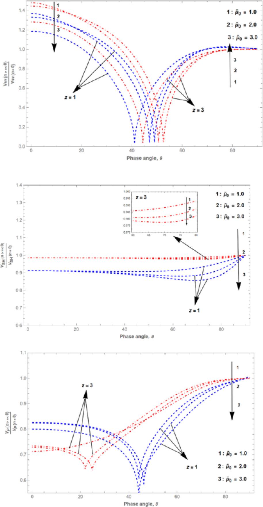
Fig. 1.

Fig. 2.

Fig. 3.

Inhomogeneity table
| 1 | E = E0eaz, a: Inhomogeneity parameter | Wang et. al 2010 |
| 2 | E = E0(a + bz)c, a, b, and c: Inhomogeneity parameters | Wang et. al 2012 |
| 3 | E = E0ensinz, where a, b, and c: Inhomogeneity parameters | Vishwakarma and Panigrahi 2021 |
| 4 | E = E0e(1 + δz)neβz, δ, β, and n: Inhomogeneity parameters | Kaur and Vishwakarma 2020 |
| 5 | E = E0(a – cos γ z)eβz, γ, β: Inhomogeneity parameters | Kaur and Vishwakarma 2020 |