An orthodontic malocclusion is a prevalent problem that impacts the quality of life of affected people.1 Malaligned teeth and unbalanced jaw growth not only create a negative effect on facial and smile aesthetics, but also may impair oral function. A class II malocclusion is a common skeletal abnormality and the aim of orthodontic management is to provide maximum facial aesthetics, a harmonious profile and an acceptable occlusion. It has been demonstrated that the small size or retrognathic position of the mandible is the primary reason for a class II malocclusion,2–4 whereas maxillary prominence occasionally contributes to a class II discrepancy either alone or in combination with mandibular retrusion.5,6 A correct diagnosis of mandibular against maxillary involvement in class II patients is valuable to direct treatment decisions to the jaw at fault, and therefore provide a greater aesthetic outcome for the patient.
The diagnostic differentiation of sagittal skeletal discrepancies in growing children is based on cephalometric and clinical assessments.7 A cephalometric analysis employs linear and angular measurements to identify the aetiology of a malocclusion; however, the use of cephalometry is associated with limitations in the decision making process.8–11 The SNA and SNB angles of the Steiner analysis have been traditionally used to indicate the antero-posterior position of the maxilla and mandible to the cranial base but the values of these angles are influenced by the steepness of the SN line.12,13 The use of linear measurements is associated with large individual variations in age, gender and race.4 Occasionally, the cephalometric evaluation is not compatible with the clinical findings or produces confusing results when different analyses are compared in the same patient.14 In addition, the lateral cephalogram is generally not available at the first clinical examination and therefore, the presence of clinical indices to detect an underlying skeletal aetiology of a malocclusion, is valuable.
Several clinical indices have been proposed to aid in the class II diagnostic process. As an example, the forward projection of the upper philtrum has been suggested as an indicator of maxillary protrusion, whereas the backward projection of the lower lip may reveal mandibular retrusion.7,15 However, lip position is largely influenced by the position and inclination of the anterior teeth.15 An alteration in facial profile is a beneficial diagnostic adjunct in subjects presenting with a class II malocclusion, and can be aesthetically evaluated by performing the Fränkel manoeuvre.7 The Fränkel manoeuvre is a clinical procedure in which the lower jaw of a class II subject is advanced to a forward position, so that the molar and canine teeth achieve a class I relationship.7 It is believed that this manoeuvre generates useful information regarding the components of a skeletal class II discrepancy. The aesthetic improvement in the facial profile after executing the Fränkel manoeuvre indicates a mandibular contribution to a class II malocclusion, whereas a worsening of the profile, highlighted by a bimaxillary protrusive appearance, represents maxillary or maxillary plus mandibular involvement.
There are few studies which have focused on the Fränkel manoeuvre in class II individuals. Furthermore, the ability of the manoeuvre to distinguish the components of a class II malocclusion and its consistency with cephalometric results has not been investigated. Previous studies have generally evaluated the effect of fixed and removable functional appliances on dentoalveolar, skeletal and soft tissue characteristics of class II subjects,1,16–25 whereas little information is available on the accuracy of diagnostic tools applicable to clinical practice. The present study aimed to evaluate the ability of the Fränkel manoeuvre to detect the contributing jaw in subjects presenting with a class II sagittal discrepancy.
The sample of this cross-sectional study was comprised of 37 subjects who presented with a class II division I malocclusion. The patients comprised 12 males and 25 females with a mean age of 10 years and 8 months (age range 9-13 years). The inclusion criteria identified subjects who showed a class II malocclusion defined by at least an end-to-end molar relationship and an overjet greater than 6 mm. The exclusion criteria removed subjects who had congenital syndromes, asymmetric facial growth and previous orthodontic treatment. The study protocol was reviewed and approved by the ethics committee of Mashhad University of Medical Sciences (IR.Mums.REC.1394.163) and complied with the principles of the Declaration of Helsinki. The procedure was thoroughly explained to the patients and their parents and informed consent was obtained prior to commencement.
Two lateral profile images acquired in natural head position were recorded from each patient (NHP) to evaluate the sagittal jaw discrepancy based on an aesthetic assessment. To gain NHP, the patient was asked to look at his/her eyes in a mirror and move the head slightly up and down before stabilising the head in the most comfortable position. With a gray background to reduce shadows, photographs were taken from the right profile view. The first photograph was taken in centric relation (CR) with the mandible positioned in its most retruded position, and the second image was taken after executing the Fränkel manoeuvre. To perform the test, the patient was asked to posture the mandible forward until a class I canine and molar relationship was obtained, and then bring the lips together in light contact. The photographs were taken using an Olympus digital camera (model SP-500UZ; Tokyo, Japan) following which, the images were printed in 10 × 15 cm size and inserted into an album.
Standard lateral cephalograms were taken of the patients in centric relation (CR) and in NHP position. The cephalograms were traced on acetate paper and the landmarks were determined by one investigator and verified by a second. In the case of a disagreement in landmark position, the investigators conferred until mutual agreement was reached. All cephalograms were digitized and the cephalometric indices were measured using Dolphin software (Dolphin Imaging system 11.0, Chatsworth, CA). The Steiner and McNamara analyses were applied to identify the jaw contributing to the class II discrepancy. If the angle between SN and FH planes was 5° to 7°, the sella-nasion-A point (SNA) and sella-nasion-B point (SNB) angles were used to identify the contributing jaw. The mandible was considered deficient if the SNB angle was ≤ 76° and SNA was in the normal range (80° ≤ SNA ≤ 82°), whereas the presence of SNA ≥ 83° indicated that the maxilla was in a forward position. In cases in which the difference between the SN and FH planes was outside the range of 5° to 7°, the McNamara analysis was employed and the distance between A point to N-perpendicular line and pogonion to N-perpendicular line was measured. If the distance between the A point to N-perpendicular line was greater than 1 mm, the diagnosis of maxillary protrusion was confirmed, and if pogonion was more than 8 mm behind the N-perpendicular line, the lower jaw was deemed to be retrusive.
The cephalometric analysis was considered as the reference standard in the present study to determine the mandibular and maxillary contribution to the class II malocclusion.
The lateral photographs were shown to two groups of judges who included 20 general dentists and 20 orthodontists. The number, age, gender and clinical experience of the judges were matched to minimize the possible effect of interruptive factors. An album containing 74 images (size: 10 × 15 cm) was presented to each examiner. The two profile photographs of each patient were placed on opposite pages in the album to enable a better comparison. The judges were asked to determine the level of profile aesthetics of the patients before (T0) and after (T1) the Fränkel manoeuvre on a visual analogue scale (VAS). This scale consisted of a 100-mm line with the left side (0) showing the poorest aesthetics and the right side (100) indicating the greatest level of aesthetics. The judges assessed the images in a quiet room and had no time limit to conduct the evaluation.
The raters provided the VAS scores for each image in centric relation (T0) which was subtracted from those taken after executing the manoeuvre (T1) to determine a final score describing “profile improvement” (profile improvement score = T1 score minus T0 score). Figures 1 and 2 illustrate the images taken before and after conducting the manoeuvre.
Figure 1.
The improvement of the facial profile in a class II subject, as judged by orthodontists. (A) Lateral view in centric relation, (B) Lateral view after executing the Fränkel manoeuvre.

Figure 2.
The worsening of the facial profile (bi-maxillary protruded appearance) in a class II subject, as judged by orthodontists. (A) Lateral view in centric relation, (B) Lateral view after executing the Fränkel manoeuvre.

The data obtained from each group of judges (general dentists and orthodontists) were analysed separately. The consistency of scoring made by different judges in each group was determined by the intra-class correlation coefficient (ICC).
Student’s t test was applied to detect any significant difference in improvement scores between the subjects showing one-jaw (mandibular retrusion) and those with two-jaw (mandibular retrusion plus maxillary protrusion) involvement.
The diagnostic ability of the Fränkel manoeuvre was calculated against the lateral cephalometry, as the reference standard. The receiver operative characteristics (ROC) analysis was performed by plotting sensitivity against 1-specificity for the different ‘cut-off’ values of aesthetic profile improvement. The best ‘cut-off value’ with the maximum sum of sensitivity and specificity was considered to differentiate between one-jaw or two-jaw involvement in the skeletal class II patients. The area under the curve was calculated to assess the diagnostic ability of the Fränkel manoeuvre, as determined by each group of judges. The statistical analysis was performed using SPSS (Statistical package for the Social Sciences, version 16.0; SPSS Inc., Chicago, Il, USA) software, and a p-value < 0.05 was considered statistically significant.
The cephalometric analysis revealed that, of the 37 participants, 26 subjects (70.3%) had mandibular retrusion and the remaining 11 (29.7%) showed mandibular retrusion combined with maxillary prominence.
The initial ICC value of the 20 general dentists was 0.769. Further analysis of the data revealed that the scores provided by two general dentists had a low correlation compared with the others. These data were eliminated and the ICC value for the remaining dentists was 0.826, indicating good assessment agreement.
The mean score of profile improvement was approximately 13.3 in subjects with mandibular retrusion and 5.3 in those with combined mandibular retrusion and maxillary prognathism. Student’s t test revealed that the improvement score after executing the manoeuvre was significantly greater in subjects showing one-jaw involvement than those with two-jaw involvement (P = 0.046; Table I).
The mean and standard deviation (SD) of improvement scores after executing the Fränkel manoeuvre in class II subjects with different etiologies, according to the judgment of general dentists.
| Group | Mean | SD |
|---|---|---|
| Mandibular retrusion | 13.29 | 10.61 |
| Mandibular retrusion plus maxillary excess | 5.28 | 16.76 |
| Statistical significance | P = 0.046 | |
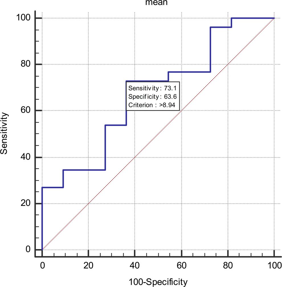
The ROC analysis (Fig. 3) revealed that, according to the judgment of general dentists, if the improvement score was ≥ 9 (the best cut-off value), the class II malocclusion resulted from mandibular retrusion, but if the score of profile improvement was < 9, the class II malocclusion was due to maxillary prognathism plus mandibular retrusion. The power of this prediction, coincident with the area beneath the ROC curve, was equal to 0.678.
Figure 3.
The receiver operative characteristics (ROC) curve showing the diagnostic ability of the Fränkel manoeuvre for determining the offending jaw in class II subjects, according to the judgment of general dentists.

Table II presents the prevalence of subjects with an improvement score greater or lower than 9 in the groups of class II subjects. From the 26 subjects identified with a mandibular deficiency, 19 showed an improvement score ≥ 9, whereas from the 11 patients with a level of maxillary protrusion, 7 showed an improvement score < 9 (Table II). The sensitivity and specificity of the Fränkel manoeuvre in detecting one-jaw against two-jaw involvement were 73% and 64%, respectively, according to the assessment by general dentists.
The frequency of subjects with an improvement score greater or lower than 9 (cut-off point) in different groups of class II subjects, according to the judgment of general dentists.
| Group | Improvement score ≥ 9 | Improvement score < 9 | Total |
|---|---|---|---|
| Mandibular retrusion | 19 | 7 | 26 |
| Mandibular retrusion plus maxillary excess | 4 | 7 | 11 |
| Total | 23 | 14 | 37 |
The ICC value of the 20 orthodontists was 0.866, representing a good inter-observer reliability in scoring the outcome of the Fränkel manoeuvre.
The mean score of profile improvement was approximately 23.9 in subjects with mandibular retrusion and 7.2 in those with combined mandibular retrusion and maxillary prognathism. Student’s t test demonstrated that the improvement score after executing the manoeuvre was significantly greater in subjects showing one-jaw involvement than those with two-jaw involvement (P < 0.001; Table III).
The mean and standard deviation (SD) of improvement scores after executing the Fränkel manoeuvre in class II subjects with different etiologies, according to the judgment of orthodontists.
| Group | Mean | SD |
|---|---|---|
| Mandibular retrusion | 23.89 | 9.95 |
| Mandibular retrusion plus maxillary excess | 7.16 | 18.84 |
| Statistical significance | P-value < 0.001 | |
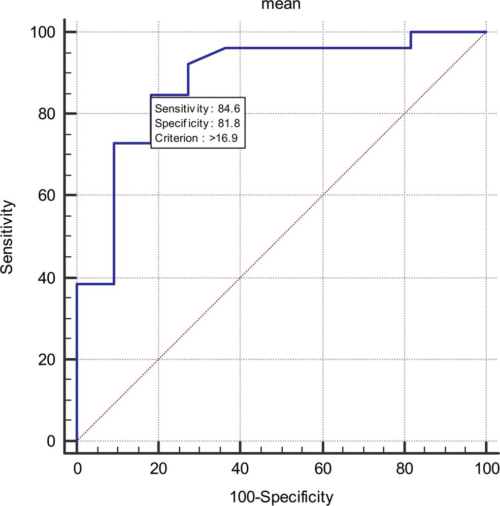
The ROC analysis (Fig. 4) revealed that, according to the judgment of orthodontists, if the improvement score after executing the Fränkel manoeuvre was ≥ 17 (the best cut-off value), the class II malocclusion resulted from mandibular retrusion, and if the score of profile improvement was < 17, both mandibular retrusion and maxillary protrusion were involved. The power of this prediction, coincident with the area under the curve, was equal to 0.883.
Figure 4.
The receiver operative characteristics (ROC) curve showing the diagnostic ability of the Fränkel manoeuvre for determining the offending jaw in class II subjects, according to the judgment of orthodontists.

Table IV indicates the number of subjects with an improvement score greater or lower than 17 in the groups of class II subjects. From the 26 subjects with mandibular retrusion, 22 showed an improvement score ≥ 17, and from the 11 subjects with two-jaw involvement, 9 showed an improvement score < 17 (Table IV). The sensitivity and specificity of the manoeuvre in detecting one-jaw against two-jaw involvement were 85% and 82%, respectively, according to the judgment of orthodontists.
The frequency of subjects with an improvement score greater or lower than 17 (cut-off point) in different groups of class II subjects, according to the judgment of orthodontists.
| Group | Improvement score ≥ 17 | Improvement score < 17 | Total |
|---|---|---|---|
| Mandibular retrusion | 22 | 4 | 26 |
| Mandibular retrusion plus maxillary excess | 2 | 9 | 11 |
| Total | 24 | 13 | 37 |
The present study evaluated the performance of the Fränkel manoeuvre in identifying maxillary versus mandibular contribution to a class II malocclusion, as compared with lateral cephalometry (the reference standard). The Steiner and McNamara analyses were applied in the detection of the contributing jaw. A greater percentage of the sample (more than 70%) consisted of subjects with just mandibular deficiency, whereas maxillary protrusion contributed to a class II malocclusion in approximately 30% of the participants. This can be favourably compared with the normal distribution of class II individuals in the population.26 The opinion of dentists and orthodontists concerning the influence of the Fränkel manoeuvre on facial aesthetics was determined. The intra-class correlation coefficient (ICC) indicated the strength of the judges’ agreement within the same group. There was a good correlation in the measurements produced by the orthodontists, but the data obtained from two general dentists were not consistent with their group, which resulted in these values being removed to achieve acceptable agreement in scoring.
According to the outcomes of the present study, most patients presenting with mandibular retrusion showed great improvement in their facial profile after performing the Fränkel manoeuvre and relating the canine teeth into a class I relationship. The mean improvement score after executing the test was significantly greater in class II subjects with one-jaw (mandibular) than those with two-jaw (maxillary and mandibular) involvement, either judged by general dentists (13.3 mm versus 5.3 mm) or by orthodontists (23.9 mm versus 7.2 mm). Therefore, the Fränkel manoeuvre is associated with a more harmonious facial profile and significantly improved aesthetics in patients with a retrognathic mandible and a normally positioned maxilla. However, those subjects who had simultaneous maxillary protrusion and mandibular retrusion showed significantly lower profile improvement scores after performing the Fränkel manoeuvre, and the observation of negative improvement scores was frequent in these patients. This could be related to the generation of a bimaxillary protrusive appearance when the mandible adapted to a protrusive upper jaw, and led to a deterioration of the facial profile.7
The present study is the first to use the ROC curve to determine the performance of the Fränkel manoeuvre in the diagnosis of the contributing jaw in class II patients. ROC is a valuable statistical method for assessing the performance and accuracy of diagnostic tests and is generally used in medicine and health science research. ROC methodology has been commonly employed in dentistry to evaluate the ability of various types of radiographs to determine the presence of dental caries, periodontal disease or a malocclusion.14,27
A cut-off point in this study demonstrates the value of an improvement score after executing the Fränkel manoeuvre in which the diagnosis of two-jaw involvement changed to mandibular involvement alone. It was found that the best cut-off point was 9 for general dentists and 17 for orthodontists. This implies that if the improvement score was ≥ 9 as assessed by dentists, or ≥ 17 as judged by orthodontists, the class II discrepancy resulted solely from mandibular retrusion. The correspondingly lower values demonstrated that maxillary prognathism was involved in the class II discrepancy. The greater cut-off point obtained by orthodontists than by general dentists represented a greater perception of improvement after performing the manoeuvre in subjects with a mandibular deficiency, possibly due to the greater training and the application of this test by orthodontists in clinical practice.
The sensitivity and specificity of the Fränkel manoeuvre for detecting one-jaw against two-jaw involvement were 73% and 64% according to the opinion of general dentists, and 85% and 82% according to the judgement of orthodontists. The surface area under the ROC curve was 0.678 for general dentists and 0.883 for orthodontists. By considering the surface area under the graph, it appeared that the manoeuvre was not a perfect, but a useful tool, for diagnosing one-jaw against two-jaw involvement, because a perfect test should occupy the entire ROC curve and shift completely into the top left corner of the graph.14 Furthermore, it was obvious that the Fränkel manoeuvre was more accurate in diagnosing jaw involvement when applied by orthodontists than by general dentists, as demonstrated by the greater area under the curve. Therefore, the use of this test by orthodontists would be associated with greater success in distinguishing maxillary against mandibular involvement, compared with general dentists.
There are few studies regarding the application of the Fränkel manoeuvre in diagnosing class II patients. Martina et al.7 assessed the intra-observer and inter-observer reproducibility of the manoeuvre in detecting sagittal skeletal discrepancies in class II individuals and assessed whether the amount of clinical experience affected reproducibility. Six orthodontists were asked to assess images of 100 class II individuals, and subsequently determine whether the facial profile improved or worsened following the Fränkel manoeuvre. The test was repeated after a 2-week interval. The results demonstrated that the assessment of the manoeuvre was substantially reproducible and was not affected by the level of clinical experience.7 Rongo et al.28 compared evaluation reproducibility of the Fränkel manoeuvre on three-dimensional (3D) facial scans and two-dimensional images, and found that the manoeuvre was less reproducible when conducted on 3D records.
Traditionally, the Angle paradigm relying on a hard tissue relationship was considered as the basis for orthodontic diagnosis and treatment planning, and the judgment of clinicians was mainly confirmed by a cephalometric analysis. Recently, a soft tissue paradigm has emerged and the influence of lateral cephalometry is decreasing. In this modern biological paradigm, the aesthetic concerns are paramount and the orthodontist should plan for the most beneficial occlusal and facial outcomes for the patient.29 Therefore, the use of clinical indices such as the Fränkel manoeuvre would be more valuable in assessing soft tissue function and choosing the appropriate treatment option. The Fränkel manoeuvre is a simple, applicable and accurate clinical tool in diagnosing components of a class II malocclusion by predicting the treatment results on the facial profile. The test may be used as an alternative to cephalometric analysis in situations in which cephalograms have not yet been taken, or provide confusing results that are not consistent with the clinical examination.
The limitations of the present study were the small sample size and the lack of access to a precise validation tool for comparing the results of the Fränkel manoeuvre in detecting the contributing jaw in class II individuals.
According to the judgement of general dentists and orthodontists, the improvement in facial profile after performing the Fränkel manoeuvre was significantly greater in subjects presenting with one-jaw involvement (mandibular retrusion) compared to those with two-jaw involvement (mandibular retrusion plus maxillary excess).
If the improvement score after executing the manoeuvre was ≥ 9 as assessed by dentists, or ≥ 17 as judged by orthodontists, the class II discrepancy was due to mandibular retrusion. The correspondingly lower values demonstrated that maxillary prognathism contributed to the class II discrepancy.
The sensitivity and specificity of the Fränkel manoeuvre in detecting one-jaw versus two-jaw involvement were 73% and 64% according to the opinion of general dentists, and 85% and 82% according to the judgment of orthodontists. Therefore, the manoeuvre was more accurate in diagnosing jaw involvement when applied by orthodontists than by general dentists
The Fränkel manoeuvre was an effective clinical method for diagnosing the contributing jaw in subjects presenting with a skeletal class II discrepancy.