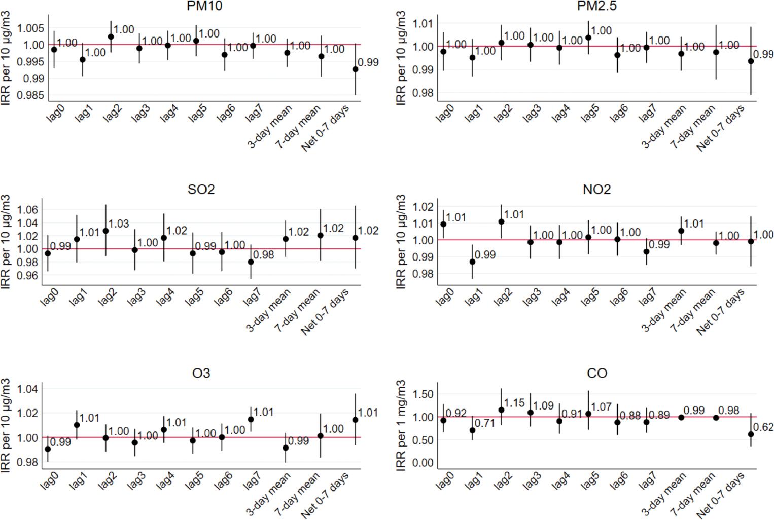
Figure 1

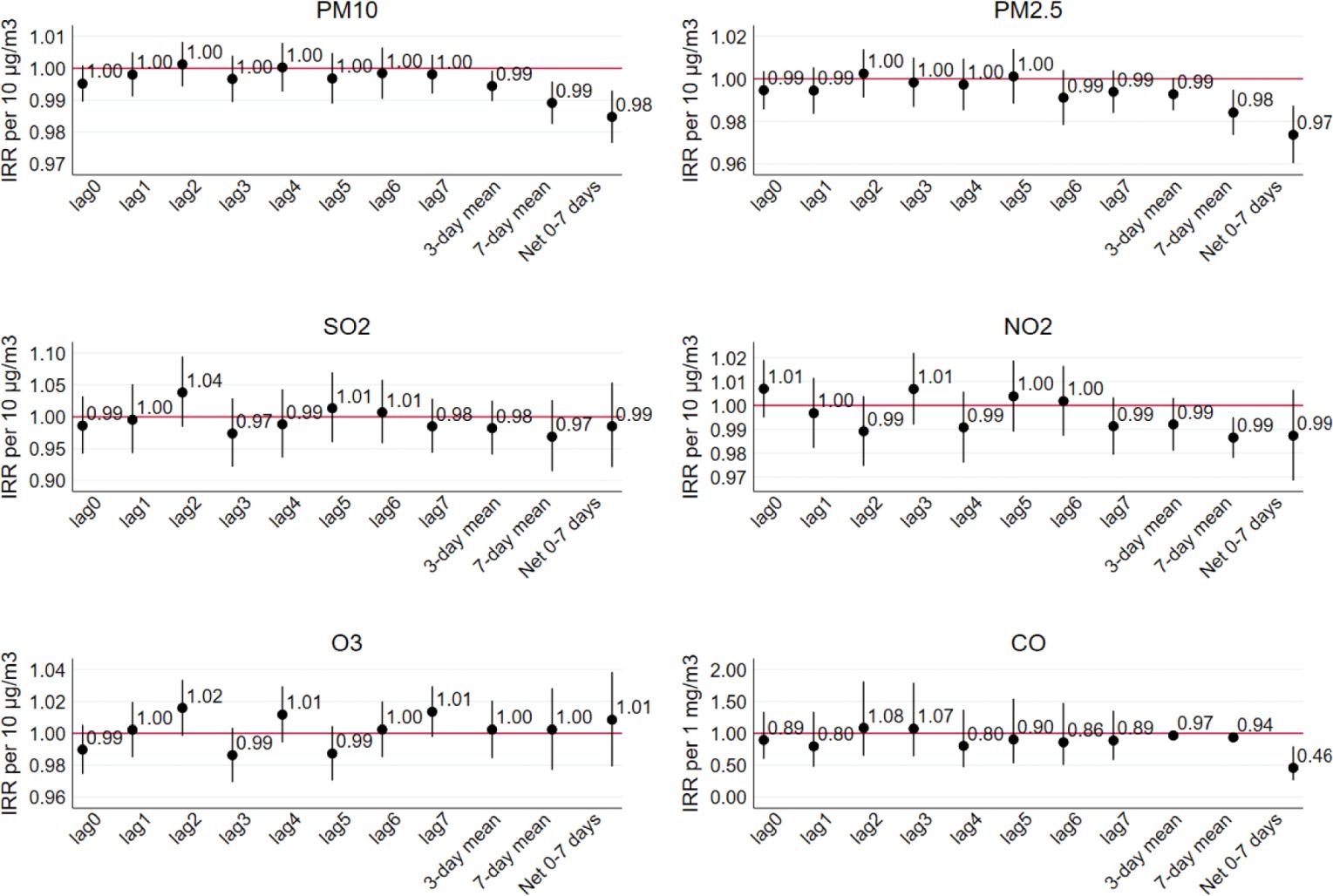
Figure 2

Figure 3

Figure 4

Figure 5

Figure 6

Figure 7

Figure 8

Risk of hospital admissions associated with air pollution on the same day (lag0), stratified by time of year
| Pollutant | April — September | October — March | ||||
|---|---|---|---|---|---|---|
| IHD | Cl | T2DM | IHD | Cl | T2DM | |
| PM10 | 1.020 (1.000, 1.041)* | 1.004 (0.984, 1.024) | 0.999 (0.970, 1.029) | 0.995 (0.991, 0.999)* | 0.997 (0.995, 1.000) | 0.994 (0.990, 0.997)* |
| PM2.5 | 1.010 (0.983, 1.038) | 1.011 (0.981, 1.041) | 1.026 (0.980, 1.073) | 0.992 (0.986, 0.999)* | 0.997 (0.993, 1.001) | 0.993 (0.987, 0.999)* |
| SO2 | 0.979 (0.909, 1.055) | 1.056 (0.990, 1.126) | 1.001 (0.903, 1.111) | 0.988 (0.969, 1.008) | 0.982 (0.960, 1.004) | 0.964 (0.934, 0.996)* |
| NO2 | 1.038 (1.018,1.057)* | 1.022 (1.006,1.041)* | 1.026 (1.000,1.052)* | 0.996 (0.988, 1.003) | 0.996 (0.990, 1.003) | 0.997 (0.988, 1.006) |
| O3 | 0.984 (0.970, 0.997)* | 0.994 (0.982, 1.007) | 0.987 (0.968, 1.007) | 0.995 (0.983, 1.006) | 1.003 (0.991, 1.015) | 0.993 (0.976, 1.011) |
| CO | 1.071 (0.978, 1.175) | 0.978 (0.887, 1.078) | 1.010 (0.874, 1.169) | 0.964 (0.937, 0.992)* | 0.978 (0.961, 0.996)* | 0.969 (0.943, 0.996)* |
Risk of hospital admissions associated with above-threshold air pollution levels on the same day (lag0)
| Pollutant | IHD | CI | T2DM |
|---|---|---|---|
| PM10 ≥45 μg/m3 | 1.007 (0.980, 1.034) | 1.000 (0.973, 1.028) | 0.991 (0.950, 1.034) |
| PM 5 ≥15 μg/m3 | 1.005 (0.982, 1.029) | 1.004 (0.979, 1.030) | 0.997 (0.959, 1.036) |
| SO ≥40 μg/m3 | 0.952 (0.858, 1.056) | 0.915 (0.796, 1.053) | 1.003 (0.827, 1.216) |
| NO ≥25 μg/m3 | 1.039 (1.013, 1.066)* | 1.019 (0.993, 1.045) | 1.029 (0.991, 1.069) |
| O ≥60 μg/m3 | 0.971 (0.935, 1.008) | 0.976 (0.941, 1.012) | 0.944 (0.893, 0.997)* |
| CO ≥4 mg/m3 | 0.929 (0.810, 1.064) | 0.995 (0.912, 1.085) | 0.875 (0.771, 0.994)* |
Descriptive statistics for the exposure variables in the study
| Variable | Missing data | Percentiles | Min | Max | ||
|---|---|---|---|---|---|---|
| 25th | 50th | 75th | ||||
| PM10 | 45 (1.23) | 22.32 | 31.29 | 45.38 | 3.60 | 601.04 |
| PM2.5 | 204 (5.59) | 12.22 | 17.76 | 27.10 | 0.49 | 485.77 |
| NO2 | 23 (0.63) | 21.40 | 30.03 | 41.70 | 0.01 | 184.89 |
| SO2 | 25 (0.68) | 4.62 | 6.72 | 10.68 | 0.01 | 123.31 |
| O3 | 26 (0.71) | 22.82 | 38.47 | 52.28 | 0.39 | 97.27 |
| CO | 45 (1.23) | 0.42 | 0.61 | 0.90 | 0.00 | 7.83 |
| Temperature | 20 (0.55) | 4.70 | 12.44 | 19.19 | -14.39 | 31.375 |
| Relative humidity | 20 (0.55) | 56.29 | 65.80 | 76.21 | 30.50 | 98.26 |
Risk of hospital admissions associated with air pollution levels on the same day (lag0)
| Pollutant | IHD | CI | T2DM |
|---|---|---|---|
| PM10 | 0.996 (0.992, 1.000) | 0.998 (0.995, 1.001) | 0.995 (0.991, 0.999)* |
| PM2.5 | 0.995 (0.989, 1.001) | 0.998 (0.994, 1.003) | 0.993 (0.987, 1.000) |
| SO2 | 0.990 (0.967, 1.013) | 0.985 (0.960, 1.011) | 0.991 (0.957, 1.003) |
| NO2 | 1.003 (0.996, 1.010) | 0.999 (0.993, 1.005) | 1.002 (0.993, 1.011) |
| O3 | 0.991 (0.982, 1.001) | 0.995 (0.985, 1.004) | 0.992 (0.978, 1.006) |
| CO | 0.974 (0.948, 1.001) | 0.982 (0.962, 1.002) | 0.974 (0.947, 1.003) |
Risk of hospital admissions associated with deciles of air pollutant levels on the same day (lag0)
| Deciles | PM10 | PM2.5 | SO2 | NO2 | O3 | CO |
|---|---|---|---|---|---|---|
| Ischaemic heart disease (IRR) | ||||||
| D2 | 0.993 (0.948, 1.041) | 1.007 (0.959, 1.058) | 1.005 (0.959, 1.054) | 1.019 (0.970, 1.070) | 1.022 (0.975, 1.072) | 0.996 (0.953, 1.041) |
| D3 | 0.976 (0.934, 1.019) | 1.021 (0.977, 1.067) | 1.001 (0.952, 1.053) | 0.995 (0.945, 1.048) | 1.057 (1.004, 1.114)* | 0.997 (0.949, 1.047) |
| D4 | 0.976 (0.933, 1.022) | 0.989 (0.945, 1.036) | 1.014 (0.962, 1.068) | 1.031 (0.980, 1.086) | 1.022 (0.968, 1.078) | 0.981 (0.929, 1.035) |
| D5 | 0.953 (0.908, 1.000) | 1.004 (0.959, 1.050) | 1.012 (0.962, 1.065) | 1.027 (0.977, 1.080) | 1.02 (0.965, 1.078) | 0.998 (0.944, 1.054) |
| D6 | 1.004 (0.958, 1.053) | 1.015 (0.966, 1.067) | 0.990 (0.937, 1.045) | 1.046 (0.994, 1.100) | 1.033 (0.977, 1.092) | 1.009 (0.954, 1.067) |
| D7 | 0.983 (0.941, 1.027) | 1.000 (0.954, 1.048) | 1.011 (0.957, 1.069) | 1.078 (1.025,1.134)* | 0.978 (0.923, 1.037) | 1.012 (0.960, 1.067) |
| D8 | 1.008 (0.965, 1.053) | 0.998 (0.956, 1.042) | 0.997 (0.943, 1.053) | 1.055 (1.003,1.109)* | 0.982 (0.924, 1.043) | 1.007 (0.951, 1.067) |
| D9 | 1.022 (0.977, 1.070) | 1.011 (0.965, 1.060) | 0.999 (0.940, 1.061) | 1.067 (1.012,1.125)* | 0.981 (0.921, 1.045) | 1.048 (0.994, 1.106) |
| D10 | 0.944 (0.895, 0.997)* | 1.006 (0.953, 1.062) | 0.962 (0.895, 1.035) | 1.039 (0.983, 1.098) | 0.960 (0.897, 1.027) | 0.981 (0.922, 1.044) |
| Cerebral infarction (IRR) | ||||||
| D2 | 0.973 (0.929, 1.020) | 1.023 (0.977, 1.072) | 0.968 (0.915, 1.024) | 1.032 (0.981, 1.086) | 1.027 (0.980, 1.076) | 0.957 (0.913, 1.003) |
| D3 | 1.016 (0.967, 1.068) | 0.992 (0.945, 1.042) | 0.977 (0.924, 1.033) | 1.033 (0.984, 1.085) | 1.035 (0.984, 1.089) | 0.957 (0.908, 1.009) |
| D4 | 0.988 (0.939, 1.040) | 1.034 (0.984, 1.087) | 0.942 (0.889, 0.998)* | 1.042 (0.991, 1.097) | 1.058 (1.005,1.114)* | 0.965 (0.913, 1.020) |
| D5 | 1.004 (0.954, 1.057) | 1.038 (0.987, 1.092) | 0.971 (0.915, 1.030) | 1.060 (1.008,1.115)* | 1.023 (0.970, 1.079) | 0.957 (0.905, 1.011) |
| D6 | 0.975 (0.927, 1.027) | 1.018 (0.966, 1.073) | 0.960 (0.903, 1.020) | 1.038 (0.988, 1.090) | 0.986 (0.931, 1.045) | 0.976 (0.922, 1.034) |
| D7 | 0.994 (0.943, 1.046) | 1.022 (0.967, 1.080) | 0.973 (0.914, 1.036) | 1.053 (1.001,1.107)* | 1.010 (0.952, 1.073) | 0.995 (0.936, 1.057) |
| D8 | 1.004 (0.953, 1.058) | 1.023 (0.971, 1.079) | 0.982 (0.921, 1.047) | 1.050 (0.995, 1.108) | 1.011 (0.950, 1.075) | 0.963 (0.905, 1.024) |
| D9 | 0.983 (0.931, 1.038) | 0.981 (0.926, 1.039) | 0.975 (0.913, 1.040) | 1.072 (1.018,1.128)* | 0.987 (0.927, 1.052) | 0.961 (0.903, 1.023) |
| D10 | 0.965 (0.913, 1.020) | 1.000 (0.942, 1.060) | 0.936 (0.869, 1.009) | 0.997 (0.946, 1.052) | 0.995 (0.929, 1.067) | 0.929 (0.872, 0.989)* |
| Type 2 diabetes mellitus (IRR) | ||||||
| D2 | 0.986 (0.918, 1.058) | 1.019 (0.949, 1.095) | 0.968 (0.889, 1.055) | 1.050 (0.971, 1.135) | 0.992 (0.924, 1.065) | 0.986 (0.914, 1.063) |
| D3 | 0.933 (0.868, 1.002) | 0.984 (0.914, 1.059) | 0.958 (0.876, 1.048) | 1.009 (0.934, 1.090) | 1.010 (0.938, 1.087) | 0.999 (0.921, 1.083) |
| D4 | 0.930 (0.865, 1.000) | 0.951 (0.883, 1.025) | 0.991 (0.905, 1.086) | 1.003 (0.928, 1.085) | 0.985 (0.913, 1.063) | 0.947 (0.870, 1.031) |
| D5 | 0.925 (0.858, 0.997)* | 0.988 (0.916, 1.065) | 0.971 (0.887, 1.063) | 1.058 (0.979, 1.144) | 0.965 (0.890, 1.045) | 0.944 (0.865, 1.030) |
| D6 | 0.987 (0.916, 1.063) | 0.988 (0.916, 1.066) | 0.941 (0.858, 1.033) | 1.006 (0.930, 1.087) | 0.985 (0.907, 1.071) | 0.959 (0.877, 1.048) |
| D7 | 0.952 (0.884, 1.025) | 0.978 (0.905, 1.056) | 0.977 (0.888, 1.074) | 1.094 (1.012,1.182)* | 0.990 (0.907, 1.080) | 0.960 (0.877, 1.051) |
| D8 | 0.961 (0.891, 1.036) | 0.999 (0.924, 1.080) | 0.956 (0.867, 1.053) | 1.023 (0.944, 1.108) | 0.997 (0.910, 1.092) | 0.977 (0.890, 1.071) |
| D9 | 0.963 (0.891, 1.041) | 0.986 (0.909, 1.068) | 1.010 (0.914, 1.116) | 1.042 (0.961, 1.130) | 0.982 (0.893, 1.080) | 0.985 (0.898, 1.081) |
| D10 | 0.941 (0.868, 1.020) | 0.975 (0.895, 1.063) | 0.919 (0.823, 1.026) | 1.059 (0.974, 1.151) | 0.926 (0.837, 1.025) | 0.971 (0.882, 1.068) |
Spearman’s correlations between the key variables in the study
| Variables | 1. | 2. | 3. | 4. | 5. | 6. | 7. | 8. | 9. | 10. | 11. |
|---|---|---|---|---|---|---|---|---|---|---|---|
| 1. IHD | 1.00 | ||||||||||
| 2. CI | 0.52* | 1.00 | |||||||||
| 3. T2DM | 0.83* | 0.50* | 1.00 | ||||||||
| 4. PM10 | 0.05* | 0.02 | 0.02 | 1.00 | |||||||
| 5. PM25 | 0.03 | -0.01 | 0.01 | 0.88* | 1.00 | ||||||
| 6. SO2 | 0.07* | -0.01 | 0.04* | 0.50* | 0.55* | 1.00 | |||||
| 7. NO2 | 0.15* | 0.08* | 0.13* | 0.77* | 0.69* | 0.42* | 1.00 | ||||
| 8. O3 | -0.15* | -0.07* | -0.07* | -0.48* | -0.43* | -0.27* | -0.62* | 1.00 | |||
| 9. CO | 0.09* | -0.01 | 0.07* | 0.66* | 0.69* | 0.55* | 0.66* | -0.52* | 1.00 | ||
| 10. Temperature | -0.12* | -0.02 | -0.03 | -0.20* | -0.34* | -0.53* | -0.21* | 0.49* | -0.42* | 1.000 | |
| 11. Relative humidity | 0.09* | -0.02 | 0.03 | 0.08* | 0.15* | 0.12* | 0.07* | -0.50* | 0.30* | -0.53* | 1.00 |