Patients with acute myeloid leukaemia with normal karyotype (AML-NK) comprise 40-50% of all AML patients.1 They are characterized by high heterogeneity in terms of clinical features, biological characteristics and response to treatment. Nevertheless, all of the AML-NK patients are categorized into intermediate risk group. The need for more precise risk stratification of such cases led to the discovery of numerous new molecular markers. Some of them, such as mutations in fms-related tyrosine kinase-3 (FLT3), nucleophosmin (NPM1) and CCAAT/enhancer binding protein alpha (CEBPA) genes have made an impact on prognosis of AML-NK patients. Those mutations have been already included in the revised version of World Health Organisation classification of leukaemia.2 This new classification implies that all AML-NK patients with mutated NPM1 without FLT3- (internal tandem duplication)ITD and mutated CEBPA have favourable genotype.
Mardis et al. have reported the entire genome sequence of leukemic cells from a single de novo AML-NK patient and compared it with the genome sequence from normal skin cells of the same patient.3 After that, from the number of possible somatic mutations, only a handfull of genes were recurrently mutated in multiple AML genomes, including mutations in the genes for isocitrate dehydrogenase 1 (IDH1) and isocitrate dehydrogenase 2 (IDH2).
The IDH1 and IDH2 genes, located at chromosome bands 2q33.3 and 15q26.1 respectively, encode NADPH (reduced nicotinamide adenine dinucleotide phosphate) - dependent isocitrate dehydrogenase 1/2 enzymes, whose main role is to protect cells from oxidative stress.4
Heterozygous point mutations in IDH1 and IDH2 genes most likely affect the evolutionarily conserved arginine at position R132 in exon 4 of IDH1 (IDHR132) and either the homologous position R172 (IDHR172) or the second arginine R140 in the IDH2 gene (IDHR140).5
IDH1 and IDH2 mutations occur in approximately 20% of AML-NK cases.6–11 Clinical characteristics commonly found in these patients compared to those with wild-type IDH are older age, higher platelet counts and concurrent presence of NPM1 mutations.5, 6, 8, 9, 11, 18 The relatively high incidence of IDH mutations and their association with the most commonly detected mutations in AML patients (NPM1 mutations) indicates possible mutual interactions in the pathogenesis of the disease.19, 22
Despite the results of numerous studies investigating the effect of the presence of IDH mutations on clinical outcome, the prognostic significance of these mutations remains controversial.11 A number of studies showed that the presence of these mutations have no effect in response to therapy and survival5, 14–16, while there are others that suggest a negative prognostic effect.8–10, 17–20 Nevertheless, most studies agree with the fact that IDH mutations have adverse prognostic impact in the so called low-risk group of patients (NPM1+/FLT3-ITD- AML-NK patients).8–10, 13, 20, 21
Some studies investigated the potential of IDH mutations as a follow-up markers.13, 16, 22–24IDH1 and IDH2 mutations are relatively stable and show direct correlation with disease status. Thus, IDH mutations could be useful markers for monitoring disease, including treatment response, minimal residual disease (MRD), and early relapse.
The purpose of our study was to analyze the frequency of mutations in IDH1/2 genes and their potential associations with other prognostic markers and outcome in 110 adult de novo AML-NK patients. We also analyzed the stability of these mutations during the course of the disease in complete remission (CR) and relapse.
From 2009-2014, pre-treatment bone marrow (BM) samples from 110 consecutive consenting patients with de novo AML-NK were analysed at the Clinic for Hematology. This study was approved by the by the Ethics Committee of the Clinical Centre of Serbia, Belgrade, Serbia. Written informed consent was obtained for all patients. Diagnostic procedures comprised cytomorphology, cytogenetics, molecular genetics and immunophenotyping of BM. Morphologic diagnosis was made according to the French–American–British classification.25 Conventional G-band karyotyping was employed for cytogenetic analysis.26 Immunophenotyping by flow cytometry was performed using the direct multicolour immunofluorescent technique applied to whole BM specimens.2 A WBC count ≥ 30×109/L was considered as leukocytosis. Organ dysfunctions, as well as non-disease mortality risk were estimated by the Hematopoietic Cell Transplantation Comorbidity Index (HCT-CI).27 Performance status was assessed using the Eastern Cooperative Oncology Group (ECOG) scale.28 All patients < 60 years of age were treated with standard “3+7” induction chemotherapy, consisting of daunorubicin at a daily dose of 60 mg/m2 on days 1–3, in combination with cytarabine at 200 mg/m2 daily as a continuous intravenous infusion for 7 days. Patients > 60 years old were treated with reduced doses in the same regimen. Patients who achieved CR after induction chemotherapy received three cycles of consolidation chemotherapy: cytarabine 3 g/m2 per q12h on days 1, 3 and 5 for those younger than 60 years and cytarabine 0.5-1g/m2 per q12h on days 1, 3 and 5 for those older than 60 years. Patients aged ≤55 years under went allogeneic stem cell transplantation (SCT), in total 15 (25.42%) patients. Definitions of CR, overall survival (OS), disease free survival (DFS) and early death (ED) were established by proposed criteria.29
BM samples collected at diagnosis, in CR (after induction therapy and after consolidation) and at relapse were analysed. Mononuclear cells were separated by Ficoll density gradient centrifugation and cryopreserved until mutational analyses. Genomic DNA was extracted from the mononuclear cells using a QIAamp Blood Mini Kit (Qiagene, Germany) according to the manufacturer’s protocol. DNA fragments spanning exons 4 of the IDH1 and IDH2 genes were amplified by polymerase chain reaction (PCR) as described before.24 PCR reaction products were further subjected to direct sequencing, and the resulting sequences compared to wild-type IDH1 and IDH2 cDNA (GenBank Accession numbers NM_005896.2 and NM_002168.2, respectively). Mutational analyses of FLT3 and NPM1 gene mutations were performed as previously reported.30–32 We investigated the impact of IDH mutations on OS in AML-NK patients in relation to three different risk groups defined by FLT3 and NPM1 mutation status (favourable risk-NPM1+/FLT3-ITD-; intermediate-NPM1-/FLT3-ITD-; unfavorable-FLT3-ITD+), according to the recommendation of European Leukaemia Net.1
Differences in continuous variables were analysed using the Mann-Whitney U test for distribution between two groups. Frequencies were analysed using the Pearson χ2 test for 2x2 tables or the Fisher exact test for larger tables. Survival probabilities were estimated by the Kaplan-Meier method, and differences in survival distributions were evaluated using the Log rank test. Patients undergoing allogeneic SCT were censored at the time of transplantation. Multivariate logistic regression model was applied to analyse factors related to the probability of CR failure. Cox’s regression model was applied to determine the association of NPM1 mutations with OS and DFS with adjustment for other factors. The statistical analyses were performed using SPSS computer software 15.0 (Chicago, IL, USA). For all analyses, the probability (p) values were 2-tailed and p< 0.05 was considered statistically significant.
Among the 110 AML-NK patients, 25 (23%) harboured missense mutations in IDH genes. Eight (7%) patients had IDH1 mutations, all of them IDHR132. Seventeen (16%) patients had IDH2 mutations: fifteen IDHR140 and two IDHR172 (Table 1). The wild-type allele was retained in all IDH positive samples, and no patient had both IDH1 and IDH2 mutations. As IDH1 and IDH2 mutations were mutually exclusive and appear to have the same functions, we examined the clinical significance these mutations as a collective group as previously reported.11
Type of IDH1 and IDH2 mutations identified in 110 AML-NK patients
| Mutation | Nucleotide change | Amino acid change | No. of patients |
|---|---|---|---|
| IDH1 | |||
| c.394C>T | R132C | 4 | |
| c.395G>A | R132H | 2 | |
| c.394C>G | R132G | 1 | |
| c.394C>A | R132S | 1 | |
| IDH2 | |||
| c.419G>A | R140Q | 12 | |
| c.418C>T | R140W | 1 | |
| c.419G>T | R140L | 1 | |
| c.418C>G | R140G | 1 | |
| c.515G>A | R172K | 2 |
C = cysteine; G = glycine; H = histidine; K = lysine; L = leucine; S = serine. Q = glutamine
IDH1 and IDH2 nucleotide numbering based upon the NCBI sequence NM_005896.2 and NM_002168.2, respectively.
Pre-treatment clinical characteristics of the patients are summarized in Table 2. Their mean age was 54 years (range 19–78), while 31 (31.8%) patients were ≥ 60 years of age. There were 62 (56.4%) men and 48 (43.6%) women. Distribution of IDH+ patients across FAB groups was uneven, being most frequent in the M2 group - nine (29%) patients, followed by six (27.3%) in the M1 and five (21%) in the M4 group. IDH+ patients had higher platelet counts (p = 0.024), as well as a higher percentage of peripheral blood (PB) blasts (p = 0.031) compared to IDH- patients. There were no differences between IDH+ and IDH- patients regarding age, sex, WBC count, BM blast percentage, haemoglobin and serum LDH level.
Clinical characteristics of patients with de novo AML-NK stratified by the presence or absence of IDH mutations
| Parameter | Total (n = 110) | IDH + (n = 25) | IDH- (n = 85) | p value |
|---|---|---|---|---|
| Sex | 0.617 | |||
| Male (%) | 62 (56.4) | 13 (21) | 49 (79) | |
| Female (%) | 48 (43.6) | 12 (25) | 36 (75) | |
| Age, years, median (range) | 53.5(19-78) | 50(23-73) | 54(19-78) | 0.783 |
| ECOG ≥2 | 0.081 | |||
| Yes | 45(40.9) | 14(31.1) | 31 (68.9) | |
| No | 65(59.1) | 11(16.9) | 54 (83.1) | |
| HCT-CI ≥3 | 0.300 | |||
| Yes | 8(7.3) | 3 (37.5) | 5 (62.5) | |
| No | 102(92.7) | 22(21.6) | 80(78.4) | |
| WBC count, x109/l (range) | 16.8 (0.5-195) | 6.9 (0.5-160) | 17.4 (0.8-195) | 0.373 |
| Haemoglobin | ||||
| median, range | 95.5 (6-178) | 100 (57-178) | 94 (6-140) | 0.810 |
| Platelets (x109/L) | ||||
| median, range | 68 (1-420) | 109(16-193) | 56 (1-420) | 0.024 |
| LDH (U/L) median, range | 917 (273-7180) | 901 (315-5105) | 922.5 (273-7180) | 0.825 |
| Peripheral blood blast (%) | 26 (0-96) | 60.5 (0-96) | 21 (0-96) | 0.031 |
| Bone marrow blasts (%) | 71 (23-97) | 67 (33-97) | 73 (23-97) | 0.920 |
| FAB (%) | 0.139 | |||
| M0 | 10 | 4 (40) | 6 (60) | |
| M1 | 22 | 6 (27.3) | 16(72.7) | |
| M2 | 31 | 9 (29) | 22 (71) | |
| M4 | 24 | 5 (21) | 19 (79) | |
| M5 | 22 | 1 (0.05) | 21 (95.5) | |
| M6 | 1 | 0 (0.0) | 1 (100.0) | |
| FLT3-ITD | 0.626 | |||
| present (%) | 26(23.6) | 5 (19.2) | 21 (80.8) | |
| absent (%) | 84(76.4) | 20 (23.8) | 64 (76.2) | |
| FLT3-D835 | 0.428 | |||
| present (%) | 9 | 3 (33.3) | 6 (66.7) | |
| absent (%) | 101 | 22 (21.8) | 79 (78.2) | |
| NPM1 | 0.496 | |||
| present (%) | 42(38.2) | 11(26.2) | 31(73.8) | |
| absent (%) | 68(61.8) | 14(20.6) | 54(79.4) |
ECOG = performance status of the Eastern Cooperative Oncology Group; FAB = French-American-British classification; FLT3-ITD = FLT3 internal tandem duplication; HCT-CI = hematopoietic cell transplantation-comorbidity index; IDH = isocitrate dehydrogenase; LDH = lactate dehydrogenase; NPM1 = nucleophosmin; WBC = white blood cell count
IDH mutations occurred evenly in NPM1+ and NPM1- patients (26.2% vs 20.6%, p = 0.496). Moreover, IDH mutations were not associated with FLT3-ITD mutations: 19.2% vs 23.8% (p = 0.626).
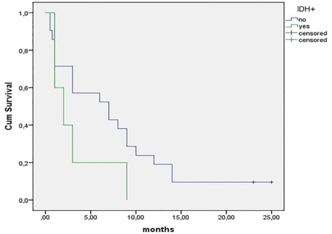
Out of the 85 IDH- patients, 51 (62.2%) achieved CR, while 11/25 (44%) of the IDH+ patients achieved CR. The difference was not statistically significant (p = 0.152). The presence of IDH mutations was not associated with ED (IDH+-36% vs IDH-- 24.7%; p = 0.310), too. Overall 36/110 (32.7%) participants exhibited disease relapse, 6 (24%) IDH+ and 30 (35.3%) IDH- patients. The impact of IDH mutations on DFS failed to reach statistical significance (IDH+- 12 months vs IDH-- 17 months; p = 0.266). In contrast, OS was significantly impaired in the presence of IDH mutations (IDH+-2 months vs IDH--7 months; p = 0.039) (Figure 1).

Impact of IDH mutation on overall survival (p = 0.039 by Kaplan-Meier method).
In the univariate analysis, leukocytosis (p = 0.016) was found to be significantly correlated with a poor rate of CR. The most important factor associated with poor CR rate in the multivariate analysis was leukocytosis (p = 0.015, RR 0.34, 95% CI 0,143-0,809). Univariate analysis showed that significant factors for poor DFS were FLT3-ITD positivity (p = 0.03) and NPM1 positivity (p = 0.032). The most significant risk factor for DFS using the multivariate method was FLT3-ITD positivity (p = 0.030, RR = 2.465, 95% CI 1.089-5.579). Univariate COX proportional regression analysis indicated that the following tested features were significant predictors of poor OS: age ≥ 55 years (p = 0.023), leukocytosis (p = 0.001) and IDH positivity (p = 0.039). The multivariate COX proportional regression method pointed to leukocytosis (p = 0.001, RR = 1.768, 95% CI 1.084–2.883) as the most significant predictor of poor OS.
In our study, patients aged 55 years or less received conventional or reduced intensity allogeneic SCT. OS rate in IDH+ patients not given allogeneic SCT was markedly lower than that in IDH+ patients who received it (2 vs 15 months; p = 0.006) (Figure 2). Conversely, among patients who did receive allogeneic SCT, the difference in OS rates between those with or without IDH mutations was not significant (p = 0.07).
We found that the presence of IDH+ had a negative impact on OS in the intermediate risk subgroup (5 vs 12 months; p = 0.050) (Figure 3). However, IDH mutations did not affect OS in the favourable and unfavourable subgroups (1 vs 3 months, p = 0.668; 1 vs 7 months, p = 0.114, respectively).

Overall survival associated with IDH mutations and allogeneic stem cell transplantation in AML-NK patients (p = 0.006 by Kaplan-Meier method).

Comparison of the overall survival in intermediate group (NPM1-/FLT3-) between IDH+ and IDH-patients (p = 0.050 by Kaplan–Meier method)
The IDH mutational status was serially studied in relapsed samples of IDH- patients and in follow-up and/or relapsed samples in IDH+ patients. None of the available relapsed samples of IDH- patients acquired IDH mutations. Among the nineteen IDH+ cases who were alive after induction, eleven (44%) achieved CR. Nine of them lost IDH mutations after induction therapy but two patients retained it. One of them achieved CR after the first induction therapy. He lost FLT3-D835 and NPM1 positive status, but remained IDH2+ positive and died in relapse of disease (patient ID 469). The second one (patient ID 349) achieved CR after of induction therapy but retained IDH mutation. The mutation was lost in sequential follow-up sample, but patient died during the consolidation therapy in cyto-morphological remission with bone marrow aplasia from the septic shock (Table 3). Patient with refractory disease (patient ID 487) two months after the beginning of therapy remained IDH2 positive. Two patients, who lost their IDH mutation in CR, regained it in relapse. Two of the nine patients who achieved molecular remission were treated with allogeneic SCT and are still alive. Remaining 7 patients died during therapy and after disease relapse. These results indicate stability of IDH mutations during the course of AML.
Results of sequential studies of IDH+ patients
| Patient ID | Age/ sex | IDH/FLT3/NPM status on diagnosis | Disease status after induction | IDH/FLT3/NPM status after induction | Disease status after consolidation therapy | IDH/FLT3/NPM status after consolidation | Relapse | IDH/FLT3/NPM status in relapse |
|---|---|---|---|---|---|---|---|---|
| 245 | 53/F | IDH2R140Q/wt/wt | CR | wt /wt/wt | CR | / | yes | / |
| IDH2R172K/ | ||||||||
| 275 | 50/F | IDH2R172K/wt/wt | CR | wt /wt/wt | CR | / | yes | FLT3-D835/wt |
| 280 | 61/F | IDH1R132H/FLT3-ITD/Type A | RD | / | / | |||
| / | RD | / | ||||||
| 291 | 38/F | IDH2R140Q/FLT3-ITD/Type A | RD | / | RD | / | / | / |
| 305 | 47/M | IDH2R140Qwt/wt | CR | wt /wt/wt | CR | / | yes | / |
| 320 | 40/M | IDH2R140Wwt/wt | CR | wt /wt/wt | CR | wt /wt/wt | / | / |
| IDH2R140L/ | ||||||||
| 349 | 39/M | IDH2R140L/wt/wt | CR | wt/wt | CR | wt /wt/wt | / | / |
| 378 | 66/M | IDH1R132H/wt/Type A | ED | / | / | / | / | / |
| 380 | 44/F | IDH1R132C/wt/wt | CR | yes | IDH1R132C/wt/wt | |||
| CR | wt /wt/wt | / | ||||||
| 393 | 54/M | IDH2R132C/FLT3-D835/wt | CR | wt /wt/wt | CR | / | yes | / |
| 399 | 23/F | IDH2R140Q/wt/Type A | ED | / | / | / | / | / |
| 401 | 69/M | IDH2R140Q/FLT3-ITD/wt | RD | / | / | / | / | / |
| 403 | 73/F | IDH1R132C/wt/wt | RD | / | / | / | / | / |
| 412 | 46/M | IDH2R140Q/wt/Type A | RD | / | / | / | / | / |
| 418 | 62/F | IDH1R132G/FLT3-ITD/Type A | CR | wt /wt/wt | CR | / | / | / |
| 423 | 43/M | IDH2R140Q/wt/wt | ED | / | / | / | / | / |
| 426 | 56/M | IDH2R172K/wt/wt | ED | / | / | / | / | / |
| IDH1R132C/ | ||||||||
| 469 | 63/M | IDH1R132C/FLT3-D835/ Type A | CR | wt/wt | CR | / | yes | / |
| IDH2R140Q/ | ||||||||
| 487 | 73/M | IDH2R140Q/wt/wt | RD | wt/wt | RD | / | / | / |
| 556 | 50/M | IDH2R140Q/wt/Type A | ED | / | / | / | / | / |
| 612 | 30/M | IDH2R140Q/wt/wt | CR | wt /wt/wt | CR | wt /wt/wt | / | / |
| 615 | 40/F | IDH2R140Q/wt/Type A | CR | wt /wt/wt | CR | wt /wt/wt | / | / |
| 645 | 43/F | IDH2R140G/FLT3-ITD/Type A | RD | / | / | / | / | / |
| 672 | 33/F | IDH1R132S/wt/Type A | RD | / | / | / | / | / |
| 680 | 67/M | IDH2R140Q/FLT3-D835/wt | ED | / | / | / | / | / |
CR = complete remission; ED = early death; RF = refractory disease; wt = wild type
The frequency of IDH mutations in patients with AML is 6-19%, but 12-33% in those with AMLNK.5, 8, 17, 18, 20, 33 In our study on adult AML-NK patients, IDH mutations were detected in 23% of them. The prevalence of IDH2 over IDH1 mutations observed here (15.5% vs 7%) was similar to other published results.5, 6, 8, 22
Our patients with IDH mutations had higher platelet counts and a higher percentage of PB blasts than those without such mutations, which confirms previous findings.5, 6, 8, 11 We detected IDH mutations most frequently in M2 type cases, followed by M1 (36% and 24%, respectively) and M4 type, which is in according with other results.13, 15, 19
Examining correlations between IDH mutations and other common genetic alterations in AML, such as NPM1 and FLT3 mutations, we found a slight but non-significant prevalence of NPM1+ among IDH+ patients (NPM1+- 26.2% vs NPM1--20.6%; p = 0.496). This is not in line with previous reports.6, 8, 9, 11, 18 The FLT3 mutations were almost equally distributed between IDH+ and IDH- groups of patients, which is in concordance with other studies.5, 7, 18
The prognostic impact of IDH mutation is controversial. Most studies have shown that both IDH1 and IDH2 mutations confer an unfavourable prognosis in AML-NK, i.e. a higher risk of disease relapse and shorter OS.3, 6–8, 11, 16, 17, 20 In our study, CR rate was 62.2% in IDH- patients, while in IDH+ patients it was somewhat lower (45.8%), but without statistical significance. A similar finding was reported by Nomdedeu et al.17, where the CR rate of IDH- patients was 80% and 63% in IDH+ (p = 0.086).
We were able to demonstrate that IDH mutations act as an adverse prognostic marker of OS in AML-NK patients. That is, patients with IDH mutations had significantly worse OS, with a tendency for shorter DFS. This also confirmed earlier findings.6–8, 11, 16, 17, 20 Among the IDH+ patients, OS rate in those who received allogeneic SCT was significantly higher than that in those not given it. This was also observed by Yamaguchi et al.11 and suggests that allogeneic SCT may improve OS in younger patients with IDH mutations.
The emergence of new molecular markers in AML-NK has contributed to a better and more precise classification of patients. This group is identified as an intermediate risk group, but because of its heterogeneity in terms of clinical outcome of the disease, more precise allocation is necessary. In addition to the FLT3 and NPM1 gene mutations that have already found significance as valuable prognostic factors, the detection of IDH mutations has contributed to refined risk classification of AMLNK patients.
When we applied molecular classification based on the presence/absence of NPM1 and FLT3 mutations in our cohort of patients, we observed that the presence of IDH mutations had an adverse impact on OS in the intermediate risk subgroup (NPM1-/FLT3-ITD-). This finding, already reported by others11, 16, argues in favour of testing for IDH mutations among AML-NK patients.
The frequent co-occurrence of IDH mutations with NPM1 and less often with FLT3 mutations, indicates that such mutations cooperate in the process of leukemogenesis. IDH1 and IDH2 are epigenetic modifier genes involved in DNA methylation and histone modification, and do not completely fit into our current definition of type-I and type-II aberrations, as suggested by the 2-hit theory of cancerogenesis.34, 35 Nevertheless, it has been suggested that IDH mutations are an early event in a variety of myeloidneoplasias like myelodisplastic syndrome and myeloproliferative neoplasms (MPN).35, 36 In patients with MPN, the acquisition of IDH mutations predicts an increased risk of progression to secondary AML, potentially serving as a marker for early stage transformation.37–39 Also, the fact that IDH mutations are stable during the course of the disease supports the presumption that their emergence is an early event in malignant transformation.
Even though the prognostic significance of IDH mutations has been extensively studied, there are only few reports about their value in MRD monitoring. Thus, Gross et al.40 and Jeziskova et al.23 each presented four patients with IDH1 and IDH2 mutations, followed by the investigations of Chou et al.15, 21 In all three studies, as in our nine IDH+ patients who were available for sequential analysis, the mutation was lost during CR and reappeared at relapse of the disease as the same type of mutation. Moreover, none of the patients acquired new IDH mutations during relapse.15, 21, 23, 40 In our study, we registered two IDH+ patients retaining the mutation in CR and during the whole follow-up. Chou et al.22 explained a similar finding through the hypothesis that IDH mutations are important in maintaining the leukaemia phenotype through cooperation with other oncogenic mutations, but alone are not sufficient for leukaemogenesis in vivo.
IDH1 and IDH2 mutations have significant potential as MRD markers, assuming that the method applied meets the sensitivity criteria for MRD detection. The usual method for discovering IDH mutations is PCR-followed by direct sequencing, with a sensitivity of about 20%.8, 14, 15, 18 Based on this and the fact that IDH mutations are heterozygous, the application of more sensitive methods, such as real-time PCR specific for a given mutation, should be considered for monitoring therapy response and early relapse.
In conclusion, acquired IDH mutations are common abnormalities in AML-NK. They confer an adverse effect, especially in patients lacking NPM1 mutations. In combination with other molecular markers, IDH mutational status can lead to an improved risk stratification approach for AML-NK patients. Moreover, IDH mutations are stable during the course of the disease and can be potentially used as markers for MRD detection. This could be especially important if specific treatment with IDH inhibitors is introduced in everyday practice.
