Figure 1.

Figure 2.

Figure 3.

Figure 4.

Figure 5.

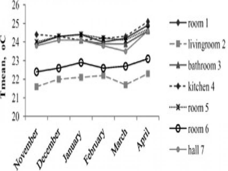
Figure 6.

Figure 7.

Figure 8.

Figure 9.

Figure 10.

Figure 11.

The required and measured exhaust air flow
| Room | The required exhaust air flow, m3/h | The measured exhaust air flow, m3/h |
|---|---|---|
| Kitchen | 70 | 9.90 |
| Bathroom | 50 | 15.24 |
| Toilet | 30 | 18.49 |
Room characteristics
| No of room | Kind of room | Area | Volume | Characteristic |
|---|---|---|---|---|
| m2 | m3 | |||
| 01 | room 1 | 11.10 | 27.75 | Student’s living-room and bedroom. The door is often closed. Heated in wintertime. |
| 02 | living-room 2 | 17.40 | 43.50 | Living-room and dining room. The room is empty at night. In winter time heating isn’t required all the time. |
| 03 | bathroom 3 | 3.20 | 8.00 | Occupants take a bath in the mornings and evenings. Clothes are dried very often. |
| 04 | kitchen 4 | 5.60 | 14.00 | Room without door, meals are prepared three times a day. |
| 05 | room 5 | 10.50 | 26.25 | Student’s living-room and bedroom. Heated in wintertime. |
| 06 | room 6 | 8.00 | 20.00 | Bedroom close to the staircase. Occasionally heated in wintertime. |
| 07 | hall 7 | 15.20 | 38.00 | |
| ∑ | 71.0 | 177.5 |
Results of airtightness measurement_
| n50, h-1 | V50, m3/h | C, m3/(h.Pan) | a, m3/(m.h.Pan) | |
|---|---|---|---|---|
| Underpressure | 1.14 | 195 | 15.15 | 0.32 |
| Overpressure | 1.18 | 202 | 14.20 | 0.30 |
Air change rate according to PN-EN 12831 standard
| Building | Airtightness requirement at 50 Pa pressure n50, h -1 | ||
|---|---|---|---|
| high airtightness | medium airtightness | low airtightness | |
| Single family buildings | <4 | 4÷10 | >10 |
| Multifamily dwelling houses | <2 | 2÷5 | >5 |