Figure 1.

Figure 2.

Comparison of normal CSS, GT, in the intron 6 of FAT4 and its mutant, AT, by in silico splice prediction tools and two predicted cryptic donor sites
| Sequences exon/intron | Position in intron 6 | NNSPLICE | NetGene2 | SD-score | |
|---|---|---|---|---|---|
| Normal CSS | GATTCAG/GTAAGTCC | +1 | 1.00 | 1–0.83 | −2.074 |
| Mutant CSS | GATTCAG/ATAAGTCC | +1 | - | - | - |
| Predicted donor sites | CATGGTG/GTGCGTGC | +191 | 0.74 | 0–0.41 | −3.998 |
| GACATGG/GTGAGTGA | +683 | 0.99 | 1–0.00 | −2.277 |
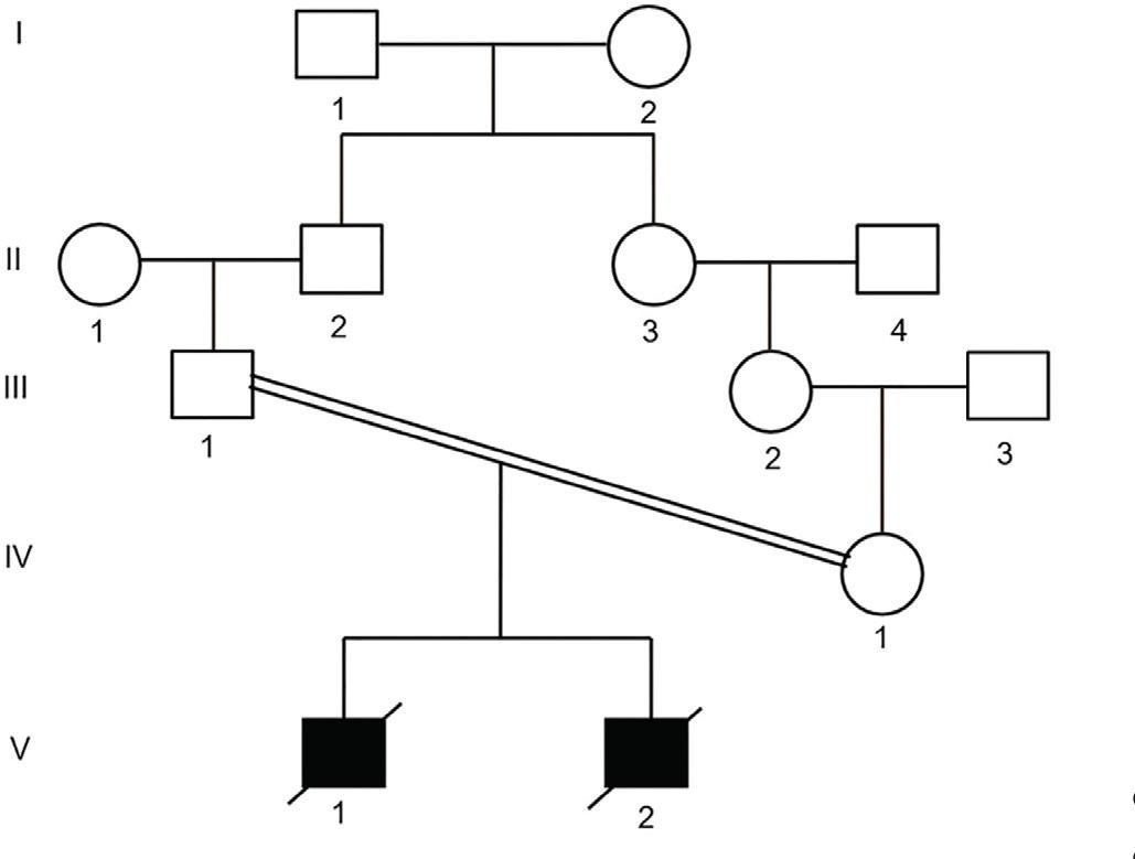
Table shows variants detected in three genes that parents are heterozygous carriers for them_ They share common variants in PINK1 and PTPRQ genes, but they are carriers for different variants in MYO15A gene
| Gene/transcript | Variant | Loc. | Chr. pos. | Related phenotypes | OMIM number | Inh. | Class† |
|---|---|---|---|---|---|---|---|
| The couple both are heterozygous carriers for the same variants in PINK1 and PTPRQ genes | |||||||
| PINK1 NM_032409 | c.709A>G p.M237V | Exon 3 | Chr1: 20966418 | Early onset Parkinson disease 6 | 605909 | AR | VUS |
| PTPRQ‡ NM_001145026 | c.3446-5 dupT | Intron 21 | Chr12: 80542081 | Autosomal recessive deafness 84A | 613391 | AR | Benign |
| Autosomal dominant deafness-73 | 617663 | AD | |||||
| The couple are heterozygous carriers for different variants in MYO15A gene | |||||||
| MYO15A NM_016239 | c.3622C>T p.R1208C | Exon 3 | Chr17: 18027809 | Autosomal recessive deafness-3 | 600316 | AR | VUS |
| c.5230T>A P.S1744T | Exon 20 | Chr17: 18043849 | VUS | ||||
Phenotypic comparison of P1 and P2 with HKLLS and VMLDS characteristics previously described in the literature [1, 4, 5, 24]
| Abnormalities | HS | VMS | P1 | P2 |
|---|---|---|---|---|
| Microcephaly | + | ++ | No | No |
| Large fontanelle | − | +++ | No | No |
| Blepharo-nasal malformation | +++ | +++ | Yes | Yes |
| Micrognathia and small mouth | +++ | +++ | Yes | Yes |
| Irregular dentition | +++ | +++ | NA | NA |
| Short stature | +++ | +++ | NA | NA |
| Hypertelorism | +++ | +++ | No | No |
| Epicanthic folds | +++ | +++ | Yes | Yes |
| Camptodactyly | ++ | +++ | No | Yes |
| Syndactyly | + | + | No | No |
| Clubfoot | + | + | Yes | No |
| Microtia | +++ | +++ | Yes | Yes |
| Conductive hearing loss | +* | +++ | Yes | Yes |
| Cardiac malformation | +* | + | No | Yes |
| Infantile hypotonia | +* | +++ | No | No |
| Developmental delay | +++ | +++ | NA | NA |
| Feeding difficulties | + | +++ | Yes | Yes |
| Choanal atresia/stenosis | − | ++ | No | No |
| Tracheal anomalies | − | +++ | Yes | Yes |
| Periventricular nodular heterotopia | − | ++ | Not performed | |
| Corpus callosum anomalies | − | ++ | Not performed | |
| Other brain anomalies | +* | + | ||
| Renal anomalies | − | +++ | No | Yes |
| Genital anomalies | edema | + | No | No |
| Lymphedema limb | +++ | +* | No | No |
| Primary intestinal lymphangiectasia | +++ | −* | No | No |
| Other lymphangiectasia | ++ | − | No | No |