Figure 1:

Figure 2:

Figure 3:

Figure 4:

Figure 5:

Figure 6:

Figure 7:

Figure 8:

Figure 9:

Figure 10:

Figure 11:

Figure 12:

Figure 13:

Figure 15:

Figure 14:

Figure 16:

Figure 17:

Figure 18:

Figure 19:

Figure 20:

Figure 21:

Figure 22:

Figure 23:

Figure 24:

Figure A1:

Figure A2:

Figure A3:

Performance calculations comparisons for HB vs backbone layout_
| Data sets | hb run time (s) | visone run time – quad Sim (s) | visone run time – tri Sim (s) | ||||||||||||
|---|---|---|---|---|---|---|---|---|---|---|---|---|---|---|---|
| Filename | File size (B) | No. of nodes | No. of edges | 1 | 2 | 3 | Avg | 1 | 2 | 3 | Avg | 1 | 2 | 3 | Avg |
| random-1000-nodes.graphml | 341,365 | 1,000 | 5,002 | 0.25 | 0.25 | 0.25 | 0.25 | 2.0 | 1.7 | 1.6 | 1.8 | 1.5 | 1.1 | 1.3 | 1.3 |
| random-10000-nodes.graphml | 3,555,915 | 10,000 | 49,826 | 0.67 | 0.69 | 0.70 | 0.69 | 7.3 | 6.9 | 6.8 | 7.0 | 7.0 | 7.1 | 6.8 | 7.0 |
| random-100000-nodes.graphml | 37,271,224 | 100,000 | 500,061 | 10.01 | 11.74 | 6.55 | 9.43 | 139.4 | 120.1 | 118.5 | 126.0 | 129.0 | 119.7 | 119.1 | 122.6 |
| random-250000-nodes.graphml | 95,452,841 | 250,000 | 1,250,487 | 16.84 | 15.36 | 15.24 | 15.81 | 349.3 | 357.3 | 361.3 | 356.0 | 356.8 | 352.7 | 334.5 | 348.0 |
| random-500000-nodes.graphml | 193,263,339 | 500,000 | 2,501,346 | 26.21 | 25.71 | 24.47 | 25.46 | >1,200 | |||||||
| random-1000000-nodes.graphml | 388,461,043 | 1,000,000 | 4,997,089 | 44.25 | 43.75 | 45.19 | 44.40 | Visone could not load graphml file. Insufficient memory | |||||||
| code-dna.graphml | 155,222 | 28 | 292 | <1 sec | <1 sec | <1 sec | <1 sec | <1 sec | <1 sec | <1 sec | <1 sec | <1 sec | |||
| jazz-directed.graphml | 361,796 | 198 | 4,113 | <1 sec | <1 sec | <1 sec | <1 sec | <1 sec | <1 sec | <1 sec | <1 sec | <1 sec | |||
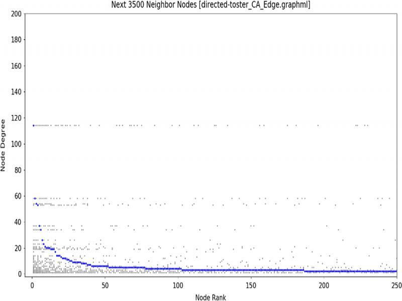
| toster_CA_Edge.graphml | 5,349,861 | 23,916 | 75,050 | 1.02 | 0.96 | 0.96 | 0.98 | 20.6 | 19.8 | 20.1 | 20.2 | 17.1 | 18.9 | 17.8 | 17.9 |
| iran-tweet-replies.no-retweet.by-userid.graphml | 294,153,484 | 228,626 | 440,244 | 1.26 | 1.12 | 1.13 | 1.17 | >1,200 | |||||||
Comparing HB features to other graph analytic and visualization algorithms_
| Feature | Hairball buster | Histogram/node-degree display | Force-directed | Visone backbone | Adjacency matrix | Block modeling |
|---|---|---|---|---|---|---|
| Understanding node relationships and graph characteristics | ||||||
| 1. Distribution of nodes by degree | Yes | Yes | No | No | Nof | Nof |
| 2. Quickly determine the number of high-degree nodes | Yes | Yes | No | No | Yes | Nof |
| 3. Quickly identify which are the highest degree nodes | Yes | Yesa | Nob | No | Yes | Yes |
| 4. Determine if the highest degree nodes are directly connected to other high-degree nodes | Yes | No | Yesc | Nob | Yes | Yes |
| 5. Determine whether the highest degree nodes are connected to each other indirectly via two hops | Yes | No | Yes | Yesc | Yes | Yes |
| 6. Determine which lower-degree nodes are directly connected to the high-degree nodes | Yes | No | Yes | Yes | Yes | Yes |
| 7. Provide visual cue of how much difference exists between the degree of the nodes, especially high-degree nodes | Yes | Yes | No | No | No | Yes |
| 8. Determine if there is one central cluster or many clusters that contain the highest degree nodes | Yes | No | Yes | Yes | No | Yes |
| Representing large or directed networks, or with weighted links | ||||||
| 9. Provide log–log or semi–log representation for very large data sets | Yes | Yes | No | No | No | No |
| 10. Can visualize both directed and undirected graphs | Yes | No | Yese | Yese | Yes | Yes |
| 11. Determine which nodes connect to the highest weighted links | Yes | No | Yesd | Yes | Yesg | Yesg |
| Other centrality measures, standard format, low calculation cost | ||||||
| 12. Distribution of nodes by other centrality measures | Yes | Yes | No | No | No | No |
| 13. Provide a canonical representation of the graph | Yes | Yes | No | No | Yes | No |
| 14. Low calculation cost | Yes | Yes | No | No | Yes | Noh |