Figure 1

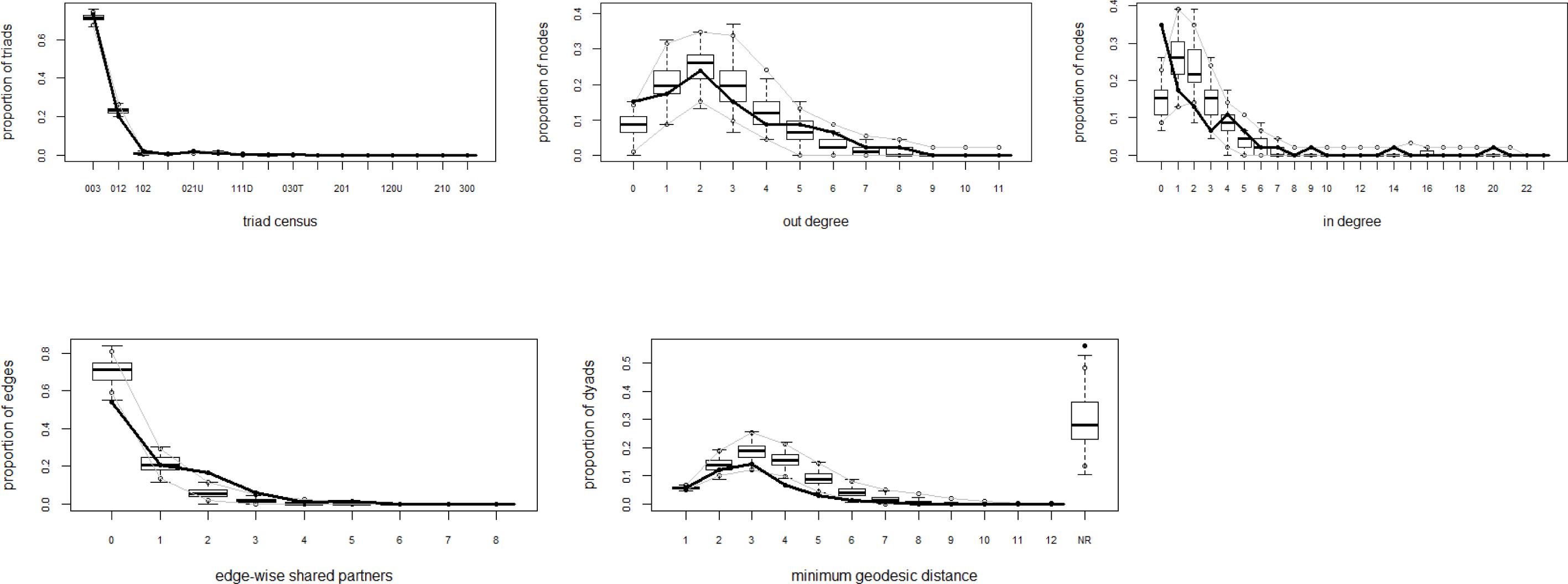
Figure A

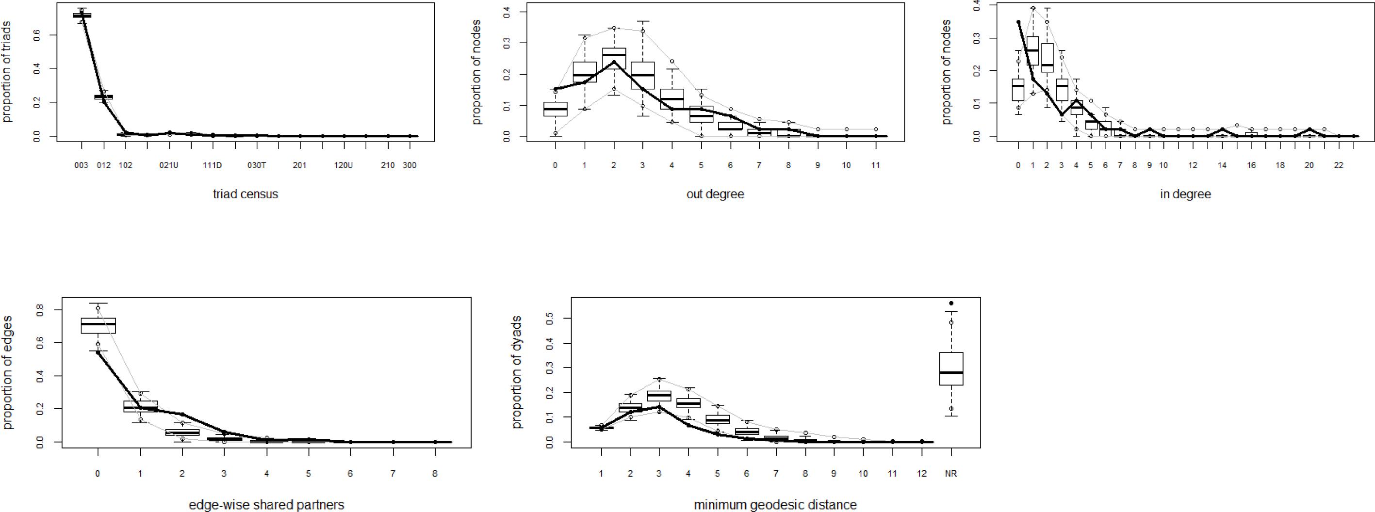
Figure B

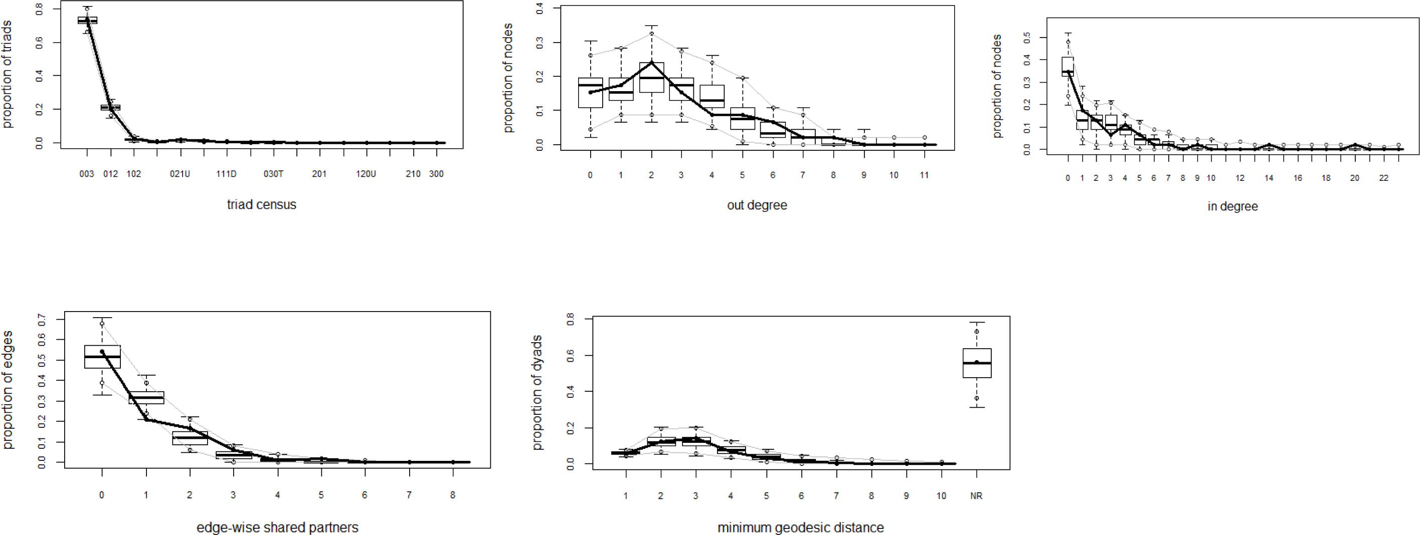
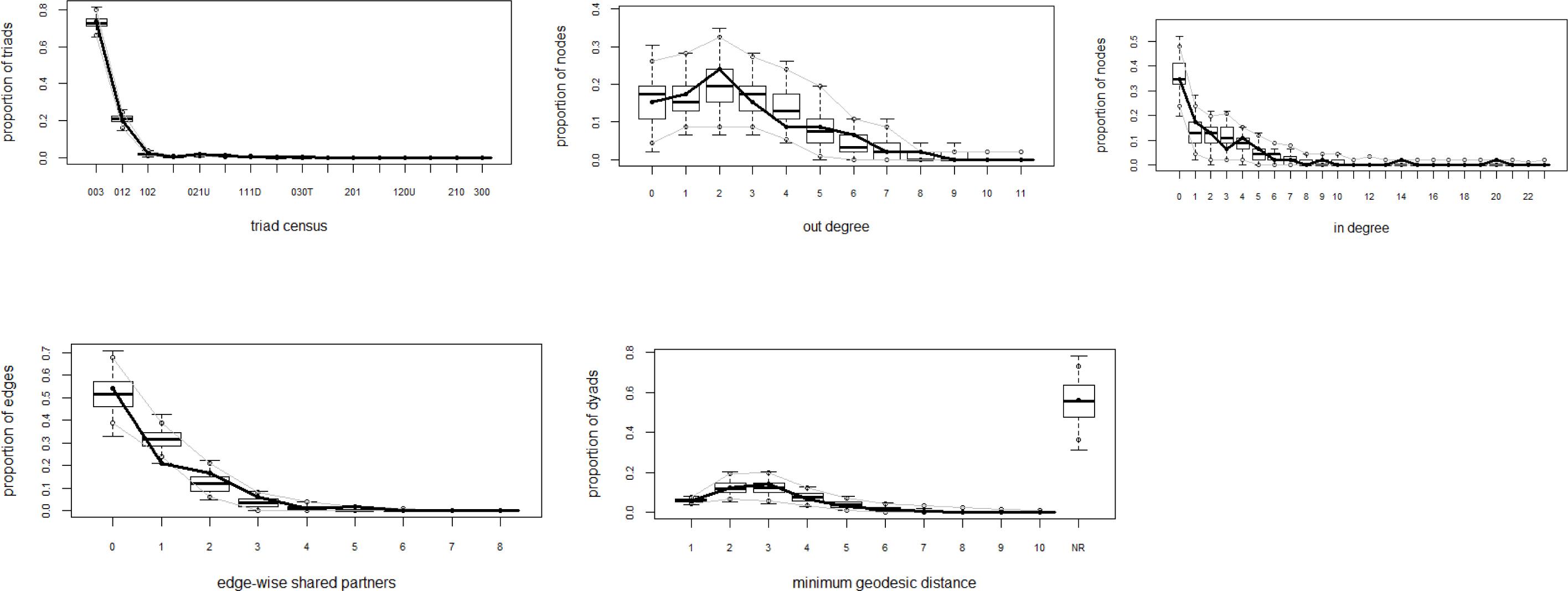
Figure C

ERG models of tie formations among theatre companies
| Model 1 | Model 2 | |
|---|---|---|
| Edges | -3.835 | -3.197 |
| (0.378) | (0.357) | |
| Age | 0.007 | 0.004 |
| (0.009) | (0.007) | |
| Funding out degree (NODEOCOV) | -0.953 | -0.924 |
| (0.587) | (0.654) | |
| Funding in degree (NODEICOV) | 1.766 | 1.171 |
| (0.313) | (0.323) | |
| City (NODEMATCH) | 0.161 | 0.095 |
| (0.220) | (0.171) | |
| Audience homophily class 1 (NODEMATCH) | 0.766 | 0.742 |
| (0.423) | (0.350) | |
| Audience homophily class 2 (NODEMATCH) | -0.184 | 0.070 |
| (0.361) | (0.330) | |
| Audience homophily class 3 (NODEMATCH) | 1.151 | 0.651 |
| (0.258) | (0.216) | |
| School performances (ABSDIFF) | 0.002 | 0.002 |
| (0.001) | (0.001) | |
| Reciprocity | 1.103 | |
| (0.463) | ||
| Popularity (GWIDEGREE) | -1.719 | |
| (0.484) | ||
| Expansiveness (GWODEGREE) | -0.560 | |
| (0.517) | ||
| Transitivity (GWESP) | 0.472 | |
| (0.190) | ||
| Hierarchy (GWDSP) | -0.070 | |
| (0.052) | ||
| AIC | 816.8 | 787.2 |
| BIC | 867.5 | 866.1 |
Network descriptives
| directed | un-directed | |
|---|---|---|
| Density | 0.058 | 0.105 |
| Avg. degree | 2.609 | 4.739 |
| In-centralization | 0.395 | 0.392 |
| Out-centralization | 0.122 | - |
| Avg. distance | 2.897 | 2.537 |
| Avg. clustering coeff | 0.231 | 0.414 |