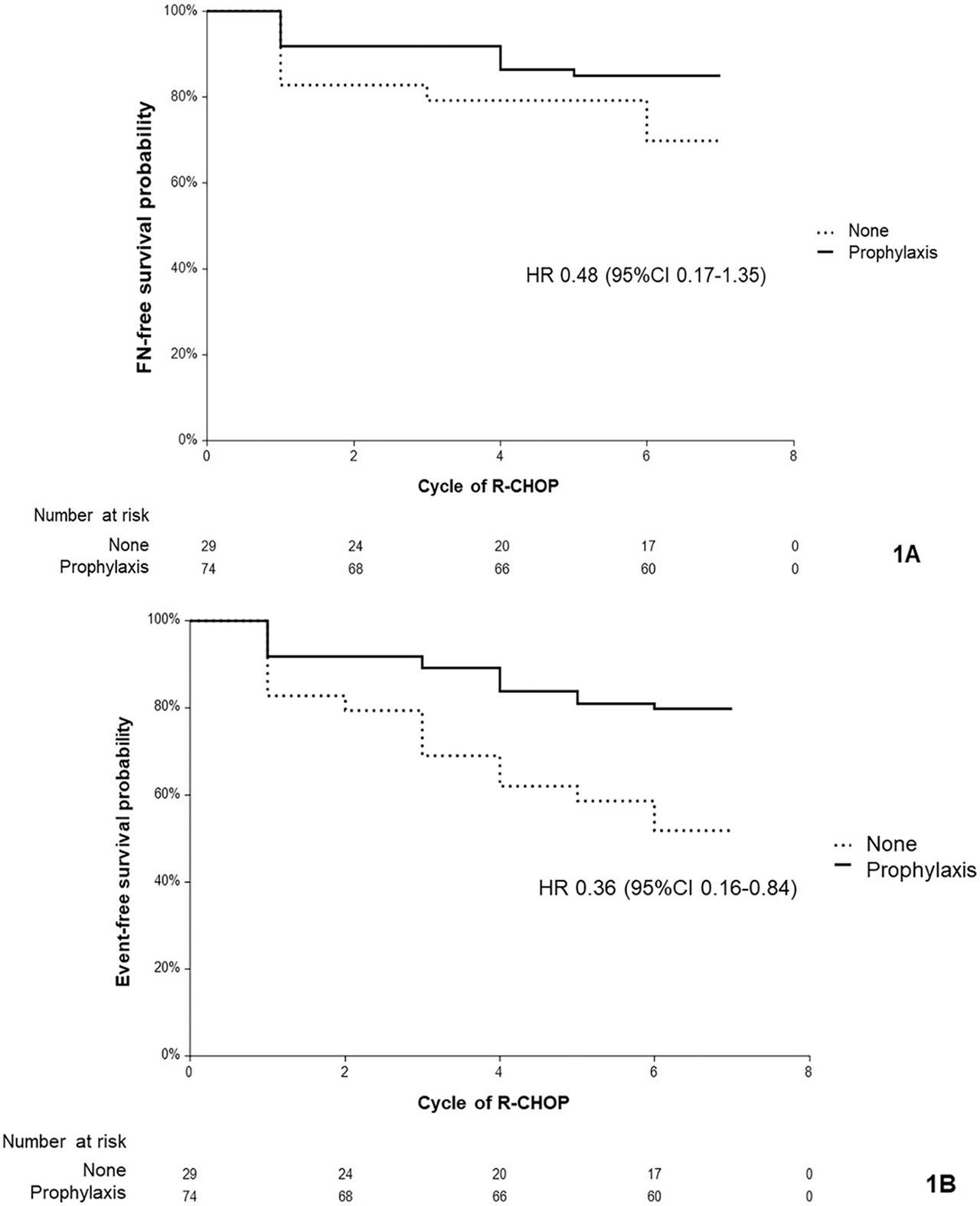
Figure 1.

Clinical data, laboratory characteristics, and outcomes of patients with newly diagnosed DLBCL after all cycles of R-CHOP
| Prophylaxis (N = 74) | Non-prophylaxis (N = 29) | P | |
|---|---|---|---|
| Total cycles received† | 6 (0) | 6 (0) | 0.483 |
| Total treatment duration(d)† | 108.5 (14) | 107 (8) | 0.395 |
| Relative dose intensity (%) | 89.0 (14.2) | 91.1 (9.7) | 0.461 |
| Complete remission (%) | 52 (70.3) | 19 (65.5) | 0.639 |
| FN (%) | 11 (14.9) | 8 (27.6) | 0.134 |
| Reactive G-CSF rescue (%) | NA | 19 (65.5) | NA |
| Chemotherapy discontinuation (%) | 6 (8.1) | 3 (10.3) | 0.718 |
| Composite outcome (%) | 15 (20.3) | 14 (48.3) | 0.004 |
| Hospitalization (%) | 16 (21.6) | 8 (27.6) | 0.567 |
| ICU admission (%) | 1 (1.4) | 0 | 0.105 |
Clinical and laboratory characteristics of patients with newly diagnosed DLBCL before first R-CHOP
| Prophylaxis (N = 74) | Non-prophylaxis (N = 29) | P | |
|---|---|---|---|
| Age (years)† | 63 (12) | 50 (15) | <0.001 |
| Male (%) | 32 (43.2) | 15 (51.7) | 0.437 |
| Body weight (kg) | 60.1 (11.9) | 61.7 (12.3) | 0.53 |
| Height (m) | 1.61 (0.09) | 1.62 (0.08) | 0.463 |
| BMI (kg/m2) | 23.0 (3.4) | 23.2 (4.1) | 0.882 |
| Hemoglobin (g/dL) | 11.5 (2.5) | 11.7 (2.3) | 0.742 |
| WBC count (×109/L) | 8.62 (4.61) | 8.97 (5.79) | 0.749 |
| ANC (×109/L) | 6.19 (4.22) | 5.84 (3.99) | 0.697 |
| AMC (×109/L) | 0.67 (0.52) | 0.60 (0.53) | 0.582 |
| Platelet count (×109/L) | 313.6 (160.0) | 330.2 (109.2) | 0.608 |
| LDH (U/L) | 463.6 (493.5) | 488.6 (430.3) | 0.811 |
| Creatinine (mg/dL) | 0.80 (0.27) | 0.71 (0.18) | 0.089 |
| AST (U/L) | 36.0 (38.0) | 33.2 (25.8) | 0.717 |
| ALT (U/L) | 33.9 (46.3) | 48.7 (76.8) | 0.24 |
| Serum albumin (g/dL) | 3.8 (0.7) | 3.9 (0.6) | 0.363 |
| Stage (1, 2, 3, 4) | 9, 23, 12, 30 | 5, 11, 1, 12 | 0.336 |
| ECOG (0, 1, 2, 3, 4) | 20, 42, 9, 2, 0 | 11, 15, 1, 0, 0 | 0.341 |
| IPI (L, LI, HI, H) | 15, 16, 26, 17 | 8, 10, 9, 2 | 0.18 |
| Bone marrow involvement (%) | 9 (12.2) | 3 (10.3) | 0.779 |
| Comorbidities (%) | 37 (50) | 8 (27.6) | 0.529 |
| HBV Ag positive (%) | 3 (4.1) | 4 (13.8) | 0.071 |
| Anti-HCV Ab positive‡ (%) | 1 (1.4) | 0 (0) | 0.531 |
| Anti-HIV Ab (%) | 1 (1.4) | 0 (0) | 0.526 |
| CNS prophylaxis (%) | 26 (35.1) | 10 (34.5) | 1.00 |
Clinical and laboratory characteristics of patients with newly diagnosed DLBCL after first R-CHOP
| Prophylaxis (N = 74) | Non-prophylaxis (N = 29) | P | |
|---|---|---|---|
| FN | 6 | 5 | 0.177 |
| Neutropenia (%) | 43 (58.1) | 15 (51.7) | 0.557 |
| Grade 4 neutropenia (%) | 18 (24.3) | 7 (24.1) | 0.98 |
| G-CSF rescue (%) | NA | 10 (34.5) | NA |
| Hemoglobin (g/dL) | 11.4 (2.1) | 11.0 (2.3) | 0.501 |
| WBC count (×109/L) | 8.29 (10.44) | 5.88 (5.96) | 0.245 |
| ANC (×109/L) | 7.13 (9.97) | 4.26 (3.07) | 0.029 |
| AMC (×109/L) | 0.28 (0.47) | 0.07 (0.12) | <0.001 |
| Platelet count (×109/L) | 221.6 (161.2) | 287.8 (118.0) | 0.047 |
Risks associated with FN after R-CHOP
| Odd ratio (95% CI) | P | ||
|---|---|---|---|
| Age (years) | ≤35 | Reference | |
| >35–50 | 0.18 (0.01, 2.32) | 0.187 | |
| >50–65 | 0.63 (0.11, 3.72) | 0.611 | |
| >65 | 1.04 (0.17, 6.26) | 0.963 | |
| Stage | 1 | Reference | |
| 2 | 1.26 (0.12, 13.25) | 0.848 | |
| 3 | 5.78 (0.55, 60.61) | 0.144 | |
| 4 | 4.61 (0.54, 39.49) | 0.163 | |
| Bone marrow involvement | No | Reference | |
| Yes | 2.50 (0.67, 9.38) | 0.174 | |
| HBV carrier | No | Reference | |
| Yes | 7.02 (1.42, 34.63) | 0.017 | |
| CNS prophylaxis | None | Reference | |
| Yes | 3.25 (1.18, 8.04) | 0.020 | |
| G-CSF prophylaxis | None | Reference | |
| Yes | 0.46 (0.17, 1.21) | 0.118 | |