1. Introduction
The social-ecological systems (SES) framework has been proposed and is widely cited as a tool for advancing empirical SES research, developing SES theory and progressing sustainability science (Ostrom 2009; McGinnis and Ostrom 2014; Cox et al. 2016). However, there are few studies which demonstrate its potential for facilitating interdisciplinary and mixed-method empirical examinations to advance SES theory (Thiel et al. 2015; Partelow 2016). This is in large part due to ambiguities in understanding the relationships between the many nested concepts and variables in the framework, which have different disciplinary origins. In addition, there are few attempts demonstrating how mixed-method data collection and analytical methods can be facilitated in practice. This includes defining SES concepts, developing indicators, testing field methods and integrating diverse data between multiple disciplines.
In this article, we attempt to advance interdisciplinary methods within SES research by operationalizing the SES framework in the context of pond aquaculture systems (Hinkel et al. 2015; Leslie et al. 2015; Partelow 2015). We apply our approach to a community-based pond aquaculture system located in a deforested mangrove estuary on the island of Lombok, West Nusa Tenggara, Indonesia. We focus on the communities of Bertong, Madak and Empol in the district of Sekotong on the island’s southwest peninsula (Figure 1). Our research design builds on the approach demonstrated by Leslie et al., (2015) and draws on existing literature applying the framework e.g. (Schlüter and Madrigal 2012; Macneil and Cinner 2013; Cox 2014; Partelow and Boda 2015). We examine our case study at two levels, the whole community and the individual ponds as distinct units of analysis.

Figure 1:
(A) Indonesia and location of Lombok. (B) Lombok and location of study site near the Sekotong Peninsula. (C) Satellite image over our three study sites Madak, Empol and Bertong. Top of the image is the mouth of the estuary into open water. Aquaculture ponds can be seen as square farming plots (Map data: Google, DigitalGlobe).
1.1. Aquaculture in Southeast Asia and Indonesia
Aquaculture is the fastest growing food production sector worldwide, bringing both potential solutions and new challenges for marine and coastal sustainability (Troell et al. 2014; FAO 2016). Pond aquaculture is by far the most common type of fish production in the world, accounting for 65% of global fish production between 2005 and 2014, having the largest implications for food security in the sector (FAO 2016). However, the sustainability of pond aquaculture remains largely unexamined compared to other food production systems and wild-catch fisheries (Partelow et al. 2018). In Southeast Asia, aquaculture provides an additional or alternative livelihood for communities traditionally dependent on harvesting marine resources which have become severely exploited throughout the region (Halim 2001; White et al. 2005; Rimmer et al. 2013; Von Essen et al. 2013; Williams et al. 2014). Aquaculture has been considered a sector that can enhance the resilience of food systems compared to wild catch fisheries which are the last large-scale food source to make the transition from hunting and gathering to controlled production through farming (Neori et al. 2007; Klinger and Naylor 2012; FAO 2016).
In Indonesia, country level policies are driving research and development in search for new economic opportunities that can balance sustainable development trade-offs (Ferrol-Schulte et al. 2014). Securing nutrient rich food for a country of 250 million people scattered across more than 900 inhabited islands necessarily requires utilizing the vast abundance of coastal and marine resources in a sustainable way (White et al. 2005; Gurney et al. 2014). However, little is known about the challenges and impacts of transitioning livelihoods towards aquaculture, or the types of governance approaches or institutions which will be needed to secure a sustainable future for the sector (Eriksson et al. 2012; Von Essen et al. 2013).
1.2. Pond aquaculture systems
There are different types of coastal aquaculture, such as terrestrial pond-based systems and ocean-based mariculture (Swann 1992; Huong and Berkes 2011). In this study, we focus on a pond-based system which requires the maintenance of pond and canal infrastructure, typically constructed through networks of dikes and levees with earthen walls (Figure 2). Pond aquaculture systems are hybrid common-pool resource systems, with similar characteristics to irrigation systems in terrestrial farming. The production within private and ecologically semi-enclosed ponds is dependent on the sea water provided by a commonly owned and maintained system of canals. Regular seawater exchange through the common canals is essential to stabilize water levels, balance nutrients and expel waste generated by aquacultural practice in ponds. Water exchanged through the canal network is a point source to the ocean, which concentrates the waste water outflow from all ponds within a large area to a single location, which can lead to acute pollution. The mechanism of seawater transport is dependent on daily tidal fluctuations and on infrastructure maintenance. Ponds furthest away from the ocean are tail-enders when it comes to the quantity and regularity of water obtained. Sea water must travel through the network to reach each pond, and the further inland the more likely that canal infrastructure becomes a hindering factor. In contrast to mariculture systems, terrestrial ponds have physical boundaries between them, substantially isolating ecosystem conditions such as nutrient levels and pollution within each pond. This can create variability in production between ponds related to differing social and ecological conditions (Azim et al. 2002; Islam et al. 2005).

Figure 2:
(A) Seaweed harvested with a float. (B) Prawns and crabs naturally occurring in pond-canal network. (C) Milkfish. (D) Shrimp, naturally occurring. (E) Pond (green), canal (red) with manual water exchange gate (orange). (F) Salt production in dry ponds. (All photos taken by authors)
Pond aquaculture has considerable potential to be a reliable and secure mechanism for food and livelihood security when the biophysical conditions of the ponds can be controlled through knowledge of the conditions and mechanisms needed for different species to grow i.e. through water exchange (Sumagaysay 1998; Sumagaysay-Chavoso and San Diego-McGlone 2003; Laapo and Howara 2016). The conditions of the water will play a role in the rate and amount of production that is possible for different target species. The water conditions including salinity, pH, temperature, dissolved oxygen, nutrient levels (i.e. phosphorus and different forms of nitrogen) and any pollutant (i.e. heavy metals, pesticides) will affect the health and growth of the cultivated organisms (Lapointe and Ryther 1979; Garg and Bhatnagar 2000; Jana et al. 2006). External conditions affect pond water parameters, and seasonal changes such as rainfall can lead to changes in salinity and water depth (Braaten and Flaherty 2000). Knowledge of these dynamics is critical for making pond aquaculture a viable mechanism for food and livelihood security (Edwards 2000). However, this knowledge can be highly specialized, and capacity building and education to disseminate this knowledge for practical use in many remote tropical coastal communities often does not exist or is costly to accumulate and disseminate.
1.3. Analytical framework
The literature on common-pool resource (CPR) systems has become closely associated with that of social-ecological systems (SES) (Ostrom 2007; Cox 2014). In both streams of literature, resource use dilemmas have been shown to create difficulties in managing them sustainably due to combined social and ecological conditions and their multidimensional characteristics (Hardin 1968; Berkes 2008; Poteete et al. 2010). Individual use interests, often overharvesting or free riding, can conflict with the common interests of the group. Cooperation or collective action, either self-organized or externally motivated, has proven to be a key component for solving common-pool resource dilemmas (Poteete et al. 2010). However, collective action theories have not been frequently used to analyze tropical pond aquaculture systems despite the evident role they play in influencing changes in coastal commons (Huong and Berkes 2011; Bayazid 2016; Partelow et al. 2018). Research on collective action continues to examine why some groups can solve CPR dilemmas effectively through building institutions and changing them, while others do not (Dietz et al. 2003; Heinmiller 2009; Poteete et al. 2010; Agrawal 2014). Common frameworks have played a considerable role in providing a structure to define and compare system components, interactions and outcomes across systems (Ostrom 2009; Binder et al. 2013; Cox et al. 2016).
Frameworks “provide the basic vocabulary of concepts and terms that may be used to construct the kinds of causal explanations expected of a theory,” (McGinnis and Ostrom 2014). To advance SES theory, the use of conceptual frameworks can help guide the examination of social and ecological system components and their interactions in case study research (Partelow and Winkler 2016). The SES framework is a synthesis of concepts and variables from multiple disciplines. The framework is envisioned to be a common language of basic concepts for SES research and a diagnostic tool to help guide the identification of variables and interactions affecting system outcomes. The framework is conceptually constructed in a nested and decomposable way (Ostrom 2009; McGinnis and Ostrom 2014). The framework has multiple tiers of nested concepts, the first tiers include the Resource System (RS), Resource Units (RU), Governance System (Gov), Actors (A), Social, Economic and Political Settings (S), Interactions (I), External Ecosystems (Eco) and Outcomes (O). Second tier concepts are nested within each first tier (Table 1).
Table 1:
The social-ecological systems (SES) framework (McGinnis and Ostrom 2014).
| Social, Economic, and Political Settings (S) | |
| S1 – Economic development. S2 – Demographic trends. S3 – Political stability. S4 – Other governance systems. S5 – Markets. S6 – Media organizations. S7 – Technology. | |
| Resource Systems (RS) | Governance Systems (GS) |
| RS1 – Sector (e.g. water, forests, pasture) | GS1 – Government organizations |
| RS2 – Clarity of system boundaries | GS2 – Nongovernment organizations |
| RS3 – Size of resource system | GS3 – Network structure |
| RS4 – Human-constructed facilities | GS4 – Property-rights systems |
| RS5 – Productivity of system | GS5 – Operational-choice rules |
| RS6 – Equilibrium properties | GS6 – Collective-choice rules |
| RS7 – Predictability of system dynamics | GS7 – Constitutional-choice rules |
| RS8 – Storage characteristics | GS8 – Monitoring and sanctioning rules |
| RS9 – Location | |
| Resource units (RU) | Actors (A) |
| RU1 – Resource unit mobility | A1 – Number of relevant actors |
| RU2 – Growth or replacement rate | A2 – Socioeconomic attributes |
| RU3 – Interaction among resource units | A3 – History or past experiences |
| RU4 – Economic value | A4 – Location |
| RU5 – Number of units | A5 – Leadership/entrepreneurship |
| RU6 – Distinctive characteristics | A6 – Norms (trust-reciprocity)/social capital |
| RU7 – Spatial and temporal distribution | A7 – Knowledge of SES/mental models |
| A8 – Importance of resource (dependence) | |
| A9 – Technologies available | |
| Interactions (I) | Outcomes (O) |
| I1 – Harvesting | O1 – Social performance measures |
| I2 – Information sharing | O2 – Ecological performance measures |
| I3 – Deliberation processes | O3 – Externalities to other SESs |
| I4 – Conflicts | |
| I5 – Investment activities | |
| I6 – Lobbying activities | |
| I7 – Self-organizing activities | |
| I8 – Networking activities | |
| I9 – Monitoring activities | |
| I10 – Evaluative activities | |
| Related ecosystems (ECO) | |
| ECO1 – Climate patterns. ECO2 – Pollution patterns. ECO3 – Flows into and out of SES | |
1.4. Research design
This study examines how social-ecological system variables interact at and between multiple levels in pond aquaculture systems. We do this through a mixed methods analysis applying common-pool resource (CPR) and collective action theories. Two levels of the system are analyzed with separate but interrelated approaches.
At the community level we collect and analyze qualitative data to argue that certain social and ecological conditions are manifested from ineffective knowledge on how to maintain desirable pond conditions for aquaculture through improving water distribution infrastructure (i.e. canals). We draw on common-pool resource theory to hypothesize that the current social-ecological conditions present a supply-side provision dilemma to maintain canal infrastructure, which is related to creating, maintaining and improving the canals which the whole community depends on to regulate seawater exchange in their ponds (Ostrom 1990; Ostrom et al. 1994).
At the pond level, social and ecological indicators were developed and measured for each pond unit we sampled. All pond level data was transformed and combined into quantitative normalized scores to analyze and compare social-ecological relationships. We hypothesize that the ecological conditions will vary between the ponds and will become less desirable the further into the network (away from the coast). This would be due to continuously less effective water exchange, reducing productivity and income accordingly. Additionally, we build on the research from Leslie et al. (2015) to hypothesize that there will be positive relationships between scores of the first tier variables of the SES framework, social (Governance and Actors) and ecological (Resource system and Resource units). We further hypothesize that there will be positive relationships between the Interactions tier with the Actors and Resource units tier scores. In our discussion, we qualitatively analyze the link between pond and community levels of our analysis through examining multi-level social-ecological relationships. In addition, we attempt to discuss distinctions between proximate and underlying causes of the current conditions, combining our analysis across levels. We highlight the role of problem recognition, government investments and knowledge of the SES as key drivers.
2. Methods
The research design of this study is a multi-step procedure combining a community level qualitative diagnosis with the quantitative research design from Leslie et al. (2015). We expand on this approach to demonstrate how it can be applied at the local level and to conduct an intra-case comparative analysis of aquaculture pond conditions. Data collection was conducted between November and April 2016. Initial exploratory and observational phases focused on establishing contacts, meeting with local pond farmers, village leaders and community residents. Our exploratory observations and interviews were designed to gather data related to the concepts of the SES framework as well as to identify contextually relevant indicators to measure specific concepts at the pond level. Following our initial observations, we refined our focus to examine two units of analysis, recognizing two distinct levels in the SES: (1) the community level, and (2) the nested level of individual ponds, where each pond is considered its own social-ecological unit. Once we defined our two units of analysis, the next step was to identify appropriate indicators and the further methods needed to measure and analyze them at each level.
2.1. Community level
A total of 74 interviews were conducted with the help of a translator. Interviews were conducted in Indonesian (Bahasa) or the local language Sasak, depending on the interviewee. We conducted three rounds of interviews. After each round, the interview questions were revised following a diagnostic approach by asking nested sets of increasingly refined questions (Cox 2011). Snowball-sampling guided our selection of interviewees with multiple points of entry into the three communities. However, availability of individuals during field visits and working schedules mandated occasional convenience sampling after observing additional individuals to be included (n=16). The first round of interviews (n=13) thus focused on the structure and activities of the farming group in Bertong, the Actor (A) and Governance (Gov) characteristics in the community as a whole. Bertong was targeted first, due to the location of our contacts and leaders in the area. Subsequent interviews, within the first few days, led to individual contacts in the other communities. Upon completion of the first round, interview questions were further refined to generate structured interview data on the individual farmers of specific aquaculture ponds (n=35), who provided additional data on the community. Our aim was to link the social data of farmers with the ecological data from each pond. Interviews were conducted with pond farmers from all three communities. The indicators developed for the social data collection were linked to the SES framework concepts (Appendix 1).
Ten key informant interviews were conducted with members of the three communities and government actors in the regional district, who had been selected based on their leadership positions. Questions were designed to examine the broader role of local, regional and national government, including subsidy programs and historical development in the area such as the evolution and distribution of property rights. Interview data was organized by coding with the SES framework using the software MaxQDA. Statistical analysis was conducted in Microsoft Excel, OpenOffice and R (R Core Team 2016).
2.2. Pond level
At the pond level we hypothesized that individual ponds would have spatially variable social-ecological outcomes due to their location in the pond-canal network and due to the individual characteristics of the pond farmers. This was done to offer a more in-depth examination of pond aquaculture and marine SES case studies which often generalize characteristics at the community or regional level (Leslie et al. 2015; Partelow et al. 2018). Our approach draws on similar studies in irrigation systems, where the literature attempts to investigate the role of single individuals with distinct farming plots in a network (Janssen et al. 2011; Cox 2014). Thus we attempt to demonstrate that aquaculture ponds and social (individual) characteristics and outcomes may vary substantially within an otherwise perceived rather homogenous SES.
A sample of 62 ponds (Madak 14, Empol 11, Bertong 37) were analyzed as distinct social-ecological units, all ponds are biophysically separated by constructed mud walls (RS3) (Figure 1) and farmed by individuals (some farmers use more than one pond) (A1). We developed indicators to measure the social-ecological conditions of our sample ponds. The concepts, indicators and type of data collected are shown in Appendix 1 below. All data for the individual pond indicators were transformed and analyzed as normalized quantitative scores (Appendix 1). A higher score is associated with a more desired environmental, social or economic condition. Categorical data were expressed as either 0 or 1. Continuous data were ranked according to the 0, 10, 25, 50 and 75, 90 and 100 percentiles, which were assigned the values 0, 0.1, 0.25, 0.5 and 0.75, 0.90 and 1 respectively. The indicator values were matched to the closest percentile from the resulting ranking. In case a high value represents a less desirable condition, the inverse of the value was taken. The resulting scores are presented in Appendix 1. For the individual pond scores, data was attributed to multiple ponds if they were owned by the same user, with the exception of “pond size” and “distance along canals” which are unique to each pond. Pond area was determined using the QGIS field calculator. The distance of each pond upstream within the canal upstream was measured manually using the QGIS ruler tool (details below).
19 ponds in the community of Bertong were selected to represent a cross-section of distance from shore, spanning from the edge of the water to the most inland point near a main road. Data on physical parameters of these ponds were collected in two-week intervals from December to March 2016. Measured parameters included salinity, temperature, pH and oxygen content, which were measured using a WTW Multi 3430 multimeter (Xylem Analytics, Weilheim). Water depth was measured on two locations per pond, one in the opening of the main gate as a reference point and another at a random location, where the pond bottom was perceived to level off. This data was used to assess temporal changes due to seasonality and to test the hypothesis that pond location (distance into the network) negatively influences the variation in pond conditions and can be used as an indicator for equilibrium properties (RS6) and location (RS9) in our analysis (Appendix 1). Spatial analysis and representation of pond parameters and indicators for each pond was done using the mapping software QGIS (projection EPSG:102029, Asia_South_Equidistant_Conic). Pond polygons were manually digitized using satellite imagery sourced through Google Earth and projected into QGIS.
3. Results
3.1. Community level
3.1.1. Resource system (RS)
Pond-based aquaculture (RS1) in Bertong, Madak and Empol is situated in a coastal mangrove estuary near the Sekotong bay (RS9). Due to the natural landscape, the ecological boundaries are clearly defined (RS2).The low lying estuary is separated from the sea by a thin strip of beach with canal and river outlets, and otherwise surrounded by hills. The estuary is dominated by human constructed canals and aquaculture ponds built from mud (RS4; Figure 2). Local mangrove habitat has been deforested due to farming and the use of mangrove wood for distilling salt from seawater is an alternative income. Most ponds contain no mangrove trees or a low density of naturally occurring trees. Seasonality plays a significant role in the production of food and perceptions of environmental change. The island experiences two main seasons, the wet season dominated by consistent rainfall from November to April and a dry season from May to September (RS6). During the wet season, freshwater creates brackish conditions with higher water levels, providing the most suitable conditions for aquaculture. During the dry season, ponds either contain water with high salinity content or no water. Tidal fluctuations bring sea water into the pond-canal network. Due to uneven water distribution in the canals, the pond conditions fluctuate based on the location. We further discuss details of the Resource units (RU) and Resource system at the pond level below.
3.1.2. Resource units (RU)
Pond-based aquaculture is focused on the production of milkfish (Chanos chanos) and seaweed (genus: Gracilaria) (RU4), following region wide trends. The species are typically grown together as a co-culture (RU3). Resource unit mobility (RU1) does not play a role as the ponds have clear physical boundaries between them, controlled by manual floodgates. However, it is more difficult to harvest mobile resources such as fish compared to seaweed, as many of the ponds are large (Appendix 1). Salt is produced during the dry season, in smaller ponds, through evaporation. Naturally occurring species, including tiger prawns, wild shrimp, crabs and various other fish species are harvested periodically in small quantities as they enter the canals and ponds with the seawater (Figure 2). We further present characteristics of the Resource units (RU) below; as they differ at the individual pond level, including the economic value (RU4), number of units (RU5) and growth and replacement rate (RU2).
3.1.3. Governance system (GS)
Three organizations provide funding and help to manage the area in different ways (GS1; GS2). The regional government through the Department of Fisheries and Aquaculture instituted a five year program in 2013 to support aquaculture activities in rural communities through subsidies and training. The Indonesian Institute of Sciences (Lembaga Ilmu Pengetahuan Indonesia – LIPI) currently conducts a pilot project to cultivate juvenile sea cucumbers (Holothuria scabra) in the area with ambitions to advance the prospects for more valuable species. The Coastal Community Development program of the International Fund for Agriculture Development (IFAD) consults on the advancement of aquaculture activities. In order to receive government aid, community members need to form farming groups (I7). Groups can apply for specific projects related to group activities such as salt production, producing fish fry or receiving pumps for inland ponds. Support is never given as direct financing, but in the form of seaweed seed, fish fry, and equipment or as payment for labor to develop infrastructure (I5). The regional government officially monitors and enforces aquaculture activities in the region (GS8). They monitor the success of aquaculture groups who receive funding to assess future development aid. Farmers and community members provided mixed statements regarding the existence of formal rules for aquaculture or mangrove use. Few mentioned rules that cutting mangroves should come with a fine of 1,000,000 IDR (∼75 USD) and the need to plant 100 mangroves, but cutting mangroves was interpreted more as norm that is socially stigmatized. Our observations and interviews suggest this has never been observed by locals or enforced by the regional government (GS8). It was clear through observation in the communities that the use of mangrove wood for distillation fires and construction is regular. However, small patches of mangrove restoration areas are organized by the government and IFAD (I5). The use of poison to harvest fish from ponds is understood to be prohibited (GS5), but we received mixed statements that this may only be an informal rule. Gaining access to written community or regional government documents containing written rules was not possible, as written rules likely do not exist. In addition, there is a high presence of illegal gold mining in the local hills, which is common among the communities, suggesting a general lack of enforcement of any formal rules.
The self-organization (I7) of aquaculture groups is required by the government to apply for and receive subsidies, equipment and training (I5). Groups are required to have a leader, secretary and treasurer (GS3; GS7; see Actors below), which may or may not work together in shared ponds. Groups are typically family members or friends (A6). The relevance of collective choice arrangements within groups are unclear but likely negligible. Most members farm individually, with their group playing a minimal role except to receive aid, such as a pump (GS6). Pond ownership is regulated in a number of different ways (GS4) due to the historical continuity of land ownership and shifts in use over time (GS10). In 1989, the establishment of a shrimp farm changed the property rights system of parts of the area. An investor bought ponds, but has not used them since 1994, and abandoned a plan for a shopping mall in 2015 (I5). While this investor is the proprietor of many of the ponds, they are used by local farmers who now have a mixed system of self-owned, rented, and borrowed or profit sharing arrangements. The financial security of the tenure agreements was not examined in detail, but the general lack in financial planning suggests that foreshadowing financial security plays a minimal role in daily decisions on farming practice and spending.
3.1.4. Actors (A)
Aquaculture groups are supposed to have a maximum membership of 10 people (A1), who select a leader, secretary and a treasurer (GS3). The leader has an organizational role, distributing tasks among the group members (A5). In this study we interviewed members of 9 government supported groups, including most groups in the communities we were aware of, but others may exist. The average annual income per person from aquaculture, typically the main source of income, is 10,375,000 IDR (∼740 USD), which averages less than two USD per day (A2), far below the Indonesian national average (World Bank 2016). However, the vast majority of respondents stated that they feel financially secure. Culturally, the community is highly homogeneous, identifying as Muslim and/or Sasak, the local ethnic group. We observed apparent socioeconomic divides among older community members. Those who live slightly removed from the main pond areas have comparatively less desirable living conditions. These individuals also complained about inequalities of access to government resources through the group program. Overall, all three communities are remotely located in a rural setting with minimal access to public services and infrastructure (A4). This is relative to the rural development context within Indonesia as there is a basic school and hospital with a decent road to the area.
Aquaculture has been practiced for more than three generations, although largely unsuccessfully and with limited or no government support under different property rights arrangements. Many respondents consider it a part of their family history (A3). Much of the farming used to be for subsistence, however, prices for fish, seaweed and shrimp have increased and can now be sold on the market or to middlemen (A8). Illegal gold mining, roadside shops and agriculture supplement the income from aquaculture for many families. Farmers often assist each other, sharing seed and pond maintenance efforts (A6). This cooperation existed long before the aquaculture groups were formed. These groups have been formed from existing community networks among family and close friends. Theft from ponds is a problem, mostly from outside the community, as it is difficult to continuously monitor the ponds. Most individuals want to avoid conflict and police enforcement is lacking (I9).
Aquaculture is practiced in an artisanal way, using basic traditional tools and gill nets for harvesting fish, or floats to collect seaweed (A9) (Figure 2). One aquaculture group was given a motorized pump through the government support program to regulate water levels for salt production through evaporation. However, most individuals regulate pond water levels with tidal flows and manual floodgates (A9) (Figure 2). The need for pumps to clean the ponds or to keep the water levels high in the dry season was frequently stated and observed as necessary (A9). Tidal knowledge plays an important role in regulating the water levels and pond conditions, but the knowledge of farmers on how this relates to effective aquaculture practice and environmental stewardship is generally low (A7). The quality of ocean water coming into the ponds is assumed to affect all ponds similarly, and the ‘external’ ocean conditions were assumed to be consistent, the same across all ponds, and therefore not a determining factor. It only becomes an important variable in this analysis relative to the variance it creates between ponds in the network, which would be minimal. Environmental perceptions are largely shaped by seasonal changes, with the majority stating that the natural environment has not changed in their lifetime, but some said that they used to be able to collect more shrimp, fish and crab from the wild in the past (A7). Statements of seasonal predictability were varied along with the importance of mangrove in the estuary (A7). Individual variability is further examined at the pond level below.
3.2. Pond level
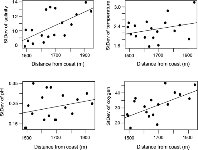
To test the hypothesis that pond conditions vary in relation to location in the network, we analyzed the standard deviations of salinity, pH and temperature in relation to distance into the canal network (from the coast) (Figure 3). The distributions of pond condition values, averaged over time, are shown in Figure 4. We observe positive relationships between pond conditions, salinity in particular, and distance into the network. This confirms our hypothesis. Salinity is the most relevant indicator of seawater infiltration. This suggests that pond conditions may become less stable and thus less desirable for aquaculture the further into the network due to continuously less effective and stable seawater distribution and exchange. As a result, the distance from the coast was used as an indicator for location (RS9) in the calculation of the social-ecological pond scores.

Figure 3:
The standard deviation of the water parameters measured in the sampled ponds. Ponds are represented as dots. Variation is generally shown to be dependent on the distance from the coast, up the canal network. Distance was measured from the center of the pond to the coast.

Figure 4:
Histograms of the frequency distribution of the average water parameter measurements for the ponds.
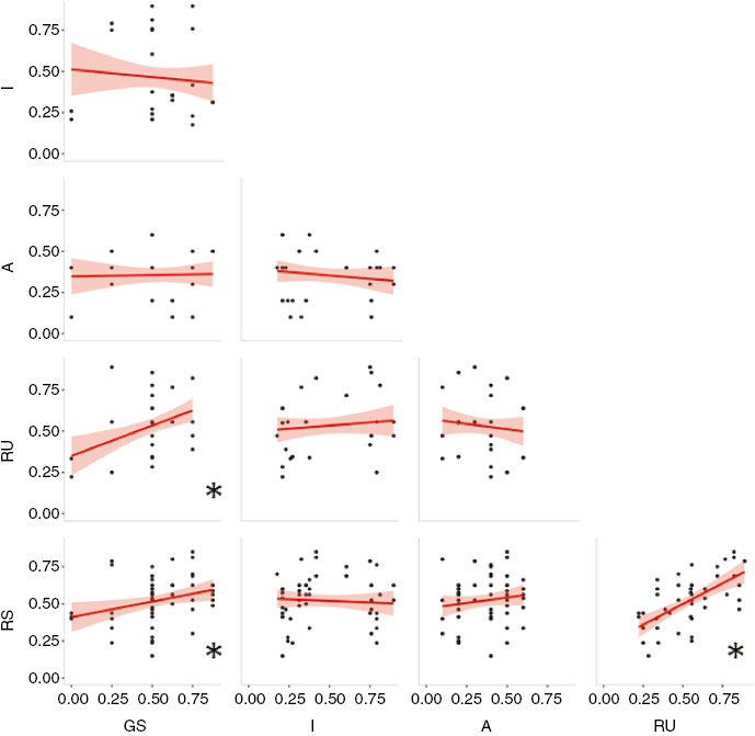
Indicator values were calculated into five scores for each pond, one aggregate score for each of the measured first tier variables (RS, RU, G, A, I) of the SES framework. The indicators, data ranges and weighting system for the calculation are shown in Appendix 1. First tier pond scores were plotted in a correlation matrix to analyze their relationships (Figure 5). As hypothesized, we observe a likely positive relationship between RS and RU, suggesting ecological pond conditions may influence aquaculture production and the income derived from it. In addition we observe a likely relationship between RU and GS as well as RS and GS, suggesting that pond ownership and group membership may relate to increased production. There was no significant relationship between A and GS or between I and RU. A total social-ecological score was calculated for each pond from the first tier scores, which are mapped and plotted in Figure 6. Despite spatially dependent ecological conditions, we observe that combined scores are spatially variable due to heterogeneity in the social conditions. Despite ponds which exhibited high individual 1st tier scores or high single indicator scores, few ponds have high combined scores or high scores across multiple tiers of the SES framework (Figure 6). Scores suggest that spatial heterogeneity may be influenced by governance and actor sub-scores (Figure 6). This seems to occur despite indications that ecological conditions may be influenced by location in the pond-canal network. In general, total scores are influenced by coupled social-ecological conditions.

Figure 5:
Correlation matrices between cumulative pond scores at the first tier level of the SES framework (every first-tier variable given the same weight). Axis labels refer to the 1st tier concepts GS (Governance System), A (Actors), RU (Resource Units), RS (Resource System) and I (Interactions). Trend lines are fitted with linear regression and the shaded area refers to the 95% confidence intervals. Models marked with an asterisk are statistically significant at p ≤ 0.05.

Figure 6:
(A) Spatial distribution of cumulative pond scores. (B) Number of ponds in each score category.
4. Discussion
Pond aquaculture presents a new and largely unexplored context for defining the conditions in which CPR dilemmas can manifest and for examining how community-based institutions and governance have evolved in response. In this section we sort through our case analysis to discuss how linked social-ecological conditions present challenges for improving the desired development goals for pond aquaculture in the area. Improving aquaculture production is the primary goal for LIPI and communities as revealed by our community level and key informant interviews.
Our diagnostic approach has asked nested sets of questions, starting with more general inquiries related to concepts of the SES framework, to more nuanced and specific sets of reevaluated research questions (Cox 2011). In doing so, we have demonstrated how a mixed method approach for applying the SES framework can be done. However, this has not come without difficulties in understanding how to appropriately characterize and diagnose pond aquaculture systems, as there is sparse literature to guide indicator selection and context appropriate methods within the sector. This has allowed room for developing a new methodological application of the SES framework and testing the fit of CPR and collective action theories in a new context, and the ability to differentiate their relevance at different levels of analysis (Faysse and Mustapha 2017).
4.1. Proximate causes and collective action
This analysis suggests that variable pond conditions are likely due to poor canal infrastructure and its management. This hinders effective water distribution and exchange. Canals are a shared resource between all pond farmers, and finding ways to collectively manage them is a central factor of achieving successful social-ecological outcomes. We can interpret this canal maintenance as the proximate cause of the variable and uneven distribution of pond conditions. Canal infrastructure is the common good provided in the system and it would deserve a lot more attention in a follow up study to understand how CPR problems manifest in pond aquaculture. However, the main focus of this paper is on applying the SESF. We observe a social-ecological link that is reinforced by this dilemma. Poor pond conditions hinder production capacity and stability. This instability is then transferred to the social conditions such as income generated. This is reflected above in the significant positive correlation between the ecological tiers (RU; RS) and the governance system (GS), as well as between the resource unit (RU) and the resource system (RS) scores. This supports similar observations by Leslie et al. (2015). It is of considerable interest to understand which specific social and ecological conditions are driving these relationships, and how these may affect the ability of the community to cooperate and build institutions which can effectively respond (Ostrom 1990; Poteete et al. 2010). We explore this in detail below with CPR and collective action theories. However, the main focus of this paper is on applying the SESF, but we reiterate the importance of the detailed analysis of canal infrastructure for a follow up study.
Minimal cooperative efforts exist in Bertong, Madak and Empol to address community and government desires to improve aquaculture development. We can briefly relate the conditions we observe to existing CPR literature for potential explanations. Farming groups have been externally motivated to self-organize in order to be eligible for government subsidies, which leaves an ambiguous answer to the idea that they are able to self-organize effectively through intrinsic motivations (without external incentives) with their existing capacity or knowledge of how the system functions (Poteete and Ostrom 2004). Leaders are mandatory to establish each group (Gutiérrez et al. 2011), but otherwise play a minimal role in further organizing group activities which may be similarly explained by the fact that they are not self-actualized in their role. However, there is likely some reason why these individuals were selected as leaders which may be related to social status, age or experience.
Organized farming groups are largely composed of extended family members with close relations and frequent communication, which suggests a certain degree of trust or social capital as a barrier for entry to the group (Poteete et al. 2010). However, the communities are relatively homogeneous in regards to culture, dependence on the resource and socioeconomic attributes, which may suggest a higher potential to cooperate collectively, and group sizes are relatively small, less than 10 people (Vedeld 2000; Poteete and Ostrom 2004). The ponds, community boundaries and canal network are clearly defined, and ponds are easily assigned a system of property rights (Ostrom 1990; Schlager and Ostrom 1992). However, while ponds are easily distinguished with property rights, the canals exist as the jointly owned common infrastructure, and there is a lack of formal or informal institutional mechanisms to deal with its provision. Similarly, there is a lack of formal and informal rules-in-use for aquaculture and the mangrove forests in general, as well as for monitoring pond or social conditions which have been shown to be important determinants of whether institutions are likely to achieve desired outcomes (Ostrom et al. 1994; Cox et al. 2010; Rahman et al. 2017). Some informal rules were mentioned but no enforcement or sanctioning has been observed or reported.
In summary, with the characteristics we observe, it is not surprising to see that the current conditions for collective action are fairly unfavorable. The prospects for improving aquaculture development will require institution building such as rules and procedures for canal maintenance as well as addressing the underlying challenges which are stagnating current conditions, which we explore below. In addition, it is important to recognize that this study cannot be considered fully exhaustive. As mentioned above, it is evident that social capital, mental models, trust and reciprocity very likely play a role, but we cannot support strong conclusions about their influence.
4.2. Underlying causes and the need for knowledge
A more underlying cause of inaction to improve pond aquaculture development is the lack of knowledge and problem recognition within government programs and among farmers. There is little awareness of pond conditions, how they fluctuate over time and how this affects ecological performance via water exchange from canals, and how this is ultimately coupled to social outcomes. Stabilizing temperature, salinity and pH levels in the appropriate combination is necessary and will differ between target species. Suitable equipment and training would be needed to monitor these parameters, but this requires targeted investments from the government or NGOs (GS8; I2; I9). Existing training programs have been well received and further requested, but these have focused on supporting current aquaculture procedures with subsidies rather than investigating what challenges exist and how to best address them. It is evident that government programs could better prioritize improving the canal network through monitoring, either themselves or by partnering with external researchers. Providing training on how and why the stabilization of pond conditions can improve aquaculture production may better incentivize collective maintenance efforts. Improved canal infrastructure could also help stabilize pond water levels during the dry season, and overall water quality throughout the year, potentially allowing year-round aquaculture or at least a prolonged growing season.
Salt production is a current solution for ponds during the dry season through a government sponsored pilot program. Salt can be stored year round and be sold when needed or when prices on the market are higher (RU6; RS8). However, income generated from salt production is considerably lower than for fish or sea cucumbers. Improved farming techniques will need to be informed through government or NGO programs. Milkfish are currently farmed due to their adaptability to high salinity ranges. If co-culture with more valuable commodities such as sea cucumbers is to be established, fluctuating pond conditions need to be considered. Sea cucumbers (H. scabra) are considered a robust species for pond aquaculture, but our results indicate that current pond conditions do not have suitable temperature and salinity ranges for them (Battaglene et al. 1999), despite active government research programs to pilot the development of sea cucumber aquaculture in the area.
Under the current intensity of use, seawater in-take is not a subtractable resource in this context. However, it may be in the future due to pollution or overcrowding such as in confined space mariculture systems. At the moment there is no competition between farmers over sea water appropriation, leaving the main challenge to improving the canal network which simply allows for the sufficient delivery of water. However this requires further problem recognition to motivate a collective effort among farmers to solve it, a task which government aid and NGO support has not been able to successfully achieve so far (Fujiie et al. 2005). If problem recognition increases, we can draw on common-pool resource theory to still foresee and view the case as a provision dilemma between farmers, depending on their location within the network (A4; RS9). In the ponds located closer to the coast, we measured more stable water parameters than in ponds further into the network (away from the coast), some of which even receive a high influx of freshwater during flooding and rainfall in the wet season. Thus there are different degrees of dependence on collective action to improve the network among farmers, and there are inherent asymmetric or heterogeneous preferences about the kind of joint investment needed, with incentives to free ride (Poteete and Ostrom 2004). There is greater variability of pond conditions further into the network. Even though seasonal temperature and salinity fluctuations will always occur to some degree, high variability could likely be mitigated for more predictable and stable production and income. In addition, selecting the appropriate species that can cope with fluctuating pond conditions and using seasonal species rotations may aid in maintaining productivity across seasonal changes (Wang and Lu 2015).
Here we reflect more broadly on the nature of pond aquaculture dilemmas, and how we can situate the type of dilemma we observe into the existing understanding of CPR dilemmas. The conditions for a provision dilemma exist, but the subtractability of seawater does not create a problem with appropriation. We are not aware of any literature which assesses whether cases faced with the dual dilemma of infrastructure provision and subtractable water appropriation such as irrigation systems, which is presumed to be a more difficult situation to solve institutionally, actually facilitates a more dire scenario where the joint problem is more easily recognized than cases with a single dilemma. Facing a dual dilemma increases the necessity of collective action due to more drastic consequences of inaction. However evidence that the severity of a dilemma leads to higher or lower cooperation is mixed (Osés-Eraso and Viladrich-Grau 2007; Cox et al. 2013; Blanco et al. 2015). In our case it is apparent that the single provision problem is not recognized or too subtle and indirect to generate sufficient collective efforts. It is worth considering the role of problem severity and persistence over temporal and spatial scales, such as the role of seasonality across aquaculture farming plots, when framing the conditions under which CPR dilemmas (particularly in diverse cases like aquaculture) effectively motivate collective action or effective institutional responses.
4.3. Assessing sustainability
Assessing the drivers of outcomes between multiple levels of a social-ecological system is a complex task. We have attempted an empirical analysis which may suggest that we are assessing the sustainability of Bertong, Madak and Empol, which we caution as being abstracted. We suggest a more nuanced discussion on the methodological process of attempting to understand how complex and context dependent systems function. This analysis evaluates the current pond level conditions with normalized indicator values, calculated to provide a pond score for each first tier variable of the SES framework (i.e. RS, RU, Gov, A, I). Justification for what constitutes a higher or lower value for any indicator was contextually grounded at the community level. However it is difficult to directly associate higher or lower pond scores to conditions which are sustainable for any given pond. The preferential condition for any individual may vary, or not align practically, with what we interpret as the more desirable conditions at the community level, or theoretically with normative values of sustainability in the literature or with the global agenda for sustainable development. Heterogeneous preferences for sustainable development likely exist within communities and across multi-level governance systems, and this has methodological implications for how we can measure and draw conclusions about sustainable outcomes in our research design.
For example, we assume in the community level analysis that a farmer who rents a pond would rather own his pond, and thus receives a lower score for the indicator of property rights because renting is less desirable due to the risks associated with decreased autonomy, regular costs and less economic certainty due to dependence on another owner (Feder and Onchan 1987; Acheson 2006). However, there may be other reasons that may explain why a farmer is renting a pond, which are more desirable for his particular situation, and this may change over time. Simultaneously, government subsidy programs may incentivize lending programs which favor the transfer of private property to state control to better enforce regulations. Many scales on which indicators are measured can be associated with normative value preferences which may differ from what is generalized as more desirable when creating the measurement scale at the group or community level. The variability in what contributes to a sustainable outcome for specific ponds is not reflected when preferential values are assumed to be homogenous and weighted equally in the calculation between all ponds. This is a methodological problem associated with comparing quantitative values on a fixed and generalized scale, and implicates the need for further research to understand dynamic value preferences and decision-making processes relative to normative goals at multiple levels, and how this may differ between individuals, groups and communities.
4.4. Methodology and theory for diagnosing aquaculture systems
The SES framework has been frequently applied in coastal and marine settings (Schlüter and Madrigal 2012; Basurto et al. 2013; Partelow 2015; Guevara et al. 2016). However, we are not aware of existing literature applying the framework to pond based aquaculture systems. We have found the framework well suited for examining aquaculture systems, in contrast to literature suggesting the need for adaptations to improve the detailed analysis of other sectors e.g. (Basurto et al. 2013; Epstein et al. 2013; Marshall 2015; Partelow and Boda 2015; Vogt et al. 2015; Guevara et al. 2016). In addition we are unaware of existing studies which apply this methodology (Leslie et al. 2015) in a community-based setting, or to compare units of analysis within a single case. This has revealed numerous methodological challenges, some of which confirm existing literature, and some being more nuanced in relation to our methodology and specifically to aquaculture systems.
A brief discussion is warranted on the implications of indicator selection and the use of mixed methods for comparative research. Indicators are often selected to measure the 2nd tier variables and concepts of the SES framework, and these selections as well as the methods to measure them are typically driven by a combination of the research questions and context. Our variable indicators may be suitable for application to other cases within this sector, but unlikely for cases with different settings (McGinnis and Ostrom 2014; Guevara et al. 2016; Partelow 2016) or different research questions. Comparing results with other applications of the framework outside the sector must proceed with caution. Identifying system conditions linked to outcomes becomes abstracted without considering the indicators used or context relevant definition of the concept it measures. Further meta-analysis work using the SES framework and within commons scholarship will need to find ways to address concept-indicator gaps to enhance the accuracy and transparency of synthesis work which contributes to theory building.
More specifically, this analysis provides numerous examples of the role that indicator selection and measurement play in determining results. For example, individual pond scores are influenced by the weight that each indicator is attributed. Multiple indicators may represent a single 2nd tier variable, and many second tier variables contribute to the aggregate score of each first tier. The relative influence that any indicator has on system conditions is difficult to assess empirically which makes it difficult to justify specific weighting calculations. In this case study, we gave all second-tier variables equal weights within the first tier. The influence that each indicator has on the final score or the first tier variable score thus depends on the number of indicators used. This raises the possibility of over- or under-representation. A possible way to address this issue would be to statistically investigate the influence of variables on fixed and measurable outcomes such as known ecological pond conditions which are viable for selected aquaculture species or income levels relative to meeting basic needs. However, as we discussed above in relation to sustainability, fixed scales for measuring outcomes or the more desirable conditions for any indicator will likely vary between pond units and individuals. Modelling may be a viable method to explore how changes in weighting affect outcomes across pond units. Modelling different scenarios based on different weightings of the importance of each variable in the system, or scenarios based on different normative assumptions (i.e. the preferences guiding the scale of each measured indicator such as preference for pond ownership vs renting, or preferences for being highly dependent on aquaculture as the only income source vs having multiple employments and income sources) is a viable direction for future work.
It is difficult to theoretically position or empirically analyze the influence of any single independent variable without considering interactive effects with others. This remains a challenge for interdisciplinary research on complex systems, and this analysis. This can be addressed by using mixed method approaches. At the community level we attempt to do so by qualitatively discussing distinctions between proximate and underlying causes. At the pond level, quantitative relationships can be examined between single indicators or aggregate second and first tier scores. However, there are many shortcomings in making claims about causal links in complex systems, particularly when relying on theory which is not fully developed to assess complex system dynamics or within the context of study, such as pond aquaculture. There are many potentially important interactive effects between variables in our analysis, between the first tier levels the framework (i.e. RS, RU, GS, A, I) and the two levels of the system we analyze (i.e. pond and community), which are not accounted for directly in this analysis. This study has aimed to provide a methodological guide post for SES research in pond aquaculture systems by using the best available knowledge and theory, which has made evident new potential hypotheses to guide future research.
For example, the relationship between resource unit production and resource system conditions may be oversimplified without considering how knowledge sharing among group members takes place or the role of theft on trust and reciprocity. Appropriate definitions of these variables are needed in the context to accurately assess them. This would require more extensive qualitative, observational and/or behavioral economics data. Both aspects are very difficult to empirically measure. In addition, property rights allocations and group leader selection is likely influenced by historically evolved social networks or community relationships which have developed power asymmetries between individuals in group decision making processes (Dasgupta and Beard 2007). Similarly, interest and cultural homogeneity may not play a significant role in influencing community level cooperation when we observe high dependence on government subsidy programs which prioritize group membership and group competition in the same communities for subsidy aid. This occurs despite apparent collective interests in developing the whole area and common canal network. This may change at the individual or family unit level, where working together to maximize income can only be done by distributing labor and time efficiently between the few family members involved. ‘Dependence on the resource’ is an important factor stressed by collective action theory, which needs to and can be very well explored in the pond aquaculture context. High dependence can be presumed to be an enabling condition for collective action that motives users, however, it also increases vulnerability due to changing ecological conditions which may limit fish production or economic conditions, e.g. fluctuating prices. Pond farmers repeatedly stated that they would prefer to only do aquaculture if it were possible, selecting to increase their dependence and vulnerability for specialization. The interactive mechanisms which influence the role of ‘dependence on a resource’ in collective action may be many, including the legality of other income sources, preferences for habit formation, predictability of labor and self-identity, as well as the role of specialization on fish production and general farmer well-being.
There are not yet many studies examining pond aquaculture from a collective action theory perspective. However, it becomes clear that canal infrastructure has clear commons characteristics. It is evident through this study that there is a crucial need to understand the ecological and social peculiarities of the system to effectively develop commons theory in the pond aquaculture context.
4.5. Policy outlook
This analysis suggests that numerous policy changes may assist in better achieving desired outcomes in Bertong, Empol and Madak. Participatory adaptive management to provide retentive capacity building and education efforts (Fujitani et al. 2017) to assist farmers in understanding how and why infrastructure improvements may improve pond conditions for production would likely be a fruitful step forward. Raising awareness among farmers that they face a collective action problem in the provision of common canal infrastructure would create additional knowledge to address maintenance problems. Capacity building and training programs will likely add more value to the current direct aid programs, which provide materials and seed. Communities will likely remain dependent on these programs until the overall social-ecological conditions improve through increased production and income. Farmers will likely be more motivated to work collectively on improving their common canal infrastructure when they have knowledge on how it helps their pond conditions, their production and ultimately their income. Recognizing the enabling conditions for collective action and mitigating the occurrence of a provision dilemma between head and tail-enders in the canal network will likely be necessary to improve the outcomes in all the communities. Leadership training, increasing knowledge of the system and subsidizing the appropriate species to be grown in the current pond conditions are evident improvements which could be made.
5. Conclusion
This study has built on previous research attempting to operationalize the SES framework through a mixed method research approach that integrates quantitative and qualitative data at multiple levels of analysis. We have adapted the methodology from Leslie et al. (2015) for application to community-based pond aquaculture systems. We have shown that pond aquaculture systems have potential to be effectively analyzed with common-pool resource theory, to be characterized as SES and diagnosed with the SES framework. This has allowed us to better understand the system dynamics which facilitate the current conditions, showing that relationships are suggested to exist between social and ecological variables on outcomes. We have shown that ecological pond conditions are likely to fluctuate based on location within the canal network, and argued that this is likely due to a lack of problem recognition to motivate collective efforts to improve infrastructure maintenance. Drawing on common-pool resource theory, we observe the conditions of a provision dilemma which may hinder efforts for farmers to cooperate and address existing challenges. In addition we have shown that relationships between first tier SES framework scores (conditions) of individual ponds can be tested with our methodology when indicators and measurement techniques are justified within the context. We observe relationships between the following pond scores: RS – RU, RU – GS and RS – GS, building the empirical understanding that finding sustainable pathways for aquaculture requires examining them as social-ecological systems. However, the approach we present can be critiqued and improved as a methodological foundation for further research. We highlight the role of context in indicator selection and measurement for data comparability. We have discussed the challenges with drawing conclusions on system sustainability when value preferences are likely to vary between individuals, groups, communities and the researchers involved.
Acknowledgements
This research was funded by the Leibniz Centre for Tropical Marine Research (ZMT). We are grateful to all the interviewees, local residents and assistants who gave their time and hospitality that allowed us to conduct this research.
Appendices
Appendix I
Indicators, normalized data ranges and weights used to calculate pond level scores. Each indicator is categorized by its relationship to the 1st and 2nd tier concepts of the SES framework. Theoretical importance of each indicator in the case context is shown.
| First tier | Second tier | Indicator | Theoretical importance | Normalized data (transformed) * Original data | Weight Second tier |
|---|---|---|---|---|---|
| RS | Size (RS3) | Pond size | Pond size reflects production capacity. | 1.00 – 54876 m2 0.90 – 10696.8 m2 0.75 – 6970.5 m2 0.50 – 4073.5 m2 0.25 – 3072 m2 0.10 – 1822.5 m2 0.99 - 667 m2 | 1/4 |
| RS | Productivity (RS5) | Kg of milkfish | Higher productivity indicates suitable pond conditions and leads to higher income. | 1.00 – 1125 kg year-1 0.90 – 785 kg year-1 0.75 – 450 kg year-1 0.50 – 258 kg year-1 0.25 – 1 36.5 kg year-1 0.10 – 100 kg year-1 0.00 - 0 kg year-1 | 1/4 |
| RS | Predictability of system dynamics (RS7) | Flooding | Floods damage ponds and growing conditions. Economic and labor losses incurred. | 1.00 – Never floods. 0.00 – Floods at least once a year. | 1/8 |
| Drying out | Drying out prevents aquaculture. | 1.00 –Never dry. 0.00 – Dry at least once a year. | 1/8 | ||
| RS | Location (RS9) | Distance from coast | Shorter distance along the canals leads to better water supply and more stable water parameters | 1.00 - 25 m 0.90 - 259 m 0.75 - 1000 m 0.50 - 1489 m 0.25 - 1835 m 0.10 - 2027 m 0.00 - 2164 m | 1/4 |
| GS | Network structure (GS3) | Group member | Membership provides access to subsidies and training. | 1.00 – Member of a group. 0.00 – Not a group member | 1/2 |
| GS | Property rights (GS4) | Ownership | Investment and conservation is more likely with owners (Acheson, 2006). Greater autonomy and are more likely pass it to future generations. | 1.00 – Owner of pond property 0.00 – Does not own. | 1/4 |
| Cost | Rent or profit sharing is an economic cost and implies a lack of autonomy. | 1.00 – Does not have to pay for pond use. 0.00 – Has to pay to use the pond. | 1/4 | ||
| RU | Resource units (RU) | Species grown | Multiple commodities increases earnings and resilience to prices and pond conditions. | 1.00 – milkfish, seaweed, salt and shrimp/crab. 0.50 – milkfish + 0.17 for each additional. | 1/3 |
| RU | Growth/ replacement rate (RU2) | Number of harvests | Indicates productivity and the potential earnings. | 1.00 – 4.5 harvests year-1 0.90 – 3 harvests year-1 0.75 – 2.5 harvests year-1 0.50 – 2 harvests year-1 0.25 – 2 harvests year-1 0.10 – 1.6 harvests year-1 0.00 - 0 harvests year-1 | 1/3 |
| RU | Economic value (RU4) | Income | Higher earnings indicate higher economic security. Higher earnings from aquaculture also make the continued use of this livelihood more likely. | 1.00 – 72,000,000 IDR year-1 0.90 – 19,600,000 IDR year-1 0.75 – 10,000,000 IDR year-1 0.50 – 6,250,000 IDR year-1 0.25 – 3,000,000 IDR year-1 0.10 – 1,000,000 IDR year-1 0.00 - 0 IDR year-1 | 1/3 |
| A | Leadership/Entrepreneurship (A5) | Leader | Group leadership indicates a certain level of social standing competence, influence or motivation. | 1.00 – Individual is a group leader. 0.00 – Individual is not a leader. | 1/10 |
| Entrepreneurship | The openness to sea cucumber cultivation indicates an interest in new aquaculture activities | 1.00 - Interest in sea cucumber cultivation 0.00 - No interest in sea cucumber cultivation | 1/10 | ||
| A | Social capital (A6) | Theft | Theft reduces harvest potential, predictability and trust (Agrawal, 2003). | 1.00 – Theft does not occur. 0.00 – Theft does occur. | 1/5 |
| A | Knowledge of SES (A7) | Perception of mangrove | The perception indicates knowledge of condition and importance for flood and erosion mitigation. | 1.00 – Mangroves are important. 0.50 – Important elsewhere. 0.00 – Not important. | 1/5 |
| A | Dependence (A8) | Number of livelihoods | High dependence on a livelihood higher likelihood to invest and cooperate with others. | 1.00 – High dependence, only livelihood. 0.50 – Medium, multiple livelihoods. 0.00 – Low, less important for livelihood. | 1/5 |
| A | Technologies available (A9) | Access to a pump | A pump can be used to regulate water levels in the pond in order to avoid drought or flood and the associated harvests losses and infrastructure damages | 1.00 - Access to a pump 0.00 - No access to a pump | 1/5 |
| I | Information sharing (I2) | Teaching aquaculture to next generation in the family | Teaching aquaculture to the next generation increases the livelihood that it will be practiced in the future | 1.00 - Teaches aquaculture as livelihood to children 0.00 - Does not teach aquaculture to children | 1/2 |
| Investment activities (I5)Investment activities (I5) | Hours spent working at pond per day | The more hours can be spent working at the pond, the better it can be maintained. More time investment also shows a willingness to invest in the livelihood | 1.00 - 7 hour day-1 0.90 - 6 hours day -1 0.75 - 5 hours day -1 0.5 - 3 hours day -1 0.25 - 1.5 hours day-1 0.10 - 0.75 hours day-1 0.00 - 0 hours day-1 | 1/12 | |
| I | Purchasing of fertilizer | Purchasing of fish feed, fish fry and seaweed seed show ability and willingness to invest in aquaculture practices aimed at increasing production | 1.00 - does purchase fertilizer 0.00 - does not purchase fertilizer | 1/12 | |
| I | Purchasing of fish feed | 1.00 - does purchase fish feed 0.00 - does not purchase fish feed | 1/12 | ||
| I | Purchasing of fish fry | 1.00 - does purchase fish fry 0.00 - does not purchase fish fry | 1/12 | ||
| I | Purchasing of seaweed seed | 1.00 - does purchase seaweed seed 0.00 - does not purchase seaweed seed | 1/12 | ||
| I | Receives government subsidies | Reception of government subsidies (mostly in the form of fish fry or seaweed seed) means that less personal investment needs to be made | 1.00 - does receive subsidies 0.00 - does not receive subsidies | 1/12 |
