Fig. 1

Fig. 2

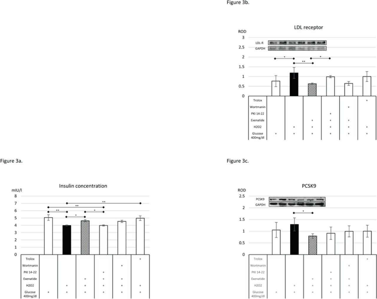
Fig. 3




© 2022 Łukasz Bułdak, Estera Skudrzyk, Grzegorz Machnik, Aleksandra Bołdys, Rafał Jakub Bułdak, Bogusław Okopień, published by Hirszfeld Institute of Immunology and Experimental Therapy
This work is licensed under the Creative Commons Attribution-NonCommercial-NoDerivatives 4.0 License.