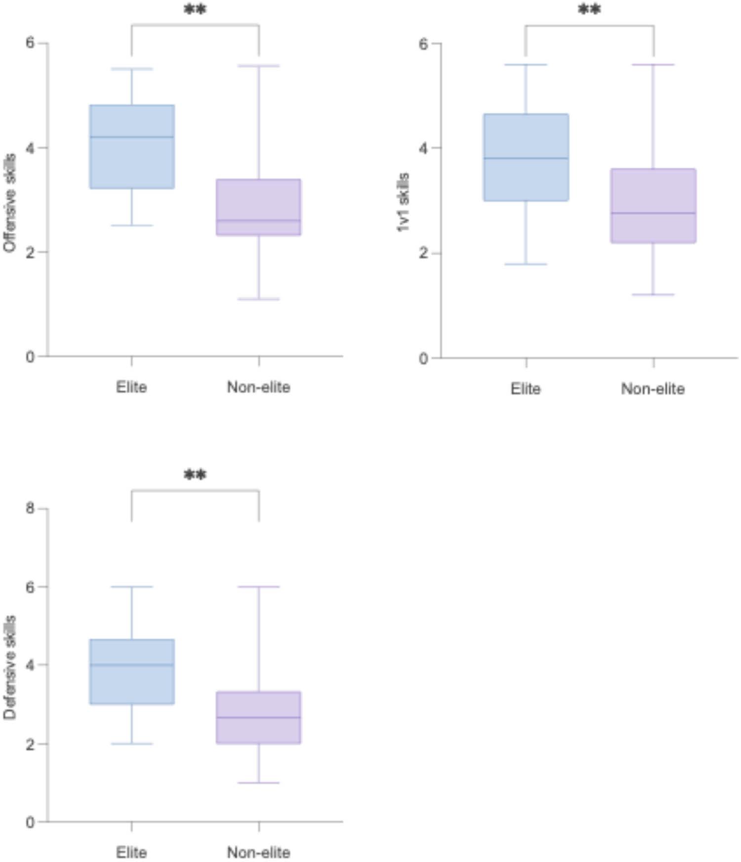
Missing values analysis revealed relatively small proportions of missing data. Little’s MCAR test was not significant, indicating that data were missing at random. Results show that elite players outscored non-elite players on all four tactical skills subscales: Knowing about Ball Actions (t (129) = 8.07; p = 0.0001; d = 1.66, large effect), Knowing about Others (t (129) = 4.49; p = 0.0001; d = 0.88, large effect), Positioning and Deciding (t (129) = 7.02; p = 0.0001; d = 1.35, large effect), and Acting in Changing Situations (t (129) = 6.36; p = 0.0001; d = 1.22, large effect; Figure 1). The elite players also scored higher on all three perceived game competence subscales than the non-elite players: Offensive Skills (t (129) = 7.06; p = 0.0001; d = 1.38), 1v1 Skills (t (129) = 5.20; p = 0.0001; d = 0.99, large effect), and Defensive Skills (t (129) = 4.99; p = 0.0001; d = 0.96, large effect). The differences in the means between elite and non-elite players were very large for all variables (Figure 2).

Tactical skills between elite and non-elite players (significant **p < 0.01)

Perceived game-specific competence between elite and non-elite players (significant at **p < 0.01)
The results show that Offensive Skills, 1v1 Skills, and Defensive Skills were significantly correlated with Positioning and Deciding (r = 0.865, p < 0.01; r = 0.747, p < 0.01; and r = 0.673, p < 0.01, respectively), Knowing about Ball Actions (r = 0.821, p < 0.01; r = 0.698, p < 0.01; and r = 0.564, p < 0.01, respectively), Acting in Changing Situations (r = 0.754, p < 0.01; r = 0.673, p < 0.01; and r = 0.723, p < 0.01, respectively), and Knowing about Others (r = 0.732, p < 0.01; r = 0.658, p < 0.01; and r = 0.593, p < 0.01, respectively; Table 1).
Correlation coefficients of the study variables
| 1 | 2 | 3 | 4 | 5 | 6 | 7 | 8 | 9 | 10 | |
|---|---|---|---|---|---|---|---|---|---|---|
| 1. Competitive level | — | 0.116 | −0.341** | −0.579** | −0.368** | −0.526** | −0.488** | −0.528** | −0.416** | −0.403** |
| 2. Age | — | 0.247** | 0.065 | 0.066 | 0.071 | 0.033 | 0.103 | 0.082 | 0.200* | |
| 3. Playing experience | − | 0.356** | 0.292** | 0.341** | 0.287** | 0.320** | 0.265** | 0.372** | ||
| 4. Knowing about ball actions | — | 0.772** | 0.826** | 0.667** | 0.821** | 0.698** | 0.564** | |||
| 5. Knowing about others | — | 0.783** | 0.650** | 0.732** | 0.658** | 0.593** | ||||
| 6. Positioning and deciding | — | 0.802** | 0.865** | 0.747** | 0.673** | |||||
| 7. Acting in changing situations | — | 0.754** | 0.673** | 0.723** | ||||||
| 8. Offensive skills | — | 0.869** | 0.725** | |||||||
| 9. 1v1 skills | — | 0.704** | ||||||||
| 10. Defensive skills | . | — |
**p < 0.01, *p < 0.05.
Hierarchical multiple regressions were conducted to examine whether tactical skills could predict perceived competence in soccer after controlling for competitive level, age, and playing experience (Table 2). For each variable examined, the assumption of no multicollinearity was met (VIF values <10 and Tolerance >0.1). In the first hierarchical multiple regression, competitive level was the only significant predictor of Offensive Skills in step 1 (β = −0.50, t (123) = 6.05, p < 0.01). The step 1 model was significant (F (3, 123) = 18.27; p < 0.01) and accounted for 31% of the variance in Offensive Skills. In step 2, the addition of four tactical skills explained a further 49% of the variance (R-squared change = 0.49; F change(4, 119) = 70.50; p < 0.01) in Offensive Skills. The full model explained 80% of the total variance (F (7, 119) = 65.81, p < 0.01). In the final model, only three variables were significant predictors of Offensive Skills, with Positioning and Deciding resulting in the highest beta value (β = 0.43, t (123) = 4.40; p < 0.01) compared to Knowing about Ball Actions (β = 0.31, t (123) = 3.67, p < 0.01) and Acting in Changing Situations (β = 0.15; t (123) = 1.95; p < 0.05).
Tactical skills predicting perceived competence among youth soccer players
| Offensive skills | 1v1 skills | Defensive skills | |||||||
|---|---|---|---|---|---|---|---|---|---|
| B | SE B | β | B | SE B | β | B | SE B | β | |
| Step 1 | |||||||||
| Competitive level | −1.17 | 0.19 | −0.49** | −0.91 | 0.21 | −0.38** | −0.87 | 0.21 | −0.35** |
| Age | 0.10 | 0.06 | 0.12 | 0.08 | 0.07 | 0.09 | 0.16 | 0.07 | 0.19* |
| Playing experience | 0.04 | 0.03 | 0.12 | 0.04 | 0.03 | 0.11 | 0.07 | 0.03 | 0.20* |
| Step 2 | |||||||||
| Competitive level | −0.10 | 0.04 | −0.04 | 0.18 | 0.01 | 0.18 | −0.15 | 0.19 | −0.06 |
| Age | 0.04 | 0.02 | 0.06 | 0.05 | 0.04 | 0.05 | 0.13 | 0.05 | 0.15* |
| Playing experience | −0.01 | 0.08 | −0.02 | 0.02 | −0.02 | 0.02 | 0.04 | 0.02 | 0.10 |
| Knowing about ball actions | 0.31 | 0.07 | 0.31** | 0.12 | 0.22 | 0.12 | −0.09 | 0.12 | −0.09 |
| Knowing about others | 0.04 | 0.10 | 0.04 | 0.11 | 0.11 | 0.11 | 0.19 | 0.11 | 0.18 |
| Positioning and deciding | 0.46 | 0.06 | 0.43** | 0.15 | 0.33 | 0.15* | 0.14 | 0.15 | 0.13 |
| Acting in changing situations | 0.15 | 0.13 | 0.16* | 0.09 | 0.20 | 0.09* | 0.48 | 0.09 | 0.50** |
B = unstandardised coefficient; SE B = standard error; β = standardised beta. *p < 0.05. **p < 0.01.
In the second hierarchical regression analysis, competitive level (β = −0.38; t (123) = −4.34; p < 0.01) was a significant predictor of 1v1 Skills in step 1, and the model was significant (F (3, 123) = 9.86; p < 0.01), accounting for 19% of the variance. The addition of four tactical skills in step 2 explained an additional 40% of the variance in 1v1 Skills (R-squared change = 0.40; F change(4, 119) = 29.46; p < 0.01). The total variance explained by the model was 59% (F (7, 119) = 24.98; p < 0.01). Two variables were significant predictors of 1v1 Skills in the final model, with Positioning and Deciding resulting in a higher beta value (β = 0.15; t (123) = 2.41; p < 0.05) than Acting in Changing Situations (β = 0.09; t (123) = 2.09; p < 0.05).
Competitive level (β = −0.35; t (123) = −4.15; p < 0.01), age (β = 0.19; t (123) = 2.27; p < 0.05) and playing experience (β = 0.20; t (123) = 2.35; p < 0.05) significantly predicted Defensive Skills in step 1 in the third hierarchical regression analysis. The model in step 1 was significant (F (3, 123) = 13.93; p < 0.01), explaining 25% of the variance in Defensive Skills. The addition of four tactical skills in step 2 explained a significant 35% of the variance in Defensive Skills (R-squared change = 0.35; F change(4, 119) = 25.66; p < 0.01). The overall model was significant (F (7, 119) = 25.42; p < 0.01), accounting for 60% of the total variance in Defensive Skills. Age and Acting in Changing Situations were significant predictors of Defensive Skills in the final model; however, Acting in Changing Situations resulted in a higher beta value (β = 0.50; t (123) = 5.14; p < 0.01).
The purpose of the study was to examine tactical skills and perceived game-specific competencies among elite and non-elite youth soccer players and investigate the relationships between the two constructs. The results showed that elite players scored significantly higher than non-elite players in all four tactical skills: Knowing about Ball Actions, Knowing about Others, Positioning and Deciding, and Acting in Changing Situations. These findings echo those of a previous study of team invasion sports in which Dutch elite field hockey players achieved higher scores in all four tactical skills than their non-elite counterparts (Elferink-Gemser et al., 2010). The authors reported that elite players appear to read the game well, have a better understanding of how to create open spaces during a game, and make good decisions about preceding actions during games.
The difference in performance between elite and non-elite players in this study might be attributed to a number of factors. First, elite players possess more developed tactical abilities as a result of a pattern of play that is more defined than that of non-elite players (Sanchez Mencia et al., 2024). The elite players in this study participated in a competitive league, which may have facilitated the development of complex tactical skills in addition to sound physiological and technical skills that are unique to soccer (Kannekens et al., 2009). They could also have benefited from the availability of sophisticated resources, better training methods, and coaching from highly skilled personnel. In contrast, it can be inferred that non-elite players’ lack of participation in structured and competitive leagues may have contributed to their weaker performance across all tactical skills.
Second, elite and nonelite players have different levels of experience playing organised soccer. The elite players in this study had spent an average of 10 years playing soccer, compared to the 7-year average playing time among non-elite players. This research is comparable to that of Kannekens et al. (2009), who discovered that Indonesian players with an average playing experience of 12 years did not perform as well on any tactical skill as Dutch players who had 14 years of experience playing organised football. Our results lend credence to the deliberate practice theory (Ericsson, 1996), which postulates that discrepancies between players and competitive standards can mostly be ascribed to accumulated practice. According to this theory, the major distinction between players at various performance levels is the difference in their accumulated practice, with expert performance resulting from countless hours of focused practice (Ericsson, 2002, 2003; Elferink-Gemser et al., 2010). Thus, committing to significant focused practice time can help players strengthen their tactical skills.
This study also examined the perceived competence of youth soccer players. Although the mean values for players’ perceived competence were high overall, the elite players significantly outperformed non-elite players in all three skill categories (Offensive Skills, 1v1 Skills, and Defensive Skills). A plausible explanation for this finding is that elite players benefited from high-quality training that could have increased their tactical competence. In assessing the relationship between tactical skills and perceived game-specific competence, significant associations were found between tactical skills and perceived competence. This might be explained by the fact that TACSIS, which was employed in this study to evaluate the players’ tactical skills, contains elements pertaining to tactical skills in both offensive and defensive game situations. The PGSSCS also includes offensive and defensive components, supporting the criterion validity of the TACSIS (Forsman et al., 2016c).
The present study has a few limitations to consider when interpreting the findings. First, the sample was not evenly distributed, which made it difficult to draw a definitive conclusion on the differences between elite and non-elite athletes. Second, the study employed a self-reported questionnaire rather than an objective measure, which may have led to participant bias in their responses. Finally, the cross-sectional approach precludes causal inferences, providing a snapshot of the results. Therefore, future research should use a longitudinal design and objective assessments, increasing the sample size to obtain an equal number of participants in order to draw firm conclusions on the tactical skills and perceived competence skills of soccer players.
This study has found that elite players significantly outperformed non-elite players with regard to both declarative and procedural knowledge as well as perceived game-specific competence. Furthermore, strong relationships between the level of tactical skills and perceived game-specific competence skills were revealed. Given the significant difference between elite and non-elite players, it is critical that soccer coaches, especially at the non-elite level, continue to hone players’ decision-making abilities and focus on developing the tactical knowledge necessary to prepare them for the elite environment.
The authors confirm that no external funding was received for this study.
Conceptualization, P.M. and A.K.; methodology, P.M. and A.K.; software, A.K.; formal analysis, P.M. and A.K.; investigation, P.M.; data curation, A.K.; witing - original draft preparation, P.M.; writing - review and editing, A.K.; visualization, A.K.; supervision, A.K.; project administration., P.M. All authors have read and agreed to the published version of the manuscript.
Authors state no conflict of interest.
The data supporting the findings of this study are available from the corresponding author upon reasonable request.