
Figure 1
OSS Concept Map.
Source: own elaboration.

Figure 2
CSR Pyramid and OSS.
Source: own elaboration.

Figure 3
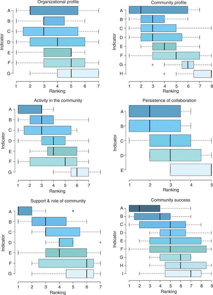
Boxplots of Indicators.
Source: own elaboration.

© 2015 Maria Isabel Alonso de Magdaleno, Jesus Garcia-Garcia, published by Uopen Journals
This work is licensed under the Creative Commons Attribution 4.0 License.