1. Introduction
Contemporary property does not often fit comfortably into the classical ideal, from Blackstone, of sole and despotic dominion exercised with total exclusion to the rights of any other individual. Contemporary exchanges do not often fit the textbook economic image in which benefits and costs are all subsumed within the price and quantity agreed upon by buyer and seller, and in which the outcome from such transactions is entirely and invariably efficient. There is a growing literature regarding the necessity for bundling agreements among multiple relevant actors to a transaction and the probability that these lead to suboptimal outcomes. Nevertheless, the usual assumption, for instance in discussions of the so-called Tragedy of the Anticommons, is that bargaining inefficiencies would disappear under conditions of complete information, perfect rationality, and frictionless exchange. In this article, we argue that the assumption is incorrect. To make the argument, we need to reconsider the celebrated Coase theorem and the logic upon which it is based.
Ronald Coase began his celebrated paper on “The Problem of Social Cost” (1960) with the example of a negative externality in which a factory emits polluting smoke with “harmful effects on others”. His important observation was that the relationship is reciprocal, for any beneficial reduction in smoke emission equally entails harms to the factory. Interestingly, Coase immediately shifts from the plural to the singular. In the second paragraph of the paper, he formulates the problem as between two actors, A and B. Subsequent examples (e.g. between the farmer and the cattle rancher, or between the confectioner and the neighbouring doctor) continue the re-formulation in which the ostensible ‘offending principal’ and the ostensible ‘subjected victim’ are each cast as unified actors. No longer are the effects spread among multiple others.
This paper seeks to demonstrate that the Coase theorem falters when applied in the plural rather than the singular. The motivating insight is that the two-sided externalities game as a bi-lateral monopoly, with one polluter and one victim, is dissimilar in structure and outcome to the multi-sided game in which the n≥2 victims rationally play against each other as well as against the polluter. Our approach is quite different from those focused on transaction costs, which conclude that the complications from constructing and enforcing contractual agreements become magnified as the number of actors grows. It is also different from those emphasising the problems arising from strategic holdout, which increases the time and effort of negotiation (Cohen 1991) or which distorts outcomes as a consequence of dissimulation, bluffs, asymmetric capacities, or withheld information (Cooter 1982).
Instead, we preserve all the assumptions of the Coase ideal-world model, altering only the number of relevant parties. We introduce into the discussion the concept of anticommons, where two or more separate individuals have conjoint property rights over a shared good (Heller 1998). None of the owners of the right can by herself use or allow use of this good. Each has the ability to refuse or restrict use by others. Solution is found through the analytic tools of non-cooperative game theory; the Nash equilibrium result proves to be neither efficient nor invariant. The Coase theorem asserts that the costless calculations of rational maximisers will lead them freely to the optimal final allocation of resources regardless of the initial assignment of rights among them. Our reply is that such costless calculations do not lead to optimal allocation in cases of anticommons, where bi-lateral monopoly does not prevail. Moreover, bi-lateral monopoly is a rare occurrence; externalities most often affect several actors simultaneously.
The implication is quite sweeping. It should no longer be assumed that bundling suboptimality is a mere function of market imperfection, and that free and voluntary negotiation among the actors should automatically be the preferred social policy, in some ideal ‘Coasean’ world or in this world to the extent that a given situation approaches, as closely as possible, ideal market conditions. Instead, bundling suboptimality emerges as a systematic result, even under frictionless conditions, whenever the multiple separate holders of a property right must establish agreement among themselves as well as with the actor generating the externality. There is thus no logical predisposition either for or against privately negotiated solutions.
The paper proceeds in five sections. The first, for the sake of background, briefly describes the problem of social cost as a bi-lateral monopoly, establishing the Coase conclusion and identifying its inherent assumptions. The second and third shift away from bi-lateral monopoly, presenting and developing the logic of anticommons as a rational tragedy resulting systematically in Pareto suboptimality. The fourth applies anticommons to the problem of social cost, generating within the same restrictive assumptions quite different results than those advanced through the Coase theorem. The brief conclusion contrasts the approach adopted here with associated discussions in the literature, exploring the implications inherent to situations of multiple-actor strategic bargaining.
2. The Coase theorem as bi-lateral monopoly
Imagine that neighbour N lives next door to a factory that generates noxious smoke as a by-product of its normal industrial activity. The more production, the more smoke the factory generates. N wins from the court the right to live without the offending smoke. The factory cannot produce unless it obtains from N part of this right, for which it is willing to pay. The higher the per-unit price for pollution permits, the lower the quantity of permits the factory will purchase and thus the lower the level of production it will achieve. We assume that there is a one-to-one fixed relationship between the quantity of pollution permits purchased and the quantity of production from the factory upon purchasing those permits. Under the ideal conditions of the Coase theorem, the factory’s marginal cost function is MC(Q)=c+P, where c is the (constant) marginal cost of production and P is the price paid per unit of pollution permit.
N understands the factory’s demand for a portion of her right and, although sale is completely at her discretion, she recognises that there are available combinations of price and quantity that represent a utility gain over the no-pollution, no-payment status quo. Given her monopolistic control over the decision to sell, N’s rational strategy is to set a per-unit price such that the quantity of permits purchased by the factory yields a maximising return.
The factory confronts the neighbour N with a simple demand function for pollution permits:

The neighbour has a constant valuation v for a clean environment, and thus the sale of Q units of pollution permit entails a loss of vQ=v(1−(P+c)). The neighbour finds the price of pollution permits by maximising her net benefit:

The first order condition of her benefit maximisation is:

Solving (3) for P, the maximising price per unit of pollution permit is:

Inserting this into (1), the quantity of pollution/production units purchased by the factory becomes:

Conversely, when the factory has the entire property right, it faces the neighbour’s demand for unpolluted air, which it will accept to the degree that it receives compensation greater than the value of lost production. The neighbour, in essence, is purchasing some share of the pollution right from the factory, which it will then leave unused. The lower the unit-price, the greater the quantity of the factory’s pollution right the neighbour will buy. Thus the neighbour’s demand for buying a lower-pollution environment from the factory is:

The factory rationally maximises its net benefit

The first order condition of the firm’s profit maximisation is:

Solving (8), we have:

Neighbour N therefore purchases pollution reduction at the maximising quantity:

As anticipated for any such example of pollution externality with bi-lateral monopoly, the Coase theorem is clearly sustained. Equation (4) is identical to equation (9); equation (5) is identical to equation (11). The result is efficient and invariant regardless whether the neighbour or the factory is awarded the initial property right. Our argument, however, is that the Coase theorem can be sustained only on the limiting condition of bi-lateral monopoly. The outcome will be different upon the addition of multiple victims of a polluting factory and introduction of the tragic rational logic of anticommons.
For ease of presentation, we will henceforth assume that the marginal cost of production c and the neighbour’s valuation v = 0. The assumption is artificial but it does not affect the result we wish to emphasise. Thus, in lieu of (4) and (5), the first-order condition of the neighbour’s benefit maximisation becomes:

where πN denotes the neighbour’s net benefit from selling pollution permits to the factory. In lieu of (9) and (10), the first-order condition of the factory’s benefit maximisation is:

where πF denotes the factory’s net benefit from selling pollution reduction to the neighbour.
As with all formal models, the Coase argument relies upon a number of critical assumptions. George Stigler, who claims to have christened the proposition (1988, 77), asserts that the Coase theorem prevails under conditions of perfect competition (1966, 113). The claim seems somewhat odd, for the Coase examples all are formulated as two-party non-cooperative games of negotiation (Regan 1972; Schweizer 1988). The precondition emphasised by Coase was zero transaction cost, regardless of the number of parties involved. A complicated concept (Rose 1997; Fennell 2013), his formulation was that, for a successful market transaction, “it is necessary to discover who it is that one wishes to deal with, to inform people that one wishes to deal and on what terms, to conduct negotiations leading up to a bargain, to draw up the contract, to undertake the inspection needed to make sure that the terms of the contract are being observed, and so on” (1960, 15). The Coase theorem also assumes well-defined property rights and complete rationality for all the players, entailing that none would accept a lower payoff when a higher one is available as a consequence of unilateral action. Finally, the theorem entails exacting conditions about information. The relevant parties must have common knowledge that they are involved in a non-cooperative game with the potential to generate maximising payoffs. Similarly, they must have common knowledge regarding the main details of the game structure, including all demand and cost functions and the range of available payoffs to the various actors. Each player understands and chooses her benefit maximising position, and all other players know this and make their choices based on this knowledge. Therefore the players have no ability to maintain private information from their bargaining counterparts and thus no ability to disguise and deceive in the attempt to receive a bargaining advantage (Farrell 1987; Hahnel and Sheeran 2009).
The main issue is how to address strategic decisions and actions. The Coase model posits that all actors similarly have self-interest in securing returns equal to, if not greater than their reservation prices. It assumes that the process of calculating those returns and mutually discovering the equilibrium outcome is costless, imposing no deadweight loss and no distortion upon the negotiated logical conclusion. This cannot be interpreted to mean, however, that “strategic costs” must exist whenever an equilibrium outcome differs from Pareto efficiency, for that would transform the Coase theorem into a mere tautology impervious to any further discussion. Equally, it cannot be interpreted as ruling out all movements of calculated rational behaviour, for that would also deny the bids and responses essential within Coasean logic for rectifying any initial misallocation of resources. The object is to distinguish process from outcome, and to imagine a realm in which the strategic process is fully effortless, frictionless, and painless. The outcome, whether Pareto efficient or not, is then deduced from the combination of decisions within that costless realm.
Ronald Coase was adamant that the ideal and imaginary conditions inherent to the theorem that bears his name are not meant to be a representation of economic reality, but instead should serve merely as a baseline intended to prompt study of the actual world in which transaction costs are non-zero (1988; 1991). One can imagine challenges ‘external’ to the Coase theorem that target the situations where the theorem allegedly applies. Equally, one can imagine challenges ‘internal’ to the theorem, focused on the reasoning contained within. Our argument is of the latter sort. Thus we will maintain the stringent assumptions of the Coase model and not seek to adjust them to the real world of political-economic relationships.
3. On the anticommons tragedy
According to Michael Heller, who has been most responsible for developing and popularising the concept, anticommons is defined “as a property regime in which multiple owners hold effective rights of exclusion in a scarce resource” (1998, 668). The key premise is that the resource cannot be put to use without a bundling of approvals from the various separate owners. Yet bundling cannot be achieved apart from the rational maximising behaviours of the separate stakeholders, resulting systematically in inefficient under-utilisation.
Tragedy of the anticommons is contrasted against the more familiar tragedy of the commons. In the tragedy of the commons, each of the multiple owners of a collective property has unconstrained privileges of use without an effective way to limit the use privileges of others. By contrast, in the tragedy of the anticommons, each of the multiple owners of the collective property has unlimited rights of exclusion over the use privileges of others without the means to personally insure use privileges for herself or her designated agents.
In anticommons, each of the co-owners thus has the unconstrained ability to block or restrict supply of their joint property, whether directly through prohibitions and conditions upon the quantity made available or indirectly through the price charged for use or sale. Nevertheless, none of them can control the value generated by the property, for that is a consequence of the sum of all their individual decisions. At the core of anticommons problem, therefore, is the need to assemble separate permissions, all of which are necessary to enable usage. Each of the autonomous owners individually bears her own costs from granting use permission. Each owner is fully entitled to set her own limits upon permission, independent of all others. Only as a collective bundle, however, do these permissions allow the property to function effectively; only as the consequence of bundled agreements will the property generate some level of return to be allocated among the autonomous property owners.
The complication is that the benefits from successful bundling sit as a positive externality resulting from the permissions given. Each owner can realise only a portion of the anticipated gain and need not place any value on the portion secured by others. There is thus incentive for playing a strategic game over the distribution of rewards. The ultimate power for each player is her individual right to veto any proposed utilisation of the collective property. Yet such action denies benefits to everyone, including the player imposing the veto. Anticommons thus poses interconnected problems of permission-assembly and reward-allocation which must be solved jointly in order for the property to be productively employed. The impending tragedy is caused by the fact that, when the players do not fully internalise the penalties imposed from strategically enforcing their rights to exclude, potential value will remain unrealised. The combination of their separate Nash maximising behaviours causes returns to be lower, both in the aggregate and also for the players individually. Importantly, tragedy prevails even under conditions of rational understanding, perfect information, and zero transaction cost.
For instance, a soccer team is comprised of individual players who anticipate improved chances of winning if they successfully coordinate together. Yet each also suspects that full coordination might mean some reduction in his own measured statistics, which will affect fame, lucrative endorsements, and the size of any future contract. And each knows that all the other players calculate similarly. Absent intervention, the separate yet maximising players will achieve some high level of athletic coordination but, according to anticommons logic, it will occur to a lower degree than optimal, resulting in somewhat fewer team wins. This logic has found empirical support from controlled laboratory experiments (Stewart and Bjornstad 2002; Vanneste et al. 2006; Depoorter and Vanneste 2006). It has also provided explanation for a number of practical illustrations of the inefficient bundling of property use permissions (Heller and Eisenberg 1998; Shapiro 2001; Ziedonis 2004; Maurer 2006; Park 2010 – yet in opposition see Walsh et al. 2003; Hansen et al. 2006). Our focus in this paper is more analytic. The claim is that the anticommons model has theoretic implications far deeper than customarily posited and that the anticommons tragedy is thus more intrinsic that ordinarily imagined.
The formal model was developed initially by Buchanan and Yoon (2000) and advanced subsequently (Schulz et al. 2002; Parisi et al. 2004; Parisi et al. 2005). Imagine, for instance, a private garage with two (or more) separate owners where individuals who wish to park their cars must purchase a permit from each owner and where both permits are absolutely necessary. Or imagine two or more separate owner-residents of a building, each of whom must give consent regarding the request from a medical facility to rent the ground floor. More realistically, imagine multiple separate patent holders with licencing rights over component processes necessary for the development of a new pharmaceutical product. Or multiple separate musicians with copyrights over songs needed for a movie soundtrack. It could also be multiple bureaucracies each with the power to approve or refuse approval for land development or a public works project (Marian 2013). It could be multiple countries separately deciding upon the extent and conditions for the financial bailout of another (Major 2014). The core prerequisites are merely that each actor knows that there are several necessary complementary inputs, that she controls at least one of them, and that successful bundling of all inputs will generate positive benefits available for allocation, giving rise to a non-cooperative strategic game.
For analysis, we return to the above example of the polluting factory but with one major change. Assume now that there are multiple separate residential neighbours who collectively were affected by the factory’s smoke emission but since have been awarded the legal right to live pollution free. Again, they can foresee a net utility gain from tolerating some degree of factory production, which will occur on the condition that each is compensated by an appropriate side-payment. The factory cannot produce unless the neighbours sell some quantity of pollution permits; the neighbours all understand that each will receive a potential utility gain only if they all contract with the factory. By function of the collective property right, no single neighbour or subgroup of neighbours can contract effectively with the factory, as that would inflict unwanted, uncompensated, and thus unjustified pollution on the other neighbours. In the anticommons model, each actor has the capacity to prevent joint action but not to initiate action by herself.
The N=1,…,n separate neighbours autonomously seek to maximise their individual benefit, charging a price in exchange for their consent to pollution, with recognition that the others are doing similarly in a venture that requires bundled consent. Each neighbour individually sets a price pi (i=1,…, n), yet the net level of permissible polluting output from the industry depends on the sum of the individual prices charged. (For ease of presentation, we are have constructed the story with strict complementarity of inputs, with no available substitutions.)
The higher the sum price per unit, the lower the quantity of pollution rights that the factory will purchase and thus the lower the level of its resulting production. For the neighbours collectively, there is an optimising price-quantity combination. Importantly, they will not rationally achieve it. We assume that the polluter has a linear demand curve for pollution permits:
We further assume that the neighbours do not incur any variable costs associated with their consent.
Cournot-Nash solutions entail that the “best response” for any player exists when she selects the strategy that yields a maximising payoff given the strategies selected by the other players.

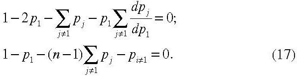
Applied to the anticommons problem, each neighbour will adopt her price from the first-order condition of rent maximisation in which the first derivative of her payoff by her price, contingent upon the prices charged by the other players, is set at zero since she wishes it to be invariant regardless of what the other players choose to do. The first order conditions are:

Given zero marginal cost for all the players, the rent maximising price will also be the same for all of them. From the first order conditions, it follows that:

Each neighbour’s return is thus:

and the total return for n separate neighbours is:

Comparing these results to those in equation (11), the implication is that, with multiple separate neighbours, the sum price per unit charged to the factory for pollution permits is higher than had there been one single neighbour or had they acted as a unified cartel. The quantity of permits purchased by the factory is thus lower, as is the net return to the neighbours. The only change in the situation is the move from one affected actor with the property right to two or more separate actors, each enforcing her maximising price given that permissions from all must necessarily be bundled in order for the return to be realised. Moreover, the gap between the anticommons outcome and the bi-lateral monopoly outcome increases with the number of separately entitled neighbours. Anticommons is equilibrium at rational tragedy. Despite the fact that all the players can see a preferable result, none can achieve it by unilateral action alone. The Nash solution will always be Pareto inferior.
As an aside, if we alter the situation so that any of the N individual neighbours can effectively sell pollution permits to the factory, rather than all of them separately but unanimously having to agree to sell, the result instead is a tragedy of the commons (Buchanan and Yoon 2000). Opposite to the anticommons, each neighbour then has the right to use (or to grant usage) but not to exclude. The main difference in the strategic situation is that the factory is now purchasing supplementary approvals from the neighbours rather than complementary approvals. The outcome is reciprocal to the anticommons,
and
yet the extent of inefficiency is identical,
when n is >1.
As a further aside, we could also alter the situation so that there is only one neighbour but F polluting factories, although this is very unlikely to occur in practise. If the neighbour has the property right, each factory individually will seek to purchase pollution permission for itself so that it can produce at some desired level. If the factories have the property right, the neighbour can negotiate with all or some of them on an individual basis. As there are no conjoint effects, the result is competition. The more property owners, the more the outcome approaches pure competitive optimality, whereas under anticommons, the more property owners, the more the outcome moves away from optimality. The situation becomes anticommons only if the neighbour by stipulation must purchase pollution reduction from all of the F factories together. Then they would each possess a necessary yet complementary input, such that any one of them could prevent sale but none could implement sale by itself.
4. Developments on the anticommons logic
We can expand the basic anticommons model in a number of ways. Assume that there is a dominant owner of the property right who decides about her own price first, and that the other owners can observe and adjust their price accordingly. We shall call the first mover the “leader” – who sets her price p1 – and we label the other n–1 property owners as “followers” in this game. We retain the previous demand function and the assumption about zero variable (and marginal) cost. The first order conditions now become:

Because of the followers’ symmetric conditions, we have:

The total price and quantity demanded become:

The neighbours’ joint net benefit will be:
As can be easily seen from comparing equations (15) and (19), the total price will be even higher, and the quantity demanded and the neighbours’ total net benefit will be even lower, than under the neighbours’ simultaneous decisions.
Even further, we introduce the complication of differentiated upstream and downstream actors and thus the calculation of double marginalisation. The step is useful in order to demonstrate that the anticommons tragedy reduces social wealth rather than merely redistributes it. We start with the simple example of one biotechnology innovator with a patent right and one drug manufacturer who buys the patent in order to produce a new pharmaceutical that it sells on the retail market. Then we will add the anticommons situation of multiple biotechnology innovators whose patents all need to be bundled in order for the manufacturer to have a product capable of retail sale.
It is an important and well-established result that, when an “upstream” and a “downstream” monopoly engage in a market transaction, the welfare reducing effect of the two monopolies generates a larger deadweight loss than had the two companies merged into a single unit. The price set by the upstream monopoly affects the costs incurred by the downstream monopoly and thus the demand the downstream actor encounters when selling the product to consumers. Reciprocally, the total revenue to the downstream monopoly affects the amount of rent available for allocation and thus the price/quantity calculation by the upstream monopoly. One might expect that, given several relevant upstream market actors, their competition would temper the negative effects of double marginalisation. We show below that just the opposite occurs if the upstream actors’ complementary inputs must be bundled for use by the downstream actor; the welfare-reducing effect from double marginalisation actually will be exacerbated.
First, assume that the drug manufacturer faces consumer demand Q=1–R, where R is the market price. Assume further, for the sake of simplicity, that the manufacturer does not face costs other than what it pays to the upstream biotechnology innovator. The innovator charges a royalty fee of W for each unit the manufacturer sells and incurs a constant unit cost of production. The manufacturer maximises its profit, π(R,W), by solving:

from which we have:

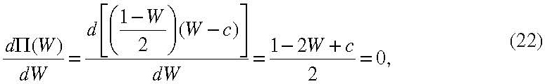
The innovator, in turn, finds his profit-maximising price by solving:

where Π(W) is the innovator’s profit and c is his (constant) marginal cost. We disregard for simplicity the fixed costs of R & D in component development. By deduction:

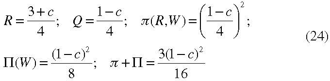
Plugging the result from (23) back into equation (21) we get:

By contrast, had the two actors merged, the new company’s profit would be T(R)=(1–R)(R–c), where Πm(R) stands for the merged firm’s total profit. Its profit maximising price and quantity would be
and it would earn profits
As can be seen by comparing these results to those in equation (24), the merged firm would charge a lower price and sell a larger quantity to customers, and it would earn a larger return.
Now we introduce anticommons, maintaining the same framework except that the manufacturer now must bundle n different patented components to produce the marketable drug, and those components are owned separately by n different biotechnology innovators each with a patent right. As before, we assume that the drug manufacturer does not incur costs other than paying a royalty fee to each patent holder for each unit of the drug sold. We denote these royalty fees as W1,W2, …, Wn. The manufacturer charges to consumers retail price R for each unit. Patent holders incur a unit cost (constant marginal cost) of producing the components for the drugs c1, c2, …, cn, respectively.
Again, the consumers’ market demand function for the drug is Q=1−R. The manufacturer maximises its profit:

The first order condition for profit maximum is:

Solving (26) for R we have:

Patent holders also maximise their profits:

where Πi denotes profits of patent holder and ci is the unit cost of patent holder i. The first order conditions are:

Solving the first order conditions obtains:

Using the results from (30):

The manufacturer’s profit will be:

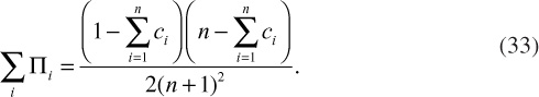
while the patent-holders together earn the following profit:

Total profit in the retail and the patent market becomes:

Above we had shown that the anticommons situation, with two or more owners of complementary inputs calculating separately, generates a Pareto suboptimal outcome compared to a situation in which the same inputs are owned by a single actor or a unified cartel of actors. We also had shown that double-marginalisation with autonomous firms, one that controls a necessary upstream input and one that retails the product from that input downstream, generates a Pareto suboptimal outcome compared to a situation in which the two firms merge. Now we have put the two elements together. As can be seen from equations (31) through (34), when we posit separate profit-maximisers and multiple complementary inputs that necessarily must be bundled for the creation a product that is then sold to consumers, the retail price (R) is higher, the total quantity sold (Q) is lower, and total profits are lower relative both to the case of a fully merged firm and to that of dual monopolies.
The anticommons model is quite plausible. Contrary to the customary story of external effects, it is rare that one would find a pharmaceutical manufacturer that requires only one necessary patent licence or an industrial polluter with just one affected neighbour. The introduction of two or more separate maximising actors controlling a set of rights that must be purchased changes the outcome significantly. Even when they are all rational and fully informed, and when their agreements can be bundled without cost or delay, the product of their strategic calculations results in systematic inefficiency. Moreover, the maximising pharmaceutical manufacturer or industrial polluter, similarly rational and knowledgeable, will incorporate these costs into its calculations. The consequence is lower returns to the multiple rights-holders and to the producer who bundles those rights, and higher prices to consumers compared to an alternative, unified property regime.
5. Anticommons and the limitations of the Coase theorem
All that remains is to connect our discussion of the anticommons tragedy with that of the Coase theorem in order to evaluate its claim that, under conditions of frictionless exchange, the outcome from voluntarily negotiated agreement will be both efficient and invariant regardless of who holds the property right. For ease of presentation, we return to the simplest version of anticommons model, as found above in Section II. Evaluation of the Coase assertion of efficiency entails comparison of the anticommons situation, entailing multiple separate neighbours and one polluting factory, to that of bi-lateral monopoly, maintaining in both cases that the neighbour(s) has the property right to live pollution free. Evaluation of the Coase assertion of invariance entails comparison of the anticommons situation where the neighbours have the property right to the corresponding situation where instead the factory has the property right. Throughout, we retain the ideal-world assumptions of full rationality, complete information, and zero transaction costs.
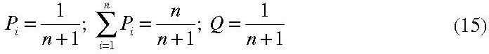
As seen in equations (15) and (16), the rational Nash strategic play for each of the separate benefit-maximising neighbours when they collectively possess the property right is to set her price for pollution permits at
generating a sum price of
The factory will respond by purchasing
units of permit, resulting in a total return to the n neighbours of
The factory will most likely protest, reminding the separate neighbours that there is a higher total return available had they acted as a unified cartel and set the sum price at ½ (from equation 11). Yet the factory, because it does not control the property right, cannot impose this alternative outcome and the n neighbours, deciding separately and lacking the ability to force cooperation, will not discover it. Any unilateral yet altruistic pre-commitment from neighbour i to charge a price per production permit equal to her fair share of the ideal sum price
would result ultimately in an inferior personal return than had she charged the Nash-calculated price.
Critique of the efficiency claim follows straightforwardly, comparing the anticommons result with the bi-lateral monopoly result. The anticommons price will always be higher and the quantity of pollution rights purchased will always be lower. Moreover, the net anticommons return will always be lower than the bi-lateral monopoly return,
whenever n is >1.
Pareto efficiency exists at the allocation of resources in which it is impossible to make anyone better off without making at least one individual worse off; strategic equilibrium exists at the allocation of resources in which it is impossible for any individual to improve her position through unilateral action alone. By deduction, there is space for rational tragedy to occur in the gap left between the two definitions. The anticommons result is thus identified as equilibrium at a systematically suboptimal allocation. Hypothetically, there might have been only one neighbour. Hypothetically, a court might have assigned the initial property right to live pollution-free to the n neighbours as a unified whole, mandating that they form a cartel for purposes of effective bargaining. Hypothetically, the n neighbours might have constructed by voluntary pre-commitment a decision-making scheme to link them together (Ostrom 1990). Our point is that alternative property regimes and institutional arrangements have entailed consequences for the problem of social cost, affecting the realisation of market efficiency.
For critique of the invariance claim, we compare the anticommons outcome to that achieved under identical conditions, with the sole exception that the property right is instead assigned to the single polluting factory. The n separate neighbours must now successfully compensate the factory for pollution reduction. We assume, for simplicity, that the neighbours have identical valuations.
From the perspective of the single factory, little changes relative to the situation of bi-lateral monopoly. The higher the sum per-unit price, the lower the quantity of pollution rights the neighbours will purchase away from the factory,
Equivalent to (12) above, the first-order condition of the factory’s benefit maximisation is:

If so, the quantity of pollution reduction purchased by the n neighbours would again be Q = ½ and the factory’s return will be πF= ¼.
However, from the perspective of the neighbours, the quantity of pollution reduction is a public good. Each Ni does not value the utility of Q accruing to the others; whatever the sum P, each Ni has a rational interest in free riding, shifting her share of the cost to the others. Thus, whereas the ‘fair share’ demand curve for each of the neighbours ideally would be
the public good demand curve instead becomes:

where αi is the reduced individual valuation for pollution reduction and can vary 0≤αi<1. The neighbours’ aggregate demand curve is thus:

If the factory were to accept this alternative summed demand curve from the neighbours, the first-order condition of its benefit maximisation would be:

The new factory price would always be lower than optimal,
, because
If so, the quantity of pollution reduction purchased by the neighbours would become
and the factory’s return from selling pollution reduction to the neighbours would be
Comparing this result to the idealised outcome absent public goods considerations, the neighbours now receive less pollution reduction and the factory collects a lower return.
Importantly, however, there is absolutely no reason for the factory merely to accede and accommodate to the public goods price proposed from the neighbours. After all, it fully controls the property right and it knows quite well that there is a preferable price/quantity position available. The factory thus has the incentive and also considerable ability to form the neighbours into a unified cartel, which was lacking in the reciprocal situation when the separate neighbours controlled the property right. Each of the neighbours individually initially would protest, preferring to free ride. Yet each also realises that she would be better off paying her fair share of the higher price, on the condition that all the other neighbours were compelled to do similarly. In a world of zero transaction costs, the factory by virtue of its discretion to refuse sale under less than the maximising payoff, is in a strong position to enforce that condition. If so, the social return given property assignment to the factory will be Pareto optimal and higher than the return given property assignment to the separate neighbours. Nevertheless, regardless how the strategic situation proceeds, the rational logic with n neighbours and one industrial polluter has been shown to be quite different depending upon which side is given the initial property right; the outcome achieved is far from invariant.
Our finding is that the claims of efficiency and invariance typically made by means of the Coase theorem cannot be sustained in the multiple stakeholder situation of anticommons, even when the restrictive assumptions of the theorem are preserved. Based on the logic of non-cooperative games and Nash equilibrium calculations, bundling in cases of fragmented ownership – despite a world of frictionless transactions – will occur among rational actors but at a location of Pareto under-utilisation. The tragedy of the anticommons does not rest merely upon assumption of market imperfection.
6. Discussion
We conclude with four observations relating this analysis to various other discussions in the literature. First, the concept of anticommons has become a popular theme in law-and-society journals. Unfortunately, the concept is often applied imprecisely and without full understanding of the underlying strategic model. This is despite the fact that the model is regularly cited (e.g. Heller 2008, n. 61 at 209; n. 44 at 213). None of the commentators seem to have observed that anticommons – based on the separate maximising calculations by multiple actors each with exclusion rights over a necessary input – is a rational inefficiency that challenges Coase theorem conclusions. Michael Heller, the main advocate of anticommons applications to legal situations in fact has explicitly and repeatedly asserted that the inherent tragedy would be avoided if transactions were costless. “In theory”, he writes, “in a world of costless transactions, people could always avoid commons or anticommons tragedies by trading their rights” (Heller and Eisenberg 1998, 698; also Heller 1998, 673; Heller 1999, 201; Heller 2008, 46; Heller 2013, 24). Our assertion is that Heller is incorrect, underestimating the insight fundamental to the concept that he employs.
Second, we are certainly not unique in observing that an externality such as pollution easily can affect multiple victims, and that actors with complementary property rights might engage in strategic behaviour with probable inefficient consequences (Cohen 1991; Epstein 1993; Hahnel and Sheeran 2009). Holdout can be a serious practical problem. Heller’s volume (2008) is filled with relevant examples, from empty Moscow storefronts to predatory copyright and patent trolls, to under-utilised ratio bandwidth. The opportunity for holdout adds considerably to the friction of self-interested bargaining, giving to any aggressive actor the potential for gain well above economic dessert. The anticommons model, however, when rigorously applied, does not depend on private information, predatory threats, or negotiating skill. Rather, systematic suboptimality emerges from rational Nash calculations by separated actors all seeking to maximise their individual return. The critical point is that there is no need to posit unfair strategic manipulation in order to generate multiple-player results at variance from the Pareto efficiency. Anticommons is a unique form of inherent bundling suboptimality, with sufficient real-world applications that it safely can be distinguished from other occurrences of bargaining failure.
By contrast, Aivazian and Callen begin exactly as we do, assuming perfect information and zero transaction costs while claiming that the Coase theorem cannot always be demonstrated in situations with more than two participants (Aivazian and Callen 1981; Aivazian et al. 1987). They posit two polluters and one victim, showing that the efficient grand coalition when the polluters have the property right rationally can be dominated by any two-player coalition, which is unstable against other two-player coalitions, resulting in an empty core. Coase’s response (1981) is that the argument depends on participants with only short-run rationality; if the participants play repeated iterations and can adopt a longer-run perspective, they will grasp that their sum returns nevertheless are stable and inferior to those from the grand coalition. The Aivazian-Callen approach is based on cooperative game theory in which the available coalitions generate different amounts of total value and the players seek to maximise their individual benefits by choosing among the possible coalition agreements. The anticommons approach instead is based on non-cooperative strategic choices, in which the players are seeking to maximise against each other. Due to the combination of Nash best responses, there exists an inclusive and self-enforcing equilibrium, rather than an empty core, yet it is still Pareto suboptimal. Grounded upon two different branches of game theory, our analysis and that by Aivazian can be viewed as complementary yet independent critical understandings of externalities and bargaining relationships.
Finally, there has been extensive controversy in the literature over the real-world applicability of the Coase theorem once one abandons the ideal assumptions of perfect information, full rationality, and zero transaction costs. By the logic of anticommons, property rights have one-directional bias, in the sense that it is easier to divide and fragment a unified property than to rebundle the separated pieces together again. The most obvious inference is that legal systems should create (and often have created) a presumption on behalf of unified ownership and rules promoting reunification where divided property rights are outmoded or neglected (Parisi 2002).
Discussion, however, has assumed an intense ideological tone when legally enforced rebundling is infeasible. The obvious goal is for courts to assign either property rights and/or liability rules in a manner is most likely to mitigate net harm (Calabresi and Melamed 1972; Luppi and Parisi 2011). Conservative jurist Richard Posner has contended that that a predisposition in favour of efficient markets and against public intervention is a leitmotif across Coase’s work (Posner 1993, 201). The legal regime thus should be structured, to the greatest degree plausible, “to approximate the optimum definition of property rights”, and then to allow unconstrained actors to “guide resource use more efficiently” than is possible under authoritative assignment (Posner 1977, 37). The response, as phrased by Paul Samuelson (1995), is that only in “Santa Claus situations” can the real world be structured to approximate Coase’s “polar parable”. The ensuing dispute is important, yet from our perspective its terms have been somewhat misformulated. As long as there are multiple owners of complementary rights, maximising against each other as well as against the actor who wishes to purchase a portion of that right, outcomes systematically will be inefficient. One need not focus only upon practical deviations from ideal conditions. One merely has to postulate a situation other than bi-lateral monopoly, and bi-lateral monopoly exists as an extreme and unlikely possibility. Coasean logic within the anticommons does not inherently imply any predisposition in favour of voluntary solutions.
