Figure 1

Figure 2

Results of multivariate analysis
| Hazard ratio | 95% confidence interval | p | |
|---|---|---|---|
| ypT | 1.307 | 0.847–2.014 | 0.226 |
| ypN | 1.507 | 0.935–2.428 | 0.092 |
| Postoperative stage | 1.268 | 0.793–2.027 | 0.793 |
| Downstaging (response to preoperative therapy) | 2.725 | 1.4–5.3 | 0.003 |
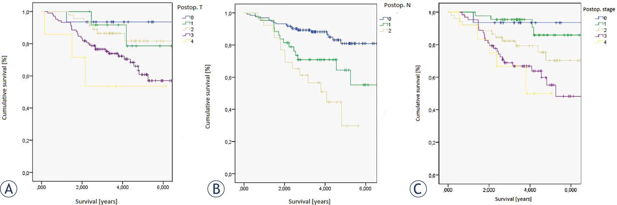
Results of survival analysis
| Median survival [years] | 95% confidence interval | p (log rank) | |
|---|---|---|---|
| Pooperative stage 0 | 6.6 | 6.1–7.1 | 0.001 |
| pooperative stage I | 6.4 | 5.8–6.9 | |
| Pooperative stage II | 5.5 | 4.9–6.1 | |
| Pooperative stage III | 4.9 | 4.3–5.6 | |
| Pooperative stage IV | 3.7 | 2.8–4.6 | |
| ypT0 | 6.6 | 6.1–6.7 | 0.011 |
| ypT1 | 6.0 | 5.2–6.9 | |
| ypT2 | 6.1 | 5.5–6.7 | |
| ypT3 | 5.3 | 4.8–5.8 | |
| ypT4 | 3.9 | 2.0–5.8 | |
| ypN0 | 6.1 | 5.8–6.5 | < 0.001 |
| ypN1 | 5.2 | 4.4–6.0 | |
| ypN2 | 3.7 | 3.0–4.4 | |
| Preoperative stage II | 5.8 | 5.0–6.6 | 0.389 |
| Preoperative stage III | 5.6 | 5.1–6.0 |