Fig. 1

Fig. 2

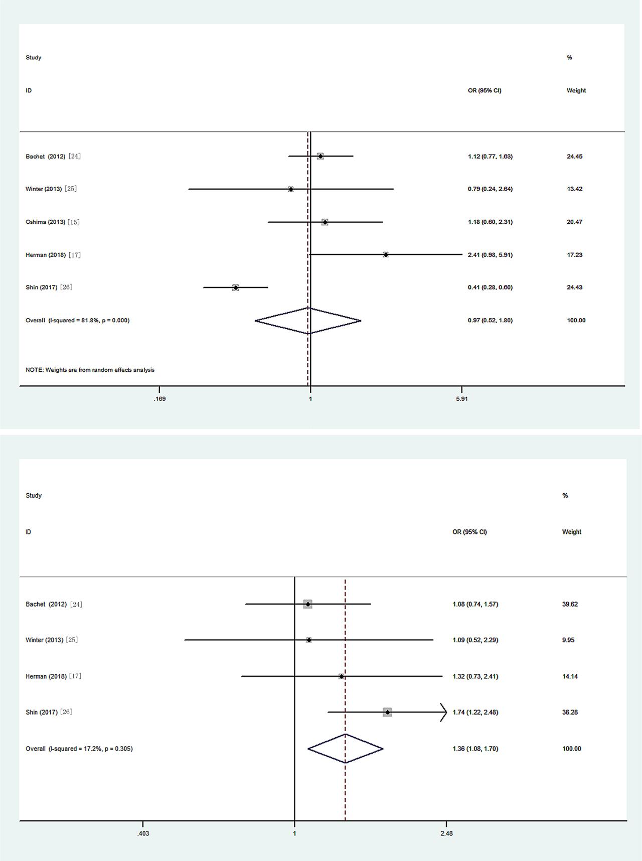
Fig. 3

Fig. 4

Fig. 5

Overview of the reviewed studies
| Author, Year | Country | Group | Histology | Follow-up (Median/Months) | Method | Antibody (Dilution) | Cutoff (%) | Study Quality Score |
|---|---|---|---|---|---|---|---|---|
| Oshima M 2013 [15] | Japan | SMAD4+ | PDAC | 62/44 | IHC | Santa 1:100 | >0 | 8 |
| Yamada S 2015 [16] | Japan | SMAD4+ | PDAC | 44/26 | IHC | Santa 1:100 | >0 | 7 |
| Herman JM 2018 [17] | USA | SMAD4+ | PDAC | 36/21 | IHC | ---- | >0 | 7 |
| Tascilar M 2001 [18] | USA | SMAD4+ | PAC | 61/50 | IHC | Santa 1:100 | >0 | 9 |
| Biankin AV 2002 [19] | Australia | SMAD4+ | PDAC | 190/158 | IHC | Santa | >5 | 7 |
| Xu JZ 2019 [20] | China | SMAD4+ | PDAC | 30/39 | IHC | ---- | ---- | 7 |
| Ottenhof NA 2012 [21] | The Netherlands | SMAD4+ | PDAC | 35/43 | IHC | Santa 1:300 | >0 | 8 |
| Shen J 2019 [22] | China | SMAD4+ | PDAC | ---- | IHC | ---- | ---- | 6 |
| Toga T 2004 [23] | Japan | SMAD4+ | IDC | 6/7 | IHC | Santa 1:100 | >10 | 6 |
| Bachet JB 2012 [24] | France | SMAD4+ | PDAC | 54 | IHC | Santa 1:50 | >0 | 9 |
| Winter JM 2013 [25] | USA | SMAD4− | PDAC | 48 | IHC | Santa 1:800 | >0 | 8 |
| Shin SH 2017 [26] | Korea | SMAD4+ | PDAC | ---- | IHC | Santa 1:100 | >0 | 7 |