Lung cancer is the leading cause of cancer-related deaths worldwide, with small-cell lung cancer (SCLC) representing approximately 15% of all lung cancer cases.1,2 SCLC represents one of the most aggressive human cancers, with early metastatic dissemination, initiated by cancer cell intravasation into blood, migration and consequent colonisation of sites distant to primary tumour. Despite some advances in therapeutic approaches, most of the advanced SCLC patients still die within the first year after diagnosis.3,4
SCLC is initially chemosensitive disease, with high response rates achieved with first-line chemotherapy regimens. However, majority of SCLC patients relapse within a few months and achieve only modest response rates to second-line chemotherapy, leading to poor survival rates. Platinum-based chemotherapeutic regimens with cisplatin or carboplatin still represent the only effective systemic therapy for SCLC patients. Unfortunately, still, no effective targeted therapy is available in clinical practice to treat SCLC.
Classical clinico-pathological characteristics (e.g. age, gender, performance status, stage, burden of metastatic disease) are still the only ones to predict survival outcome of SCLC patients.5-7 Despite an increased effort in identifying additional prognostic and predictive molecular markers, none of the so far studied molecular markers proved to have prognostic or predictive value in advanced SCLC.6,7
In the last several years, growing body of evidence indicates that cancer stem-like cells (CSCs) behave as crucial actors in cancer development, progression and metastasis.8,9 CSCs have been identified in many human cancer types, including breast cancer10, prostate cancer11, pancreatic cancer12 and lung cancer.13 For detection and identification of lung CSCs several key regulators have been proposed, normally essential for maintenance of pluripotent state of embryonic stem cells and self-renewal of tissue-specific adult stem cells; these regulators include SRY (sex determining region Y)-box 2 (SOX2)14, homeobox protein NANOG (named after Celtic word Tír na nÓg meaning the land of the young)15 and octamer-binding transcription factor 4 (OCT4).16 Cancer stem cells seem to be enriched in tumours resistant to conventional systemic therapy and radiotherapy.17-19 Recent reports also suggest that SOX2, NANOG and OCT4 are potential diagnostic and prognostic markers in lung cancer.20-27 Moreover, as indicated by a recent publications28,29, SOX2 is a commonly activated tumour oncogene that activates ACT28 and EGFR29 signalling pathways in human cancers, altogether indicating its complex biological role in cell faith.
Recent studies mainly conduced in early stage non-small cell lung cancer (NSCLC) after radical surgical therapy correlated SOX2 genomic amplification and/or consequent protein overexpression in primary tumour tissue with better prognosis21,27,30-33; these results were also supported by a meta-analysis, which confirmed significant interaction between high SOX2 expression and improved survival in early NSCLC, regardless of histopathological subtype.22 On the contrary in study evaluating the prognostic value of SOX2 protein expression in primary tumour tissue of early stage SCLC, high SOX2 protein expression was independent prognostic marker for poor survival outcome in SCLC patients.23 So far, only one study quantified the levels of serum SOX2 DNA in patients with different histopathological types and stages of lung cancer.20 In this particular study, serum SOX2 DNA level in lung cancer patients was higher compared to the level in healthy group, and it was closely associated with TNM stage, histopathological type, and tumour size; unfortunately, the association with course of disease and disease prognosis was not assessed in the frame of the later study.
The prognostic value of NANOG and OCT4 has only been evaluated in several retrospective studies with small number of NSCLC patients included.24-26,34-36 Elevated protein expression of both markers, NANOG24,25,34,35 or OCT424,26,36 in primary tumour was correlated with poor survival outcomes in early NSCLC patients treated with radical surgery. According to our knowledge there are no published data on prognostic or predictive value of NANOG or OCT4 expression in either blood or tumour tissue in SCLC patients.
Up to date, various studies have demonstrated that circulating cell-free tumour nucleic acids may reflect the same genetic characteristics as the primary tumour and are therefore attractive for non-invasive biomarkers determination especially during the course of diseases and in patients with no tumour tissue available.37 In lung cancer, previously mentioned study proposed circulating SOX2 DNA levels quantified by fluorescent qPCR as a novel, screening biomarker for lung cancer.20 So far, the prognostic value of SOX2, NANOG or OCT4 mRNA expression in whole blood samples of SCLC patients has not been evaluated yet. Several genetic (e.g. mutations, genomic amplifications) and epigenetic mechanisms, can either decrease or increase the transcription of a particular mRNA38,39; measuring the mRNA expression is therefore an attractive approach in cases where there is no known genetic mechanism affecting gene expression.
The aim of our study was to evaluate the level of SOX2, NANOG and OCT4 mRNA expression in whole blood samples of advanced SCLC patients compared to healthy controls, and to correlate biomarkers expression with overall survival (OS) and progression-free survival (PFS) after first line chemotherapy in advanced SCLC patients.
The present study was conducted and is reported following recommendations for tumour marker prognostic studies (REMARK).40
50 consecutive patients with pathologically confirmed advanced SCLC, treated with first-line platinum or anthracycline-based chemotherapy and followed at University Clinic Golnik, Slovenia, between December 2009 and June 2013 were prospectively enrolled. For comparison, 50 volunteers with no clinical evidence of cancer disease were also included. Matching criteria were age and gender. 16 volunteers with other chronic pulmonary diseases (chronic obstructive pulmonary disease, asthma) were excluded from this study.
For SOX2, NANOG and OCT4 mRNA expression, whole blood samples (2.5 ml; PAXgene Blood RNA Tubes, which contain proprietary solution that reduces RNA degradation and gene induction; Qiagen) were collected from advanced SCLC patients before the onset of chemotherapy and from healthy controls at health check examinees by peripheral venous puncture. All blood samples were obtained after the first 5 ml of blood were discarded to avoid contamination of the blood sample with skin epithelial cells and stored at −30°C until RNA isolation.
Patients included in this study were treated and followed according to the standard clinical practices in use at the time. All patients received first-line systemic therapy with cisplatin-etoposide or carboplatine-etoposide (PE) or cyclophosphamide–epirubicin–vincristine (CEV) chemotherapy. The dosing schedules, dose modifications and supportive therapy were offered according to the standard practice. The second-line chemotherapy including CEV or PE was offered at clinician’s discretion. Response to chemotherapy was evaluated according to the RECIST1.1 criteria41 at regular time intervals (every 2-3 months) using chest radiography or computerised tomography (CT) scans. Number of distant metastatic sites was defined as the number of the organs or organic systems involved in cancer disease.
Total RNA was isolated from whole blood using PAXgene Blood miRNA Kit (Qiagen) using the fully automated QIAcube system (Qiagen) to standardize the RNA isolation procedure. Total RNA quantity and purity were assessed using NanoDrop 2000 (ThermoScientific). After isolation and purification of total RNA from blood samples additional step including digestion of genomic DNA with DNaseI (ThermoScientific) was included. Reverse transcription reactions were performed using the High Capacity cDNA Reverse Transcription Kit (Applied Biosystems).
All reagents for RT-PCR were supplied by Applied Biosystems (USA). The expression of stem cell markers was detected by TaqMan RT-qPCR (ABI PRISM 7500 FAST Real-Time PCR System) using gene-specific primers–probe sets (SOX2: Hs01053049_s1, OCT4: Hs00999632_g1, NANOG: Hs02387400_g1) and TaqMan Universal PCR Master Mix II. All measurements were performed in triplicate and relative mRNA expression was determined by the ∆∆Ct method. GAPDH was used as endogenous control and pooled RNA from blood samples of healthy controls was used as a calibrator. All samples with threshold cycle ≥ 38.0 were considered as negative for SOX2, NANOG or OCT4 mRNA expression.
Median relative expression values of each analysed stem cell marker were compared between advanced SCLC patients and healthy controls using the Mann-Whitney U-test. The relationship between SOX2, NANOG or OCT4 mRNA expression and patient characteristics was evaluated using the Mann-Whitney U-test or Fisher’s exact test, as appropriate.
Overall survival was defined as the period of time in months from the date of diagnosis to the date of death or last follow-up; the secondary endpoint PFS was defined as the period of time in months from the start of the first-line chemotherapy to the date of progression or death whichever occurred first. Survival probabilities, OS and PFS, were calculated by the Kaplan-Meier method and log-rank test was used to compare different categories, where optimal cut-off value between low and high expression level was set at the median mRNA expression level for each of the three markers analysed in SCLC patients. The independent prognostic value of each individual marker was tested in Cox regression model adjusted for gender, age, PS and the number of distant metastatic sites. A p-value below 0.05 was considered statistically significant. All statistical analyses were carried out using SPSS (version 21, SPSS, Inc., Chicago, IL, USA). All reported p-values are two-tailed.
The study was approved by the Slovenian National Medical Ethics Committee (approval number 135/07/09) before the enrolment of the SCLC patients and healthy controls. The informed consent was obtained before the start of the study from all subjects.
Demographic and treatment characteristics of 50 advanced SCLC patients and 34 healthy volunteers are listed in Table 1. At the time of diagnosis, median age of patients was 65 years (range 46-88 years), majority of the patients were male (35/50; 69%), and in good PS (PS ≤ 1 in 38/50; 76%). As first-line chemotherapy, the majority of patients received platinum-based chemotherapy (42/50; 84%). The second line chemotherapy was offered to 14/50 (28%) patients.
Characteristics of small-cell lung cancer (SCLC) patients and healthy volunteers
| Characteristic | SCLC patients (N= 50) | Healthy volunteers (N= 34) |
|---|---|---|
| Age in years: median (range) | 65 (46-88) | 62 (47-78) |
| Gender, N (%) | ||
| Male | 34 (68) | 24 (71) |
| Female | 16 (32) | 10 (29) |
| PS(1)N (%) | ||
| 0–1 | 38(76) | |
| ≥ 2 | 12 (24) | |
| Number of distant metastatic sites, N (%) | ||
| < 3 | 34 (68) | |
| ≥ 3 | 16 (32) | |
| Type of first-line chemotherapy, N (%) | ||
| PE | 42 (84) | |
| CEV | 8 (16) |
PE = platinum (cisplatin or carboplatin)-etoposide
SOX2 relative mRNA expression levels were detected in 46/50 (92%) blood samples of advanced SCLC patients and in 25/34 (73%) blood samples of healthy controls. SOX2 mRNA expression levels were significantly higher in whole blood samples of SCLC patients when compared to healthy controls (median: 0.8 (range: 0.0-11.1) vs. 0.6 (range: 0.0-1.8), respectively, p = 0.006; Figure 1). On the other hand, NANOG and OCT4 relative mRNA expression levels were detected in all blood samples of SCLC patients and healthy controls. In addition, no significant differences were observed in NANOG (median: 1.5 (range: 0.4-4.8) vs. 1.2 (range: 0.4-4.4), respectively; p = 0.199, Figure 1) and OCT4 (median: 1.5 (range: 0.4-3.3) vs. 1.2 (range: 0.3-3.4), respectively; p = 0.224; Figure 1) median mRNA levels between SCLC patients and healthy group.

SOX2, NANOG and OCT4 mRNA expression levels in whole blood of healthy volunteers and small-cell lung cancer (SCLC) patients.
N: number of SCLC patients/healthy volunteers; p: p-value
As already mentioned in the methods section, cut-off value between low and high mRNA expression was set at the median expression level for the three markers analysed in SCLC patients. The associations between SOX2, NANOG or OCT4 mR-NA expression and clinical variables are shown in Table 2. High SOX2 mRNA expression was correlated with the higher number of distant metastatic sites (p = 0.027). There were no other significant correlations between SOX2, NANOG or OCT4 mR-NA expression and other clinical variables, such as gender and age.
Association between SOX2, NANOG and OCT4 mRNA expression and patients` characteristics
| Characteristic | SOX2high(2) | SOX2low(3) | p-value | NANOGhigh(4) | NANOGlow(5) | p-value | OCT4high(6) | OCT4low(7) | p-value |
|---|---|---|---|---|---|---|---|---|---|
| Age in years: median (range) | 63 (46–78) | 66 (47–88) | 0.301(8) | 65 (47–79) | 65 (46–88) | 0.648(9) | 64 (47–77) | 66 (46–88) | 0.466(10) |
| Gender, N (%) | 0.756(11) | 0.762(12) | |||||||
| Male | 2 (35) | 22 (65) | 18 (53) | 16 (47) | 16 (47) | 18 (53) | 0.762(13) | ||
| Female | 7 (44) | 9 (56) | 7 (44) | 9 (56) | 9 (56) | 7 (44) | |||
| PS(14), N (%) | 0.332(15) | 0.742(16) | 1.000(17) | ||||||
| 0–1 | 16 (42) | 22 (58) | 20 (53) | 18 (47) | 19 (50) | 19 (50) | |||
| ≥ 2 | 3 (25) | 9 (75) | 5 (42) | 7 (58) | 6 (50) | 6 (50) | |||
| Number of distant metastatic sites, N (%) | 0.027(18) | 0.762d | 1.000(19) | ||||||
| < 3 | 9 (26) | 25 (74) | 18 (53) | 16 (47) | 17 (50) | 17 (50) | |||
| ≥ 3 | 10 (62) | 6 (38) | 7 (44) | 9 (56) | 8 (50) | 8 (50 |
N = number of patients
After the median follow-up of 8.5 months (range: 0.5-32.5 months) median PFS was 6.2 months and median OS was 8.4 months in 50 SCLC patients included into analysis.
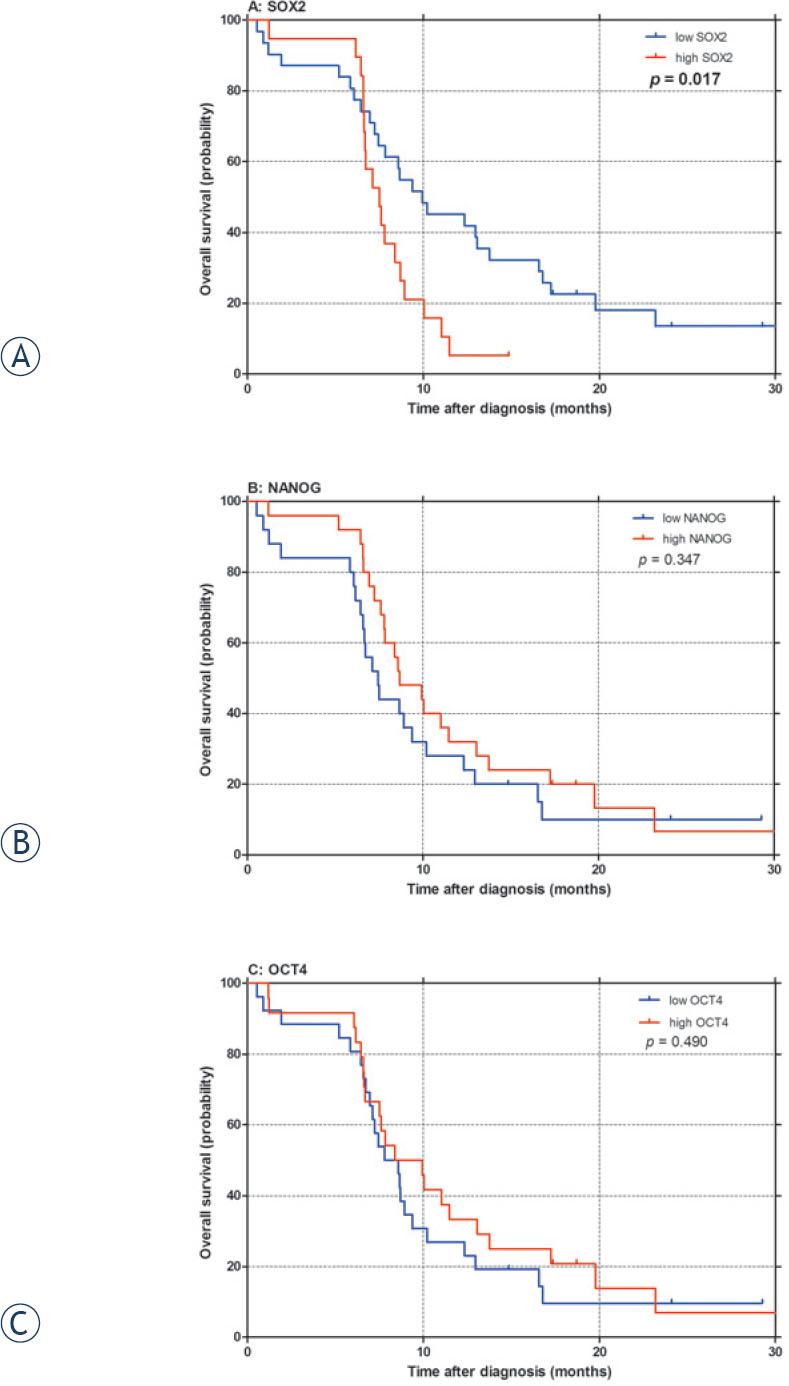
The level of SOX2 mRNA expression, significantly influenced both PFS after first-line chemotherapy (p = 0.046; Table 3, Figure 2A) and OS (p = 0.017; Table 3, Figure 3A) in our patients, with high SOX2 being associated with poor PFS and OS. Furthermore, in multivariate analysis independent prognostic value of SOX2 expression was confirmed for OS (p = 0.002; Table 3). On the other hand, no significant correlation between NANOG or OCT4 expression and survival outcomes was observed in univariate (Table 3, Figures 2-3) or multivariate analysis (Table 3).
Progression-free survival (PFS) after first-line chemotherapy and overall survival (OS) according to SOX2, NANOG and OCT4 mRNA expression
| mRNA expression | Median PFS (months) | p-value HR (95% CI) | Median OS (months) | p-value HR (95% CI) | ||
|---|---|---|---|---|---|---|
| UV | MV | UV | MV | |||
| All patients (N = 50) | 6.2 | 8.4 | ||||
| SOX2 low | 7.4 | 0.046 | 0.377 | 9.9 | 0.017 | 0.002 |
| SOX2 high | 5.6 | 1.988 (1.011-3.922) | 1.054 (0.938-1.183) | 7.5 | 2.370 (1.164-4.831) | 3.205 (1.536-6.711) |
| NANOG low | 5.7 | 0.221 | 0.299 | 7.4 | 0.347 | 0.376 |
| NANOG high | 6.5 | 0.693 (0.384-1.247) | 0.864 (0.656-1.139) | 8.7 | 0.750 (0.412-1.366) | 0.884 (0.674-1.161) |
| OCT4 low | 5.6 | 0.156 | 0.227 | 7.8 | 0.251 | 0.416 |
| OCT4 high | 7.3 | 0.652 (0.362-1.178) | 0.780 (0.521-1.167) | 9.9 | 0.810 (0.446-1.471) | 0.891 (0.673-1.178) |
95% CI = 95% confidence interval; HR = hazard ratio; MV = multivariate analysis adjusted for age, gender, N = number of patients; PS and the number of distant metastatic sites; relative expression values for each of the three markes analysed were used in MV; UV = univariate analysis; Log-rank test was used to analyse different categories dichotomised according to the median mRNA expression levels for each of the three markers analysed

Progression-free survival (PFS) after first-line chemotherapy according to SOX2(A), NANOG(B) and OCT4(C) mRNA expression in small-cell lung cancer patients. p: p-value

Overall survival (OS) according to SOX2(A), NANOG(B) and OCT4(C)mRNA expression in small-cell lung cancer patients. p: p-value.
The present study aimed to compare SOX2, NANOG and OCT4 mRNA expression in whole blood between advanced SCLC patients and healthy controls, and to assess the prognostic impact of mRNA expression in 50 advanced SCLC patients treated with first-line chemotherapy, either platinum or anthracycline-based. Only SOX2 mR-NA levels were significantly higher in advanced SCLC patients when compared to healthy controls. Moreover, elevated SOX2 expression levels had an independent prognostic value for better OS in advanced chemotherapy-treated SCLC.
Our results indicate significantly higher SOX2 mRNA expression in whole blood of SCLC patients when compared to healthy controls, and are consistent with the only study which observed significantly higher serum SOX2 DNA levels in 94 patients with different histopathological types and stages of lung cancer in comparison to benign lung disease group or healthy group.20 Moreover, we observed a significant positive correlation between high SOX2 mRNA expression in whole blood and the higher number of distant metastatic sites (p = 0.027), suggesting that SOX2 expression might mirror an important oncogenic and metastatic potential in SCLC. Furthermore, correlation between high SOX2 mRNA expression and both poorer PFS after first-line chemotherapy (p = 0.046) and poorer OS (p = 0.017) was observed; association between high SOX2 expression and poor OS (p = 0.002) persisted also in multivariate analysis. Our findings obtained in whole blood of SCLC patients, seem to be consistent with the only study evaluating the prognostic value of SOX2 protein expression in SCLC primary tumours obtained after surgery, where high SOX2 protein expression in the primary tumour proved to be an independent prognostic marker for worse OS and shorter recurrence-free survival in patients with early stage SCLC who underwent surgery.23
In contrast to SCLC, high SOX2 protein expression and SOX2 gene amplification in primary tumours seem to be associated with better prognosis in NSCLC.22 These contradictory results might be due to different methodologies of biomarker determination (e.g. fluorescent in situ hybridization or quantitative PCR for detection of SOX2 genomic amplification, immunohistochemistry for SOX2 protein expression), small number of patients included in our study or may even suggest cancer-specific role of SOX2 in different histopathological types of lung cancer.
Detection of mRNA expression levels of selected biomarkers in whole blood is relatively new concept in lung cancer or any other human cancer that could be developed as an ancillary tool for disease screening and monitoring. Furthermore, it might represent an attractive approach for evaluating gene expression with no known underlying genetic mechanism affecting its expression. Moreover, detection of tumour specific DNA alterations42 and differential mRNA expression43-46 in primary tumours and/or circulating nucleic acids by high-throughput technologies (next-generation sequencing, microarrays) may provide a substantial advance in monitoring disease burden and treatment response in all human cancers.
The cut-off point for SOX2 positivity was set at the median value of SOX2 mRNA expression. Of note, there are no clinically validated cut-off values for SOX2 mRNA expression available in lung cancer, because this is the first study evaluating SOX2 mRNA expression in lung cancer. Studies conducted in other human cancers, including prostate cancer, rectal cancer, and hepatocellular cancer, so far used different, not yet validated thresholds based on the cohort of the included patients.47-49
Our results indicate no difference in NANOG and OCT4 mRNA expression levels in whole blood when comparing SCLC patients and control group. Moreover, no correlation between NANOG and OCT4 expression in whole blood and survival outcomes was observed in our study. To our best knowledge, the diagnostic and prognostic value of NANOG and OCT4 mRNA expression in tumour tissue or whole blood has not yet been evaluated in SCLC. However, several retrospective studies with small number of NSCLC patients included associated high NANOG or high OCT4 protein expression in primary tumour with poor survival outcome of NSCLC patients treated mainly with curative surgical resection.24-26,34-36 Again, these differences might be due to different methodologies of biomarker determination, low number of patients or specific role of these two markers in histopathological types of lung cancer.
The present study has several potential limitations, such as the small sample size that has an impact on statistical power of survival analysis and could therefore greatly limit the accuracy of the results. Furthermore, there are still methodological issues of biomarkers determination that should be appropriately resolved. The methods currently used for the evaluation of SOX2, NANOG or OCT4 expression in lung cancer patients differ greatly among the published reports. Studies conducted in lung cancer mainly used immunohistochemistry (IHC) for SOX2, NANOG and OCT4 protein expression and fluorescence in situ hybridisation (FISH) or quantitative PCR (qPCR) for SOX2 gene amplification detection.21-26,31-33 Besides, there are no clinically validated cut-off values for SOX2, NANOG and OCT4 mRNA expression available in the published literature and major differences still exists regarding the cut-off values of defining the specimens as positive/high for SOX2, NANOG or OCT4 expression determined either by IHC, FISH or qPCR.21-26,31-33 Furthermore, transcription of NANOG and OCT4 pseudogenes was reported in some tumour tissues and their detection by qPCR could give false-positive results.50,51 Unfortunately, direct comparison of SOX2, NANOG and OCT4 mRNA expression between whole blood and primary tumour tissue was not assessed in the frame of our study due to low number of patients with available tumour tissue. Further studies evaluating the correlation between gene expression profiles in whole blood and primary tumour tissue would be of valuable to assess the potential similarity of gene expression characteristics between blood circulation and primary lung tumour.
In conclusion, our prospective observational study found significantly higher mRNA expression levels of SOX2 in whole blood samples of advanced SCLC patients when compared to healthy controls. Equally importantly, a possible prognostic value of SOX2 mRNA expression for overall survival of SCLC patients was observed. No such correlations were found for NANOG or OCT4 expression. Our findings support the emerging oncogenic and metastatic role of SOX2 in SCLC with potential applications as a prognostic CSC marker and therapeutic target in lung cancer. In addition, recently published study highlights a new role of SOX2 biomarker in the regulation of EGFR oncogenic signalling pathway29, for which EGFR oncogene-directed therapies already exist and a number of other therapies are in development.
Nevertheless, possible diagnostic and prognostic value of SOX2 still requires further evaluation in the frame of large-scale prospective trials. However, before embarking on large prospective clinical trials a proper standardization and validation of methodological approaches used for evaluation of selected biomarkers is necessary.
East Cooperative Oncology Group performance status; CEV = cyclophosphamide-epirubicinvincristine; N = number of SCLC patients/healthy volunteers;
bmedian mRNA expression levels for each of the three markers analysed were used to stratify patients as either SOX2/NANOG/OCT4 low or high
bmedian mRNA expression levels for each of the three markers analysed were used to stratify patients as either SOX2/NANOG/OCT4 low or high
bmedian mRNA expression levels for each of the three markers analysed were used to stratify patients as either SOX2/NANOG/OCT4 low or high
bmedian mRNA expression levels for each of the three markers analysed were used to stratify patients as either SOX2/NANOG/OCT4 low or high
bmedian mRNA expression levels for each of the three markers analysed were used to stratify patients as either SOX2/NANOG/OCT4 low or high
bmedian mRNA expression levels for each of the three markers analysed were used to stratify patients as either SOX2/NANOG/OCT4 low or high
Mann-Whitney U-test
Mann-Whitney U-test
Mann-Whitney U-test
Fisher’s exact test
Fisher’s exact test
Fisher’s exact test
East Cooperative Oncology Group performance status
Fisher’s exact test
Fisher’s exact test
Fisher’s exact test
Fisher’s exact test
Fisher’s exact test