With the rapid popularization of the practical application of wireless communication system, the number of wireless communication users and user service demand have increased exponentially, but the radio spectrum resources which can be used in wireless communication services are extremely limited. The contradiction between the increasing demand of wireless service and the limited radio spectrum resources is becoming more and more prominent. MIMO multi antenna technology is a new type of wireless communication technology developed under this background. Multi antenna [1] can effectively improve the channel capacity and is widely used. Multi antenna technology can make full use of space resources to achieve multiple and multi harvest. Without increasing the spectrum resources and transmitting power of the antenna, it can increase the capacity of the system channel, and has obvious advantages in many technologies. It is regarded as the core technology of the next generation mobile communication.
However, the influence of channel parameters on receiver terminals can not be ignored in signal transmission. Therefore, a precoding algorithm based on M spread spectrum is proposed, which is pre processed before sending signals. In order to achieve the purpose of simplifying the receiving device.
MIMO multi antenna technology is a major breakthrough in antenna technology in the field of wireless mobile communication. In theory, it can improve the system capacity and frequency efficiency without increasing the time and frequency. Its concept is very simple. It needs a transmitter and a receiver that have multiple antennas to carry out signal transmission simultaneously, so that a wireless MIMO system can be formed. Figure 1 is a schematic block diagram of the MIMO system:

MIMO system schematic diagram
The transmitter mapped the data signal sent by the space-time map to multiple antennas and sent them out. The receiver sent the signals received by all the antennas to the space-time decoding to restore the data signals sent by the transmitting terminal. According to the difference of space-time mapping, MIMO technology can be roughly divided into two categories: spatial diversity and spatial multiplexing. Spatial diversity refers to the use of multiple transmission antennas to send signals with the same information through different paths, and at the same time, multiple independent fading signals of the same data symbol are obtained at the receiver end, thus obtaining the reliability of the diversity enhancement. For example, in the slow Rayleigh fading channel, using a transmitting antenna, the N root receiving antenna sends signals through N different paths. If the fading between antennas is independent, the maximum diversity gain can be N. For transmitter diversity technology, the gain of multiple paths is also used to improve the reliability of the system. In a system with the N root receiving antenna with the M root transmitting antenna, the maximum diversity gain of M*N can be obtained if the path gain between the antenna pairs is an independent uniform distribution of Rayleigh fading. At present, the commonly used spatial diversity techniques in MIMO systems are Space Time Block Code (STBC) and beamforming technology. STBC is an important coding form based on transmit diversity, the most basic of which is the Alamouti design for two antennas.
The signal model of MIMO multi antenna system:
The matrix is r = Hx + n, r is the received signal, H is the channel matrix, x is the transmit signal, and n is the noise signal.
The transmitter mapped the data signal sent by the space-time map to multiple antennas and sent them out. The receiver sent the signals received by all the antennas to the space-time decoding to restore the data signals sent by the transmitting terminal. According to the difference of space-time mapping, MIMO technology can be roughly divided into two categories: spatial diversity and spatial multiplexing. Spatial diversity refers to the use of multiple transmission antennas to send signals with the same information through different paths, and at the same time, multiple independent fading signals of the same data symbol are obtained at the receiver end, thus obtaining the reliability of the diversity enhancement. Spatial multiplexing technology uses multiple antennas to transmit independent data at the same time, thus increasing the data capacity of the system.
For example, in the slow Rayleigh fading channel, using a transmitting antenna, N root receiving antennas sends signals through N different paths. If the fading between antennas is independent, the maximum diversity gain can be N. For transmitter diversity technology, the gain of multiple paths is also used to improve the reliability of the system. In a system with the N root receiving antennas and with the M root transmitting antennas, the maximum diversity gain of M*N can be obtained if the paths gain between the antenna pairs is an independent uniform distribution of Rayleigh fading.
The diversity technique is mainly used to combat channel fading. Conversely, the fading characteristics of MIMO channels can provide additional channels to increase the degree of freedom in communication. In essence, if each fading between the transmit and receive antennas is independent, multiple parallel subchannels can be generated.
If we transmit different information streams on these parallel sub channels, we can provide transmission data rate, which is called spatial multiplexing. According to the correspondence between sub data stream and antenna, the spatial multiplexing system can be roughly divided into three modes: D-BLAST, V-BLAST and T-BLAST.
There are three main technologies in MIMO system: space multiplexing, transmission diversity and beamforming.
- 1)
Space reuse:
The system divides the data into multiple parts, and the system is transmitted on the multiple antennas at the transmitter. After receiving the mixed signals of multiple data, the parallel data streams are distinguished by the independent fading characteristics between different space channels. It achieves the purpose of obtaining higher data rate in the same frequency resource.
- 2)
Transmission diversity technology:
Taking the space time coding as the representative, the data stream is jointly encoded at the transmitter side to reduce the symbol error rate due to channel fading and noise. Space time coding increases the redundancy of the signal at the transmitter, so that the diversity gain is obtained at the receiver.
At present, the commonly used spatial diversity techniques in MIMO systems are Space Time Block Code (STBC) and beamforming technology. STBC is an important coding form based on transmit diversity, the most basic of which is the Alamouti design for two antennas.
- 3)
Beamforming:
The system generates a directivity beam through multiple antennas, concentrating the signal energy in the direction of the desired transmission, thus improving the quality of the signal and reducing the interference to other users.
Space reuse can maximize the average transmission rate of MIMO system, but only a limited diversity gain can be obtained. It may not be used in high order modulation, such as 16QAM, in the use of SNR.
Wireless signals will be reflected frequently in dense urban areas, indoor coverage and other environments, making the fading characteristics of multiple spatial channels more independent, thus making the effect of space multiplexing more obvious. Wireless signals are less in the suburbs and in rural areas, and the correlation between different spatial channels is larger, so space reuse is therefore reused. Which effect is much worse. The extra diversity gain and coding gain can be obtained by space-time coding of the transmitted signal, so the high order modulation can be used in the wireless environment with relatively small SNR, but the rate bonus of the space parallel channel can not be obtained. Space coding technology also performs well in situations where wireless correlation is large.
Beamforming technology can achieve better signal gain and interference suppression when it can acquire channel state information, so it is more suitable for TDD system.
Beamforming is not suitable for dense urban areas, indoor coverage and other environments. Due to reflection, on the one hand, the receiver receives signals from too many paths, which results in a poor phase effect. On the other hand, a large number of multipath signals will lead to the difficulty of DOA information estimation.
The application of MIMO technology makes space a kind of resource that can be used to improve performance, and can increase the coverage of wireless system.
- 1)
Improving the capacity of the channel
The MIMO access point can transmit and receive multiple spatial flows between the MIMO access point and the client side. The channel capacity can increase linearly with the increase of the number of antennas. Therefore, the capacity of the wireless channel can be doubled by using the MIMO channel. Without increasing the bandwidth and the transmit power of the antenna, the spectrum utilization rate can be doubled.
- 2)
Improving the reliability of the channel
By using the spatial multiplexing gain and spatial diversity gain provided by MIMO channel, multiple antennas can be used to suppress channel fading. The application of multi antenna system enables parallel data stream to be transmitted at the same time, which can significantly overcome the channel fading and reduce the bit error rate.
- 1)
Wireless broadband mobile communication
The wireless broadband mobile communication system with MIMO technology can be divided into two categories from the multi antenna placement method of the base station. One is that multiple base station antennas are arranged to form an antenna array and are placed in the coverage area. This class can be called a centralized MIMO, and the other is that the multiple antennas of the base station are scattered in the coverage area. It is called a distributed MIMO.
- 2)
Traditional cellular mobile communication system
MIMO technology can be applied directly to traditional cellular mobile communication systems, and the single antenna of base stations can be changed into antenna arrays. The base station carries out MIMO communication with the mobile station with multiple antennas in the cell through the antenna array.
- 3)
Combining with the traditional distributed antenna system
The combination of traditional distributed antenna system and MIMO technology can improve the capacity of the system. This new distributed MIMO system structure, distributed wireless communication system (DWCS), has become an important research focus of MIMO technology.
- 4)
The field of wireless communication
MIMO technology has become one of the key technologies in the field of wireless communication. Through the continuous development in recent years, MIMO technology will be more and more applied to all kinds of wireless communication systems.
- 5)
Radar field
MIMO technology is also used in the field of radar. It mainly uses multiple antennas to transmit different orthogonal waveforms, and covers large space at the same time, and uses long time coherent accumulation to obtain high signal to noise ratio.
The spread spectrum communication technology [5] is a way of information transmission. The bandwidth of the signal is far greater than the minimum bandwidth required for the information transmitted; the expansion of the frequency band is accomplished by an independent code sequence, implemented by the encoding and modulation methods, and is independent of the information data; the same code is used at the receiver. Related synchronous reception, expansion and recovery of transmitted information. The spread spectrum code is used to spread spectrum modulation at the sending end, and the correlation demodulation technology is used to receive the signal at the receiver.
Spread spectrum communication needs spread spectrum modulation to transmit spread spectrum modulation, and signal reception needs to be extended with the same spread spectrum coding, which provides the basis for frequency multiplexing and multiple access communication. Making full use of the correlation characteristics between the spread spectrum codes of different code types, it can be allocated to different users and different spread spectrum codes, which can distinguish different users' signals and do not be disturbed by other users, and the frequency reuse can be realized.
Spread spectrum signal is obtained by spreading the random sequence pseudo-random code to modulate radio frequency signal or to jump the frequency of carrier signal. Therefore, the spread spectrum system is different from the traditional communication system, and it can share the same channel resources to the maximum extent. Each system has a different extension sequence to reduce interference from other devices. Only recipients with the same extension sequence with the transmitter can restructure or compress the spread spectrum signal to obtain effective loading information. Even if a set of spread spectrum devices use the same channel to transmit signals in the same area, they will not interfere with each other if they use different spread spectrum sequences. The advantage of the channel reuse of spread spectrum system makes it the most ideal choice in the crowded environment of big cities.
At the transmitter, the input information is first modulated by the information to form a digital signal, and then the spread spectrum code sequence generated by the spread spectrum code generator is used to modulate the digital signal to broaden the spectrum of the signal. The broadened signal is then modulated to radio frequency. At the receiving end, the received wideband radio frequency signal is converted to the intermediate frequency, and then the local spread spectrum code sequence generated from the same origin is despreading, and then the information is demodulated into the original information output. Figure 2 is a schematic map of spread spectrum technology.

Principle diagram of spread spectrum
- 1)
Transmitting terminal
- i)
The information input from the transmitter is modulated by information to form a digital signal.
- ii)
Spread spectrum code generated by spread spectrum code generator to expand the spectrum of digital signal.
- iii)
The digital signal of RF generator is converted into analog signal and sent through RF signal.
- i)
- 2)
Receiving terminal
- i)
At the receiving end, the received RF signals are converted from high frequency to intermediate frequency that can be processed by electronic devices, and the analog signals are converted into digital signals.
- ii)
The spread spectrum code generator produces the same spread spectrum code as the sending end to despread the digital signal.
- iii)
Demodulating the digital signal into the original information output.
- i)
In technical implementation, spread spectrum is usually divided into several methods: direct sequence (DS) spread spectrum, frequency hopping (FH) spread spectrum, time hopping (TH) spread spectrum and linear frequency modulation (Chirp) spread spectrum.
- 1)
Direct sequence spread spectrum
The spread spectrum sequence with high bit rate is used to expand the spectrum of the signal at the transmitter. At the receiver, the same spread spectrum sequence is used to despread, and the spread spread spectrum signal is restored to original information.
- 2)
Frequency hopping spread spectrum
Multiple frequency shift keying is selected by using a sequence of codes. That is to say, the frequency shift keying modulation using the spread spectrum code sequence makes the carrier frequency jump.
- 3)
Time hopping spread spectrum
Cause the signal to jump on the time axis. First, the time axis is divided into many time pieces, which is controlled by the sequence of spread spectrum code in one frame. In other words, the time jump can be understood as the time shift keying of the multi time slice selected by a certain code sequence.
- 4)
Linear frequency hopping
The transmitted radio frequency pulse signal is broadened in one cycle, and the spread spectrum modulation method is mainly applied to radar.
As a mature high-tech technology, spread spectrum communication can be applied to:
- (1)
The dilute rural areas and underdeveloped areas of the remote people;
- (2)
The prosperous downtown area of the Saturated wired infrastructure;
- (3)
New communities with cable infrastructure lagging due to surging business requirements;
- (4)
User backbone/backup communication network to make up for the shortage of public network of Posts and telecommunications.
Pseudo random code (Pseudo Random Code, Pseudo Noise Code, PN code, pseudo-noise code) is a code with a similar white noise character, also known as a random (pseudo-noise) sequence. The structure can be pre determined, and can be repeatedly generated and copied, with a random sequence of random characteristics. Pseudorandom code sequences can be generated by the shift register network. The network consists of a RP cascade dual state device shift pulse generator and a modular two adder. White noise is a random process, the instantaneous value obeys the normal distribution, and the power spectrum is uniform in a wide band. With excellent correlation characteristics, the autocorrelation function of white noise is similar to the delta function. But it can not realize amplification, modulation, detection, synchronization and control.
Most pseudo random codes are periodic codes, which can be generated and copied artificially, usually generated by binary shift registers. With the nature of white noise, the correlation function has a sharp characteristic, the power spectrum occupies a very wide band, so it is easy to separate from other signals or interference with excellent anti-interference characteristics.
In engineering, pseudo-random codes are commonly used to represent pseudo random codes in two yuan domain 0, 1, 0 and 1 elements.
- (1)
In each cycle, the number of 0 elements and 1 elements is approximately equal, and the maximum is only one difference.
- (2)
Within each cycle, the number of element runs of k bit length appears more than twice as many times as the length of k+1 bits (the same element of the same r bit that appears continuously) is called the element distance of the length of the r bit).
- (3)
The autocorrelation function of a sequence is a periodic function and has a dual value property.
(2)
In the formula, N is the cycle of two yuan sequence, also known as code length or length; k is integer less than N; τ is symbol delay.
Pseudo-random codes have the following characteristics:
- (1)
The pseudo random signal must have sharp autocorrelation function, and the cross-correlation function value should be close to 0 value.
- (2)
There is enough code cycle to ensure the requirements of anti detection and anti-jamming.
- (3)
The number of codes is enough to be used as independent addresses to achieve code division multiple access requirements.
- (4)
It is easy to be produced in engineering. Birth, processing, reproduction and control.
Setting { ai } and { bi } is the two code sequence of N, so aN+i = ai, bN+i = bi.
Cross correlation function:
If Rab(τ) = 0, then ai is orthogonal to bi. Autocorrelation function:
- 1)
Narrow sense pseudorandom sequence
If the length of the code is N, the autocorrelation function of the { ai } sequence is
(5) - 2)
Generalized pseudorandom sequence
If the length of the code is N, the autocorrelation function of the { ai } sequence is
(6)
The m sequence is a pseudo random sequence, pseudo noise (PN) code or pseudo-random code. A sequence that can be determined and can be repeated is called deterministic sequence. A sequence of random sequences that cannot be determined in advance and can not be repeated. Sequences that cannot be predefined but can be repeated are called pseudo random sequences. The m sequence is a code sequence whose the cycle is 2^n − 1 generated by a n-linear shift register, which is the abbreviation of the longest linear shift register sequence.
For a n level feedback shift register, there can be up to 2^n states. For a linear feedback shift register, the full "0" state will not be transferred to other states, so the longest period of the sequence of the linear shift register is 2^n − 1. When the period of the {ai} sequence generated by the n level linear shift register is 2^n − 1, {ai} is called a n class m sequence. When the feedback function is a nonlinear function, a nonlinear shift register is formed, and its output sequence is nonlinear sequence. The maximum cycle of output sequence can reach 2^n, and the nonlinear shift register sequence with the maximum cycle value is called m sequence.
Generally speaking, in a n level binary shift register generator, the maximum length of code generation cycle is 2^n − 1. Take m=4 as an example, if its initial state is (a3,a2,a1,a0 )=(1,0,0,0), then a new input a4 =1 ⊕ 0=1 is generated by a3 and a0 mode 2 at the time of shift, and the new state becomes (a3,a2,a1,a0 ) = (1,0,0,0), so that the shift returns to the initial state 15 times, but if the initial state (0, 0, 0, 0), Then, after the shift, the whole state is 0, which means that the whole 0 state should be avoided in this feedback. There are 24=16 different states in the 4 stage. There are 15 kinds of availability except all 0 states, that is, the maximum period of the sequence generated by any 4 level feedback latch is up to 15, which satisfies the 2n-1.

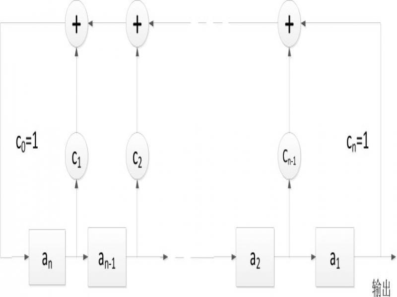
N class linear feedback latch
ai(i=0~n) - the state of the latch. ai=0 or 1 - feedback state. ci=0 indicates that the feedback line is disconnected, and ci=1 means the feedback line is connected.
Figure 3 shows the composition of a general pure feedback latch. The connection state of the feedback line is expressed in ci, ci=1 indicates that the line is connected, the ci=0 is disconnected, and the connection state of the feedback line is different, which may change the period of the latch.
In order to generate m sequences, the characteristic polynomial must be determined to determine the feedback structure of the linear feedback shift register. The characteristic equation of the N class linear shift register is defined as:
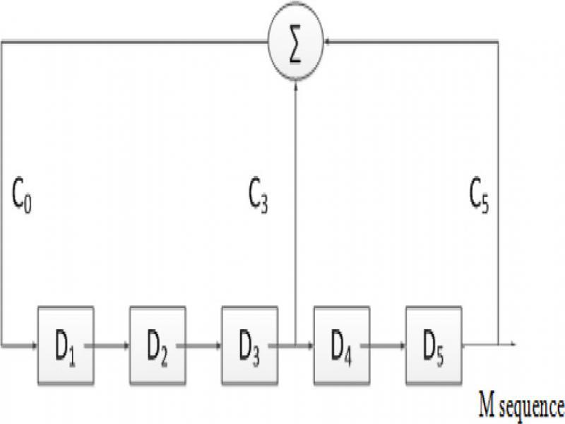
The original polynomial of the m sequence is as follows: A(x) = x5 + x2 + 1, Figure 4 is a shift register structure diagram.

Shift register structure diagram
The initialization register is [D5 D4 D3 D2 D1]=[0 0 0 0 1], the register first shifts left to see m (0) =0, and then according to the above picture, we can see feedback D1=C5 ⊕ C3. Because of the 5 order register, the code length is N=25-1=31. So 31 cycles are needed to get the required m sequence. The simulation results are as follows:

M sequence simulation result diagram
- 1)
Equilibrium
In a period of m sequence, the number of symbols "1" and "0" are roughly equal, "0" appears 2n-1-1 times, and "1" appears 2n-1 times ("1" more than "0").
- 2)
Run length distribution
Run length refers to the same element in the sequence. And the number of this element is called the length of the travel.
- 3)
Shift additive properties
A m sequence Mp is added to a different sequence of Mr, generated by any delay shift, modules 2 and is still a Mz of a delay shift sequence of Mp, that is, Mp ⊕ Mr=Mz. Now, the m sequence of a m=7 is now taken as an example, One period of Mp is set to 1110010, and the other sequence Mr is the result that Mp moves to the right one time, that is, a corresponding period of Mr is 0111001, the two sequence modules 2 and the corresponding period of the 1110010 ⊕ 0111001=1001011 upper form for Mz, which is the same as the result of the Mp shift to the right 5 times.
- 4)
Autocorrelation characteristics
Autocorrelation and cross correlation:
A m sequence and its shifted sequence are 2 bit by bit, the sequence obtained is also a m sequence, but the phase is different. The m sequence for 2 different phases in the m sequence generator. When the period p is large and the r module is p ≠ 0, the two sequences are almost orthogonal.
(8) - 5)
Periodicity
As the m sequence has periodicity, its autocorrelation function is also cyclical, and the period is m, namely R(j) = R(j − km), when j ≥ km, = 1,2,…
Figure 6.Periodic schematic diagram of m sequence
The maximum length of the m sequence depends on the progression of the shift register, and the structure of the code depends on the location and quantity of the feedback. Different tapped combinations produce code sequences of different lengths and structures, and some tap combinations fail to produce the longest cycle sequences. A great deal of research has been done on what kind of length and sequence of code can be produced by tap. The connection diagram of the 100 level M sequence generator and the structure of the generated m sequence have been obtained.
- 6)
Power spectral density
Power spectral density and autocorrelation coefficient constitute a pair of Fu Liye transform. Find out as follows:
(9) Because when m is large, the equilibrium of the m sequence, the range distribution, the autocorrelation and the power spectrum density are all similar to the white noise, but it has the regularity and can be repeated, so the m sequence belongs to a pseudo noise sequence.
- 1)
Application in communication encryption
The autocorrelation of m sequence is good, it is easy to produce and copy, and has pseudo randomness. Using m sequence to encrypt the digital signal, the encrypted signal has the characteristic of pseudo noise while carrying the original signal, so as to achieve the purpose of hiding information in the process of signal transmission; at the receiver, the m sequence is used again to decrypt and restore the original signal.
- 2)
The application of the radar signal design
In recent years, the signal used in the spread spectrum radar is a pseudo random sequence with a modulated noise character. It has a high distance resolution and velocity resolution. The receiver of this radar works by means of correlation demodulation. It can work at low SNR and has strong anti-interference capability. The radar is a kind of continuous wave radar, which has low probability of interception. It is a kind of new radar, high performance and suitable for modern high-tech war. The radar system using pseudo-random sequences as launching signals has many outstanding advantages. First, it is a continuous wave radar, which can make good use of transmitter power. Secondly, in a certain signal to noise ratio, it can achieve a good measurement accuracy and guarantee the single value of the measurement, which has a higher distance resolution and velocity resolution than the monopulse radar. Finally, it has strong anti-jamming ability, and the enemy will interfere with this wideband radar signal, which will be much more difficult than interfering with ordinary radar signals.
- 3)
Application in communication system
Pseudo random sequence is a seemingly random, actually regular periodic binary sequence, which has the properties similar to noise sequence. In CDMA, the address code is selected from pseudo random sequence, and a pseudo random sequence is used most easily in CDMA; m sequence is used to distinguish different users from different phases of the m sequence. For data security, a data mask (data disruption) technique is used in the paging channel and forward service channel of the CDMA, which is used to scramble the traffic channel with the m sequence of the length of 242−1, which is performed on the modulation characters output by the packet interleaver. Through the interleaver output character and the long code PN chip, the binary mode addition is completed.
On the basis of the original spread spectrum technology, the algorithm proposed a new technology. The general signal must have the matrix parameters of the channel itself during a certain channel during the transmission and reception. In this way, the reduction of the signal is difficult when receiving the signal at the receiving end. In other words, in real life, the general signal sending and receiving may make the device of the receiver complex. In order to simplify the receiving device, the inverse matrix of the channel is multiplied before the signal is sent, so that the purpose is achieved within a certain range of bit error rate.
The design steps are as follows:
Step (1): The data flow of the first user is {b1(k)}, {b2(k)} and {b3(k)}. The base station transmitter encodes the data of three channels to get coded signals S1(k), S2(k) and S3(k):
Among them, G1, G2, and G3 are generating matrices. The three spatial channel of user K uses three different encoding. G1, G2, and G3 corresponding check matrices are H1, H2, and H3;
Step 2): The coding signals S1(k), S2(k) and S3(k) of the K user are modulated by the channel matrix.
Among them, hij(k), i, j ∈ {1, 2, 3} is the attenuation coefficient of the base station transmitter antenna i to the k mobile receiver antenna j through the independent Rayleigh path. and the baseband modulation signals of the k users, z1(k), z2(k) and z3(k), k = 1,…,k are obtained.
Step 3): The base band transmitter modulates the baseband modulation signals z1(k), z2(k) and z3(k), k = 1,…,k and obtains the signal t(z1(k)), t(z2(k)) and tz3(k) based on the M spread spectrum precoding, and then the three antennas are transmitted respectively.
Step 4): The k mobile receiver uses the local despreading circuit to extract the baseband encoded signals y1(k), y2(k) and y3(k).
In formula 12, n1(k) is the baseband noise vector for the first antenna’s channel of the k mobile station receiver, n2(k) is the baseband noise vector for the second antenna’s channel of the k mobile station receiver, n3(k) is the baseband noise vector for the third antenna’s channel of the k mobile station receiver, t−1(r1(k)), t−1(r2(k)) and t−1(r3(k)) are the representations of despreading.
Step 5): The k receiver uses a local decoder to decode the received baseband signals y1(k), y2(k) and y3(k), and extracts the data streams of the base station to transmit data streams b1(k), b2(k) and b3(k), with b1(k)H1(k) = 0, b2(k)H2(k) = 0 and b3(k)H3(k) = 0 without error.
Taking the 3*3 antenna system as an example, a binary original signal with a sequence length of 9 is sent as shown in Figure 7. Before sending the signal, a binary signal with a spread spectrum growth of 15 is spread out with a precoding algorithm based on M spread spectrum, and the binary signal processed by the algorithm is shown as shown in Figure 8. after the receiver despreading. It is found that the original signal and the received signal have some error. Therefore, the different antenna systems using the algorithm, the error rate simulation under the same signal to noise ratio, and under the same antenna system, the algorithm is applied to simulate the error rate of the algorithm without using the algorithm.

Original signal

The signal received by this algorithm
The error rate simulation is carried out with different antenna systems. The results are shown in Figure 9. The bit error rate increases with the increase of the number of antennas at the same signal to noise ratio, but the bit error rate tends to be stable with the increase of signal to noise ratio. With the increase of the signal to noise ratio, the bit error rate decreases. For the same antenna system, the BER of the antenna system adopting the algorithm is significantly lower than that of the antenna system without the same signal to noise ratio.

Error rate simulation diagram
It can be concluded that the algorithm can be used to simplify the receiving device of the receiver to a certain extent. But in practical applications, the interference of various signals in the channel also affects the signal of the receiver, so the algorithm needs to be improved so as to adapt to various channels.
With the rapid development of science and technology, the demand for wireless service is not only the improvement of information rate, but also the high quality of receiving information. The space reuse and diversity technology of MIMO multi antenna communication system can effectively transmit and receive multiple data streams at the same time and in the same frequency band. Reasonable use of spatial multiplexing and diversity technology can not only improve information rate, but also improve system performance. It can greatly improve the spectrum utilization of communication systems and meet the high rate of users' communication needs. Therefore, it has received extensive attention and research at home and abroad. It has become one of the most promising technologies in the 5G mobile communication system.
In the actual production and life, sometimes too many complex equipment will affect the results and feasibility of the experiment, so we should also pay attention to the study of the technology, and we should also pay attention to the simplification of the equipment without affecting the experimental results.
The purpose of this project is to bring forward a new principle based on the original spread spectrum, according to the theoretical knowledge, so that the equipment can be simplified. In this way, a higher effect will be achieved in the application of the 5G MIMO system. However, due to the interference of all kinds of noise in the signal transmission, it will have a certain influence on the receiving signal. Therefore, the algorithm can be improved from the direction of interference coordination to reduce the impact of interference on the received signal.