Figure 1

Figure 2

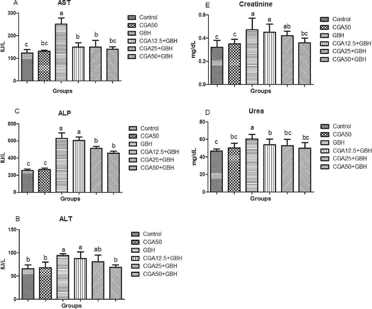
Figure 3

Erythrocyte, brain, heart, liver, and kidney tissue SOD activity in Wistar rats treated with CGA and/or GBH by gavage for 49 days
| Groups | Erythrocyte (U/gHb) | Brain (U/g protein) | Heart (U/g protein) | Liver (U/g protein) | Kidney (U/g protein) |
|---|---|---|---|---|---|
| Control | 17.55±2.44a | 1.43±0.14a | 2.51±0.42a | 6.91±0.44a | 6.42±1.37a |
| CGA50 | 17.61±2.19a | 1.51±0.47a | 2.65±0.27a | 7.14±0.95a | 6.74±1.81a |
| GBH | 6.13±1.04c | 0.48±0.13b | 1.39±0.32b | 1.09±0.12d | 0.80±0.27c |
| CGA12.5+GBH | 7.48±1.74c | 0.57±0.14b | 1.50±0.36b | 1.48±0.33d | 1.00±0.16c |
| CGA25+GBH | 12.65±2.61b | 1.02±0.22ab | 1.94±0.41ab | 2.47±0.32c | 1.54±0.22bc |
| CGA50+GBH | 16.72±2.73a | 1.47±0.18a | 2.55±0.42a | 4.01±0.42b | 2.53±0.57b |
Blood, brain, heart, liver, and kidney tissue MDA levels in Wistar rats treated with CGA and/or GBH by gavage for 49 days
| Groups | Blood (nmol/mL) | Brain (nmol/g tissue) | Heart (nmol/g tissue) | Liver (nmol/g tissue) | Kidney (nmol/g tissue) |
|---|---|---|---|---|---|
| Control | 5.66±0.27d | 2.63±0.07c | 4.43±0.51b | 4.83±0.43c | 4.41±0.26c |
| CGA 50 | 5.72±0.27d | 2.55±0.15c | 4.49±0.21b | 4.70±0.48c | 4.35±0.23c |
| GBH | 20.25±0.95a | 6.17±0.43a | 6.70±1.30a | 9.43±1.20a | 9.92±0.70a |
| CGA12.5+GBH | 8.36±0.35c | 5.15±0.12ab | 6.13±1.10ab | 8.81±1.09ba | 8.77±0.79ba |
| CGA25+GBH | 6.10±0.69b | 4.34±0.24b | 5.08±0.90b | 7.06±0.97b | 6.54±0.57b |
| CGA50+GBH | 5.88±1.56d | 3.78±0.10c | 4.57±0.39b | 5.03±0.54c | 5.32±0.48c |
Injury scores* in the brain, heart, liver, and kidney tissues of Wistar rats treated with CGA and/or GBH by gavage for 49 days
| Tissue | Parameters | Control | CGA50 | GBH | CGA12.5+GBH | CGA25+GBH | CGA50+GBH |
|---|---|---|---|---|---|---|---|
| Brain | Hyperaemia in the vessels neurons and focal | 0.00±0.00c | 0.00±0.00c | 1.77±0.82a | 0.73±0.56b | 0.36±0.07bc | 0.18±0.05bc |
| Degenerative changes of gliosis | 0.00±0.00b | 0.00±0.00b | 1.43±0.52a | 1.07±0.93a | 0.90±0.19a | 0.18±0.04b | |
| Neuronal vacuolation | 0.00±0.00c | 0.00±0.00c | 1.27±0.41a | 0.90±0.79b | 0.71±0.16bc | 0.36±0.06c | |
| Heart | Hyaline degeneration | 0.00±0.00c | 0.00±0.00c | 1.76±0.53a | 1.06±0.93b | 0.55±0.10bc | 0.18±0.04c |
| Focal haemorrhage | 0.00±0.00c | 0.00±0.00c | 1.60±0.54a | 1.05±0.15ab | 0.55±0.20bc | 0.36±0.03bc | |
| Liver | Dilatation of sinusoids | 0.00±0.00b | 0.00±0.00b | 1.26±0.40a | 1.05±0.15a | 0.55±0.10ab | 0.18±0.04b |
| Mononuclear cell infiltration in periportal areas | 0.00±0.00b | 0.00±0.00b | 1.43±0.52a | 0.53±0.18b | 0.18±0.04b | 0.16±0.03b | |
| Binucleated hepatocyte formations in periportal areas | 0.00±0.00c | 0.00±0.00c | 1.93±0.41a | 0.88±0.13b | 0.70±0.18bc | 0.18±0.04bc | |
| Kidney | Hyaline cast formations within the lumens of the tubules | 0.00±0.00c | 0.00±0.00c | 1.25±0.78a | 0.72±0.16ab | 0.36±0.12bc | 0.00±0.00c |
| Degenerative and necrobiotic alterations in the tubular epithelial cells | 0.00±0.00b | 0.00±0.00b | 1.76±0.51a | 0.70±0.18b | 0.36±0.16b | 0.18±0.04b |
Erythrocyte, brain, heart, liver, and kidney tissue CAT activity in Wistar rats treated with CGA and/or GBH by gavage for 49 days
| Groups | Erythrocyte (U/mgHb) | Brain (CAT/g protein) | Heart (CAT/g protein) | Liver (CAT/g protein) | Kidney (CAT/g protein) |
|---|---|---|---|---|---|
| Control | 15.32±2.40a | 1.11±0.17a | 1.15±0.21a | 6.46±1.34a | 4.81±0.94a |
| CGA50 | 13.51±2.08a | 1.19±0.16a | 1.22±0.23a | 6.78±1.52a | 4.97±1.02a |
| GBH | 3.18±1.04c | 0.41±0.19c | 0.59±0.12b | 0.95±0.23c | 0.81±0.43d |
| CGA12.5+GBH | 5.42±0.62c | 0.69±0.13b | 0.79±0.19a | 1.20±0.10c | 1.11±0.18cd |
| CGA25+GBH | 8.31±1.51b | 0.80±0.19b | 0.99±0.21a | 2.78±0.68b | 1.45±0.27c |
| CGA50+GBH | 8.84±2.73b | 1.05±0.22a | 1.04±0.24a | 3.75±0.63b | 3.02±0.94b |
Blood, brain, heart, liver, and kidney tissue GSH levels in Wistar rats treated with CGA and/or GBH by gavage for 49 days
| Groups | Blood (nmol/mL) | Brain (nmol/g tissue) | Heart (nmol/g tissue) | Liver (nmol/g tissue) | Kidney (nmol/g tissue) |
|---|---|---|---|---|---|
| Control | 34.30±3.12a | 4.88±0.34a | 4.43±0.16a | 6.76±0.35a | 6.63±0.54a |
| CGA 50 | 33.12±1.87a | 4.95±0.42a | 4.50±0.32a | 6.82±0.61a | 6.72±0.38a |
| GBH | 19.00±1.53d | 3.89±0.21b | 3.83±0.19b | 4.12±0.19c | 4.33±0.26c |
| CGA 12.5+GBH | 28.67±1.35c | 4.00±0.53b | 4.07±0.41b | 4.54±0.48bc | 4.62±0.43bc |
| CGA 25+GBH | 30.55±1.64b | 4.20±0.58ab | 4.23±0.36ab | 5.84±0.62b | 5.97±0.62b |
| CGA 50+GBH | 32.14±2.05a | 4.83±0.71a | 4.38±0.22a | 6.67±0.34a | 6.48±0.46a |