Figure 1.

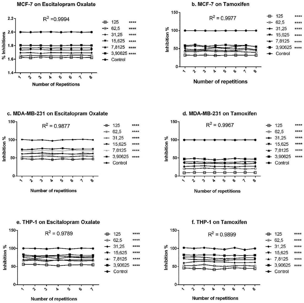
Figure 2.

Figure 3.

Figure 4.

Results for IL-1β, IL-6, IL-8, IL-10, and TNF-α in the MDA-MB-231 co-culture model (percent positive sign indicates amount secreted)
| IL-1β | IL-6 | IL-8 | IL-10 | IL-α | |||||||
|---|---|---|---|---|---|---|---|---|---|---|---|
| Cell lines | Substances | % (−) | % (+) | % (−) | % (+) | % (−) | % (+) | % (−) | % (+) | % (−) | % (+) |
| THP-1 | Control | 96.2 | 3.8 | 91.1 | 7.7 | 85.5 | 14.2 | 90.0 | 9.7 | 86.9 | 12.7 |
| 100 ng/mL LPS | 57.6 | 42.4 | 76.4 | 20.1 | 53.7 | 44.4 | 77.3 | 22.1 | 68.6 | 30.9 | |
| MDA-MB-231 | Control | 95.8 | 4.2 | 93.3 | 6.4 | 81.8 | 17.9 | 93.4 | 6.3 | 92.4 | 7.4 |
| Co-culture | Control | 81.9 | 18.1 | 90.3 | 9.4 | 32.0 | 66.7 | 67.5 | 31.5 | 49.3 | 48.6 |
| Tamoxifen IC50 | 95.1 | 4.9 | 85.9 | 13.8 | 83.1 | 16.3 | 89.4 | 10.3 | 75.5 | 24.0 | |
| Escitalopram oxalate IC50 | 97.9 | 2.1 | 83.7 | 15.9 | 82.8 | 16.2 | 90.8 | 8.8 | 87.9 | 11.8 | |
Results for IL-1β, IL-6, IL-8, IL-10, and TNF-α in MCF-7 co-culture model (percent positive sign indicates amount secreted)
| IL-1β | IL-6 | IL-8 | IL-10 | IL-α | |||||||
|---|---|---|---|---|---|---|---|---|---|---|---|
| Cell lines | Substances | % (−) | % (+) | % (−) | % (+) | % (−) | % (+) | % (−) | % (+) | % (−) | % (+) |
| THP-1 | Control | 96.2 | 3.8 | 91.1 | 7.7 | 85.5 | 14.2 | 90.0 | 9.7 | 86.9 | 12.7 |
| 100 ng/mL LPS | 57.6 | 42.4 | 76.4 | 20.1 | 53.7 | 44.4 | 77.3 | 22.1 | 68.6 | 30.9 | |
| MCF-7 | Control | 93.8 | 6.2 | 81.2 | 18.5 | 77.3 | 20.2 | 88.6 | 11.0 | 79.8 | 19.9 |
| Co-culture | Control | 89.6 | 10.4 | 89.4 | 10.3 | 42.7 | 56.1 | 65.8 | 33.3 | 54.8 | 44.2 |
| Tamoxifen IC50 | 94.1 | 5.9 | 80.6 | 19.2 | 80.1 | 18.7 | 87.0 | 12.6 | 78.4 | 21.1 | |
| Escitalopram oxalate IC50 | 97.2 | 2.8 | 88.7 | 11.1 | 83.8 | 15.6 | 88.9 | 10.6 | 87.7 | 12.1 | |
IC50 values of tamoxifen and escitalopram oxalate for MCF-7 and MDA-MB-231 cell lines
| Cell line | Tamoxifen (μM) | Escitalopram oxalate (μM) |
|---|---|---|
| MCF-7 | 54.6 | 13.7 |
| MDA-MB-231 | 58.4 | 10.9 |