Figure 1

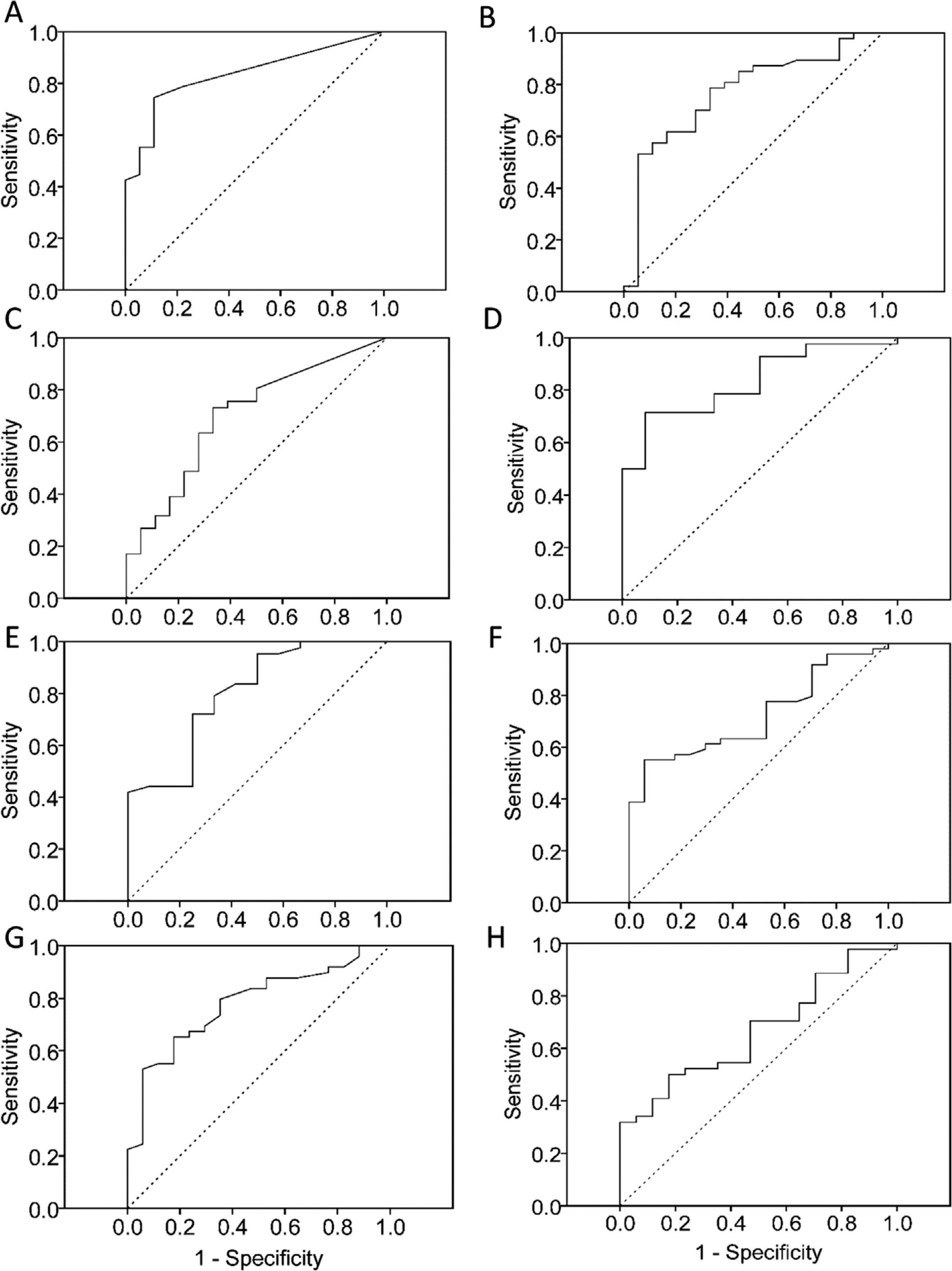
Figure 2

Area under the ROC curve, cut off point, sensitivity, specificity, PPV, and NPV of each ultrasonographic and hormonal parameters
| Parameter | AUC | 95% CI | Cut-off | Sensitivity (%) | Specificity (%) | PPV (%) | NPV (%) |
|---|---|---|---|---|---|---|---|
| Basal LH (IU/L) | 0.84 | 0.74–0.93 | 0.25 | 75.0 | 88.9 | 94.7 | 57.1 |
| Basal FSH (IU/L) | 0.77 | 0.64–0.90 | 1 | 85.4 | 55.6 | 83.7 | 58.8 |
| Basal estradiol (pg/mL) | 0.70 | 0.56–0.85 | 25 | 76.2 | 61.1 | 82.1 | 52.4 |
| Uterine width (cm) | 0.80 | 0.66–0.94 | 1.7 | 83.7 | 58.3 | 87.8 | 50.0 |
| Uterine thickness (cm) | 0.78 | 0.66–0.90 | 1 | 73.5 | 64.7 | 85.7 | 45.8 |
| Uterine length (cm) | 0.72 | 0.60–0.85 | 3.5 | 62.0 | 64.7 | 83.8 | 36.7 |
| Uterine volume (cm3) | 0.83 | 0.72–0.95 | 3.5 | 73.8 | 66.7 | 88.6 | 42.1 |
| Bilateral ovarian volume (cm3) | 0.66 | 0.524–0.805 | 1.5 | 71.1 | 41.2 | 76.2 | 35.0 |
Sensitivity, specificity, PPV, and NPV when combining uterine ultrasonographic and basal hormonal parameters
| Uterine ultrasonographic parameter | Cut-off | Basal hormonal parameter | Cut-off | Sensitivity (%) | Specificity (%) | PPV (%) | NPV (%) |
|---|---|---|---|---|---|---|---|
| Width (cm) | 1.7 | Basal LH | 0.25 | 65.9 | 100 | 100 | 46.2 |
| Width (cm) | 1.7 | Basal FSH | 1.5 | 63.4 | 91.7 | 96.3 | 42.3 |
| Volume (cm3) | 3.0 | Basal LH | 0.25 | 65.0 | 91.7 | 96.3 | 44.0 |
| Length (cm) | 3.5 | Basal LH | 0.25 | 50.0 | 94.1 | 96.0 | 40.0 |
| Thickness (cm) | 0.9 | Basal FSH | 1 | 68.1 | 70.6 | 86.5 | 44.4 |
| Width (cm) | 1.7 | Basal FSH | 1 | 68.3 | 83.3 | 93.3 | 43.5 |
| Width (cm) | 1.7 | Basal E2 | 25 | 69.4 | 83.3 | 92.6 | 47.6 |
Clinical and laboratory characteristics of the girls with a prepubertal (PT, TV) or pubertal response (CPP) to a GnRH stimulation test
| Parameter | Prepubertal response (n = 18) | Pubertal response (n = 50) | P |
|---|---|---|---|
| Mean (SD) | Mean (SD) | ||
| Chronological age (years) | 6.37 (1.77) range 2–8.2 | 8.46 (1.46) range 4.8–11 | 0.41 |
| Bone age (years) | 7.91 (2.05) range 4–11 | 10.43 (1.88) range 6.8–12 | 0.85 |
| Uterine length (cm) | 3.34 (0.64) | 4.25 (1.18) | 0.007* |
| Uterine thickness (cm) | 0.95 (0.39) | 1.53 (0.71) | 0.001* |
| Uterine width (cm) | 1.49 (0.60) | 2.43 (0.96) | 0.31 |
| Uterine volume (cm3) | 2.56 (1.53) | 10.96 (11.58) | 0.001* |
| Bilateral ovarian length (cm) | 1.31 (0.31) | 1.48 (0.43) | 0.20 |
| Bilateral ovarian thickness (cm) | 1.09 (0.30) | 1.32 (0.44) | 0.15 |
| Bilateral ovarian width (cm) | 1.30 (0.31) | 1.43 (0.37) | 0.53 |
| Bilateral ovarian volume (cm3) | 1.69 (0.71) | 2.77 (2.06) | 0.01* |
| Basal LH (IU/L) | 0.22 (0.35) | 2.63 (3.99) | 0.001* |
| Basal FSH (IU/L) | 1.34 (1.51) | 2.90 (1.97) | 0.03* |
| Basal E2 (pg/mL) | 51.9 (54.6) | 134.6 (182.2) | 0.049* |
| Peak LH (IU/L) | 4.33 (2.75) | 41.29 (36.19) | <0.001* |
| Peak FSH (IU/L) | 9.45 (4.49) | 13.19 (5.61) | 0.28 |
| Peak E2 (pg/mL) | 53.9 (45.6) | 139.7 (196.3) | 0.10 |