Figure 1.

Figure 2.

Figure 3.

Figure 4.

Table 1.

Figure 5.

Figure 6.

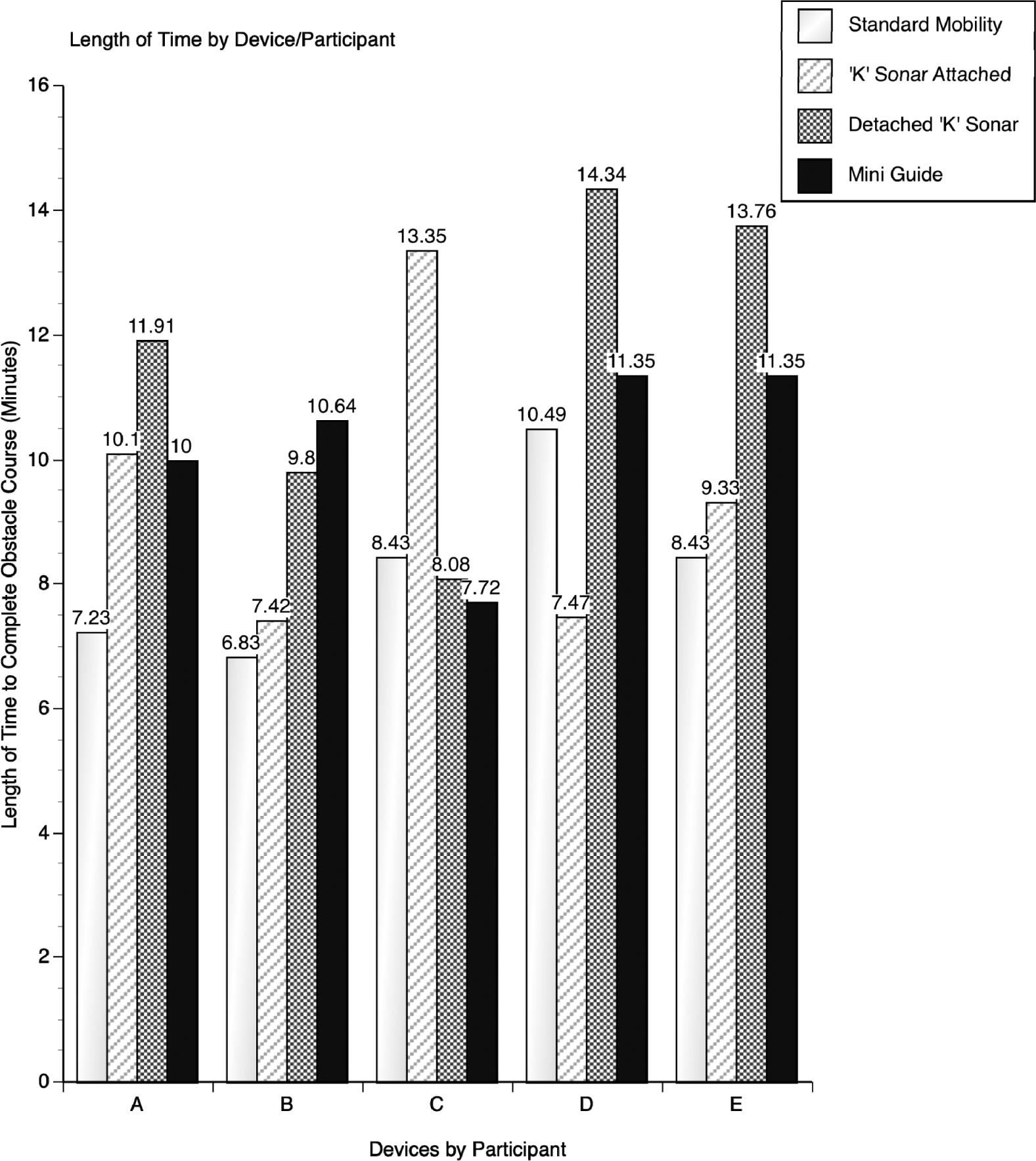
Figure 7.

Table 2.










© 2009 William M. Penrod, Thomas J. Simmons, Debra K. Bauder, Donna Brostek Lee, published by Guide Dogs NSW/ACT
This work is licensed under the Creative Commons Attribution-NonCommercial-NoDerivatives 4.0 License.