Have a personal or library account? Click to login
Results of Experimental Research on Computerized Intellectual Monitoring Means of Effective Greenhouse Illumination Cover

Results of Experimental Research on Computerized Intellectual Monitoring Means of Effective Greenhouse Illumination

Open Access
|May 2018

Figures & Tables

Figure 1

Spectral characteristics of COB Cree CXA1304 LEDs [41].
Spectral characteristics of COB Cree CXA1304 LEDs [41].

Figure 2

Photo of the technical implementation of the laboratory greenhouse heating system (a – heating subsystem; b – artificial lighting subsystem; c – air humidification subsystem; and d – drip irrigation subsystem).
Photo of the technical implementation of the laboratory greenhouse heating system (a – heating subsystem; b – artificial lighting subsystem; c – air humidification subsystem; and d – drip irrigation subsystem).

Figure 3

Block diagram of the implementation of the method for evaluating the metrological characteristics of illumination sensors.
Block diagram of the implementation of the method for evaluating the metrological characteristics of illumination sensors.

Figure 4

Algorithm for conducting laboratory tests of the system under study.
Algorithm for conducting laboratory tests of the system under study.

Figure 5

Photo of the laboratory computerized greenhouse.
Photo of the laboratory computerized greenhouse.

Figure 6

Physical configuration of the setup for recording the conversion characteristics of the illumination sensors under testing.
Physical configuration of the setup for recording the conversion characteristics of the illumination sensors under testing.

Figure 7

Illumination change measured by means of standard Benetech GM1020 luxmeter.
Illumination change measured by means of standard Benetech GM1020 luxmeter.

Figure 8

Illumination measurement results for 4,470 lx (15 W·m−2).
Illumination measurement results for 4,470 lx (15 W·m−2).

Figure 9

Illumination measurement results for 44,700 lx (150 W·m−2).
Illumination measurement results for 44,700 lx (150 W·m−2).

Figure 10

Illumination measurement results for 89,400 lx (300 W·m−2).
Illumination measurement results for 89,400 lx (300 W·m−2).

Figure 11

Graphic comparison of the illumination measurement results obtained by GY-302 BH1750FVI sensor with those of the standard luxmeter Benetech GM1020.
Graphic comparison of the illumination measurement results obtained by GY-302 BH1750FVI sensor with those of the standard luxmeter Benetech GM1020.

Figure 12

The change in the relative error of illumination measurement of the GY-302 BH1750FVI sensor due to its measured value.
The change in the relative error of illumination measurement of the GY-302 BH1750FVI sensor due to its measured value.

Figure 13

Graphic comparison of the illumination measurement results obtained by the GY-302 BH1750FVI sensor with those of the standard luxmeter of the Benetech GM1020 type by means of the linear calibration equation.
Graphic comparison of the illumination measurement results obtained by the GY-302 BH1750FVI sensor with those of the standard luxmeter of the Benetech GM1020 type by means of the linear calibration equation.

Figure 14

The change in the relative error of the GY-302 BH1750FVI sensor from its measured value before (b) and after using the calibration equation (a).
The change in the relative error of the GY-302 BH1750FVI sensor from its measured value before (b) and after using the calibration equation (a).

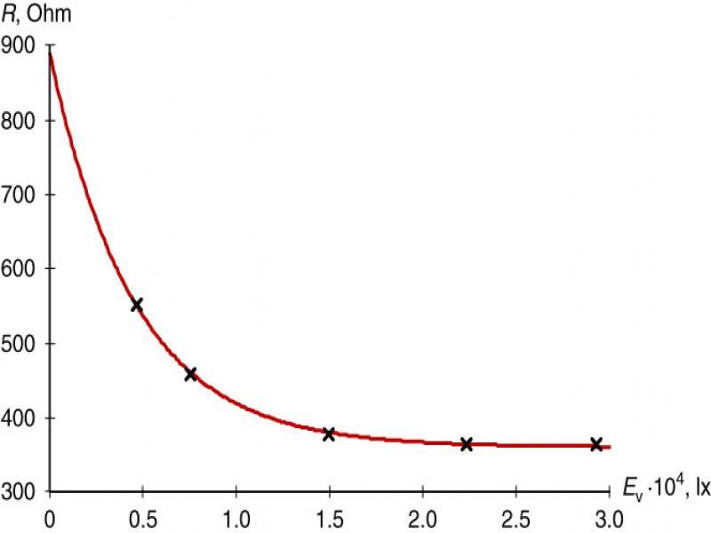
Figure 15

Resistance change of KY-018 VT83N1 module due to illumination.
Resistance change of KY-018 VT83N1 module due to illumination.

Figure 16

Conversion characteristics of KY-018 module due to illumination change to 30,000 lx.
Conversion characteristics of KY-018 module due to illumination change to 30,000 lx.

Figure 17

Graphic comparison of the illumination measurement results obtained by VT83N1 photoresistor of KY-018 module with those of the standard Benetech GM1020 luxmeter.
Graphic comparison of the illumination measurement results obtained by VT83N1 photoresistor of KY-018 module with those of the standard Benetech GM1020 luxmeter.

Figure 18

The change in the relative illumination measurement error by means of VT83N1 photoresistor of KY-018 module due to its measured value.
The change in the relative illumination measurement error by means of VT83N1 photoresistor of KY-018 module due to its measured value.

Basic technical specifications of the Benetech GM1020 luxmeter_

Specification, unitThe value specified by the manufacturer
Range of illumination measuring, lxFrom 0 to 2·105
Illumination measurement error, %±3 (to 104 lx); ±4 (above 104 lx)
Operating temperature range, °СFrom 0 to 40°С
Measurement speed, units·sec−1 2
Additional functionalityUSB interface; specialized software; built-in temperature meter

Technical specifications of XL4015E1-based DC-DC converters_

Parameter, unitsThe value specified by the manufacturer
Voltage input, VFrom 8 to 36
Voltage output, VFrom 1.25 to 32
Current output, А5
Power output, W75
Frequency, kHz180
Efficiency, %95
Operating temperature, °CFrom –40 to +85

Technical Specifications of COB Cree CXA1304 LEDs_

Specification, unitThe value specified by the manufacturer
Power supply, VFrom 9 to 10.5
Maximum power, W9
Color temperature, K3,000
Color rendering, CRIFrom 93 to 95
Brightness, lmFrom 330 to 366
Beam angle, °115
Operating temperature, °CFrom −40 to 85

Technical specifications of the heating element of the greenhouse heating system_

Parameter, unit.Mode АMode В
Heating element power, W165330
Output air temperature, °C40±555±6
Productivity, m3·sec−1 3·10−3 6.3·10−3
Energy efficiency of the heating element, kW·h−1 0.170.33

Emission characteristics of a LED under operation mode of 3_6 W_

Units0.1 m above the surface0.2 m above the surface0.3 m above the surface
PAR, µmol·m−2·s−1 1705124.5
Illumination, lx10,4003,0101,450
Power, W·m−2 34.810.55

Regulated information about the illumination regimes under protected horticulture conditions_

Regulated informationName of the authors or organizationsResearch yearRef.
The requirements for locations of measuring, frequency and accuracy of metrical control of effective illumination in greenhouse conditions are regulated: at canopy level, in center of growing area; preferably continuous, but not least hourly; total relative error should not exceed ± 10%Both, A. J., Benjamin, L., Franklin, J., Holroyd, G., Incoll, L. D., Lefsrud, M. G. and Pitkin, G.2015 Both et al. (2015)
The optimal light regimes for growing crops in greenhouse conditions have been established: for tomatoes – from 10,000 to 15,000 lx; for pepper – about 5,500 lx during 18 hrFood and Agriculture Organization of the United Nations2017 Food and Agriculture Organization of the United Nations (2017)
It is stated that effective illumination is a mandatory parameter for regulating the carbon dioxide content in the crop growing area, as well as for controlling the temperature regime for growing greenhouse cropsAmerican Society of Agricultural and Biological Engineers; Food and Agriculture Organization of the United Nations2008; 2013 American Society of Agricultural and Biological Engineers (2008), Food and Agriculture Organization of the United Nations (2013)

Technical characteristics of illumination sensors under testing_

Integrated sensor GY-302 BH1750FVI based on photodiodeKY-018 module based on photoresistor
It has a direct digital output; it is insensitive to background light; spectral response is close to visual sensitivity; supply voltage ranges from 3 to 5 V; working range of measurements is from 0 to 105 lx; I2C connection interfaceBuilt on the basis of the VT83N1 photoresistor type, which relates to sensors of a parametric type and is included in the voltage divider circuit; it allows measuring in the working range from 10 to 104 lx with a relative error of no more than ±10%

Technical specifications of the DS18B20 sensor_

Parameter, unitsThe value specified by the manufacturer
Power supply voltage, VFrom 3.5 to 5.5
Operating temperature range, °CFrom −55 to 125
Relative error of temperature measurement, %±0.5
Conversion time, ms750

The results of the analysis and logical synthesis of existing research findings on the influence of illumination parameters on cultivation efficiency_

Research subjectObtained resultName of the authorsResearch yearRef.
The study of the physical principles of density distribution of the photosynthetic photon flux by methods of numerical simulation and experimental testsThe method for calculating the density distribution of the photosynthetic photon flux in greenhouse conditions has been substantiatedCastellano, S., Santamaria, P. and Serio, F.2016 Castellano et al. (2016)
The study of productivity and obtaining photosynthetic characteristics of heat-resistant and heat-sensitive Lactuca sativa lines, depending on the duration of LED lighting exposureThe effect of different periods of red and blue spectrum LED illumination on the growth regime and photosynthetic characteristics of heat-resistant and heat-sensitive Lactuca sativa in greenhouse conditions has been studiedHe, J., Kong, S. M., Choong, T. W. and Qin, L.2016 He et al. (2016)
Evaluation of the influence of illumination quality characteristics on the amount of phytochemicals accumulated in greenhouse vegetablesA critical review and analysis of the effect of illumination quality on the amount of phytochemicals accumulated in greenhouse vegetables has been conducted. Prospective research directions in the field of LED technology for greenhouse illumination systems has been establishedZhong, H. B., Qi Ch.Ya. and Wen, K. L.2015 Zhong et al. (2015)
Evaluation of the effect of red and blue LED illumination on improving the growth and content of bioactive compounds in Acyanic and Cyanic Ocimum basilicum L. Microgreens It has been found that LED lighting in the blue and red regions of the spectrum has significant potential for improving growth parameters in Acyanic and Cyanic Ocimum basilicum L. Microgreens Lobiuc, A., Vasilache, V., Pintilie, O., Stoleru, T., Burducea, M., Oroian, M. and Zamfirache, M.2017 Lobiuc et al. (2017)
The effect of short-term red region illumination on the growth of greenhouse cropsThe effect of short-term red region illumination at wavelengths from 638 to 665 nm on the quality of crops has experimentally been evaluatedBrazaitytė, A., Sakalauskienė, S., Viršilė, A., Jankauskienė, J., Samuolienė, G., Sirtautas, R., Vaštakaitė, V., Miliauskienė, J., Duchovskis, P., Novičkovas, A. and Dabašinskas, L.2016 Brazaitytė et al. (2016)
Comparative analysis of various illumination systems for horticultural production of cropsThe calculations have been carried out followed by critical analysis of various illumination systems for horticultural enterprises from the point of view of energy savingGarcia-Caparros, P., Chica, R. M., Almansa, E. M., Rull, A., Rivas, L. A., García-Buendía, A., Barbero, F. J. and Lao, M. T.2017 Garcia-Caparros et al. (2017)
Analysis of the current state and recent advances in the field of gardening involving LED technologyAnalysis and synthesis of dependencies of various anatomical, morphological, physiological, photosynthetic and metabolic parameters on the characteristics of LED illuminationBantis, F., Smirnakou, S., Ouzounis, T., Koukounaras, A., Ntagkas, N. and Radoglou, K.2018 Bantis et al. (2018)
Improving the efficiency of crop production involving LED technologyIt has been proved that precise control of the light power depending on environmental parameters or certain physiological parameters, as well as the energy efficiency of crop production facilities, can be optimized by adjusting the parameters of LEDsGómez, C. and Izzo, K. G.2018 Gómez and Izzo (2018)
Quantitative evaluation of changes in growth, metabolism, yield and composition of flour in wheat, depending on the spectral composition and intensity of LED illuminationIt has been proved that LEDs are an effective tool for experimental cultivation of wheat, and they also allow optimizing growth conditions, metabolic processes, yield parameters and product qualityMonostori, I., Heilmann, M., Kocsy, G., Rakszegi, M., Ahres, M., Altenbach, S. B., Szalai, G., Pál, M., Toldi, D., Simon-Sarkadi, L., Harnos, N., Galiba, G. and Darko, E.2018 Monostori et al. (2018)
The influence of the spectral composition of white LEDs on the growth of Spinach (Spinacia oleracea)The results showed that different methods of illumination affect Spinach growth parameters differentlyBurattini, C., Mattoni, B. and Bisegna, F.2017 Burattini et al. (2017)
Solar radiation distribution inside a greenhouse prototypal with photovoltaic mobile plant and effects on flower growthThe patterns of distribution of solar radiation, the dynamics of temperature and humidity, as well as the intensity of illumination and the resulting indicators of floristic production have been obtainedColantoni, A., Monarca, D., Marucci, A., Cecchini, M., Zambon, I., Di Battista, F., Maccario, D., Saporito, M. G. and Beruto, M.2018 Colantoni et al. (2018)
Quantitative evaluation of the effect of various types of light sources on the parameters of pepper seedling growthThe effect of the intensity and spectral composition of various sources of artificial light on the qualitative and quantitative characteristics of pepper seedlings has been analyzedDemirsoy, M., Balkaya, A. and Kandemir, D.2018 Demirsoy et al. (2018)
The effect of long-lasting LED illumination of the red and blue regions of the spectrum on the anatomy of the leaves and the photosynthetic efficiency of ornamental plantsLeaf anatomy, stomatal traits and conductance, leaf hydraulic conductance, and photosynthetic efficiency were investigated in ornamental plants after eight weeks under LED lightZheng, L. and Van Labeke, M.2017 Zheng and Van Labeke (2017)
The study of the effect of continuous illumination of the red, blue and green LEDs on the reduction of nitrate content and enhancement of phytochemical concentrationsThe possibility of round-the-clock continuous use of red and blue LEDs in combination with green light to reduce nitrate content and improve the quality of the salad has been establishedBian, Z., Cheng, R., Yang, Q., Wang, J. and Lu, C.2016 Bian et al. (2016)
Language: English
Page range: 1 - 19
Submitted on: Nov 19, 2018
Accepted on: Jan 28, 2019
Published on: May 2, 2018
Published by: Professor Subhas Chandra Mukhopadhyay
In partnership with: Paradigm Publishing Services
Publication frequency: 1 issue per year

© 2018 I. Laktionov, O. Vovna, I. Getman, A. Maryna, V. Lebediev, published by Professor Subhas Chandra Mukhopadhyay
This work is licensed under the Creative Commons Attribution-NonCommercial-NoDerivatives 4.0 License.