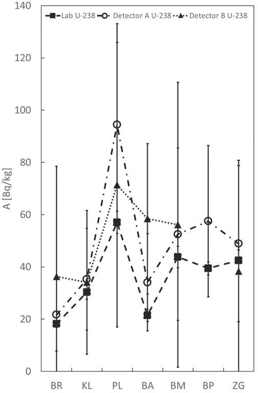
Figure 1

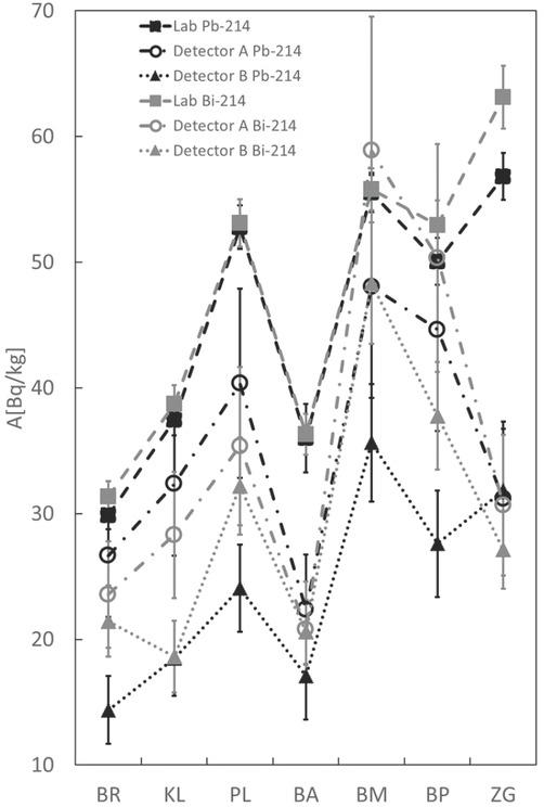
Figure 2

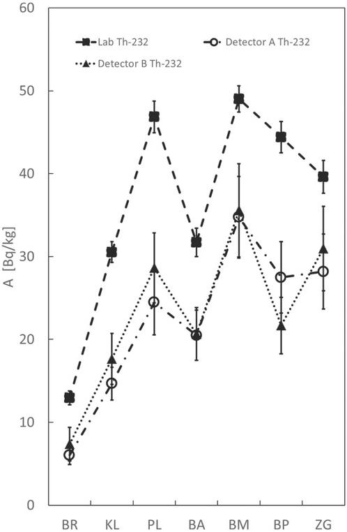
Figure 3

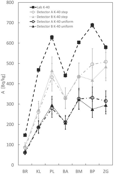
Figure 4

Figure 5

Figure 6

Measurement sites
| Site | Altitude | Longitude (°N) | Latitude (°E) |
|---|---|---|---|
| Bregana | 187 m | 45.825 | 15.635 |
| Klanjec | 169 m | 46.046 | 15.731 |
| Plavić | 202 m | 46.116 | 15.613 |
| Batina | 80 m | 45.840 | 18.848 |
| Beli Manastir | 102 m | 45.753 | 18.637 |
| Baranjsko Petrovo Selo | 89 m | 45.763 | 18.463 |
| Zlatna Greda | 79 m | 45.721 | 18.867 |