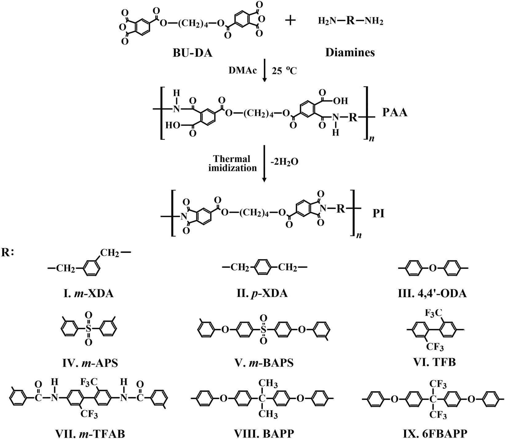
Scheme 1:

Figure 1:

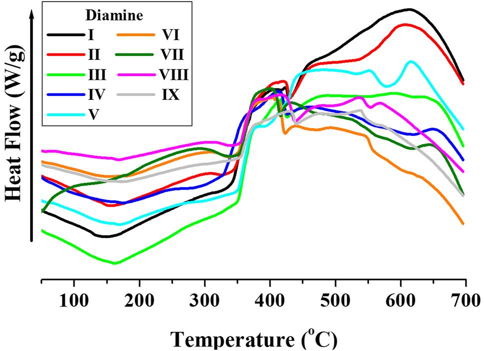
Figure 2:

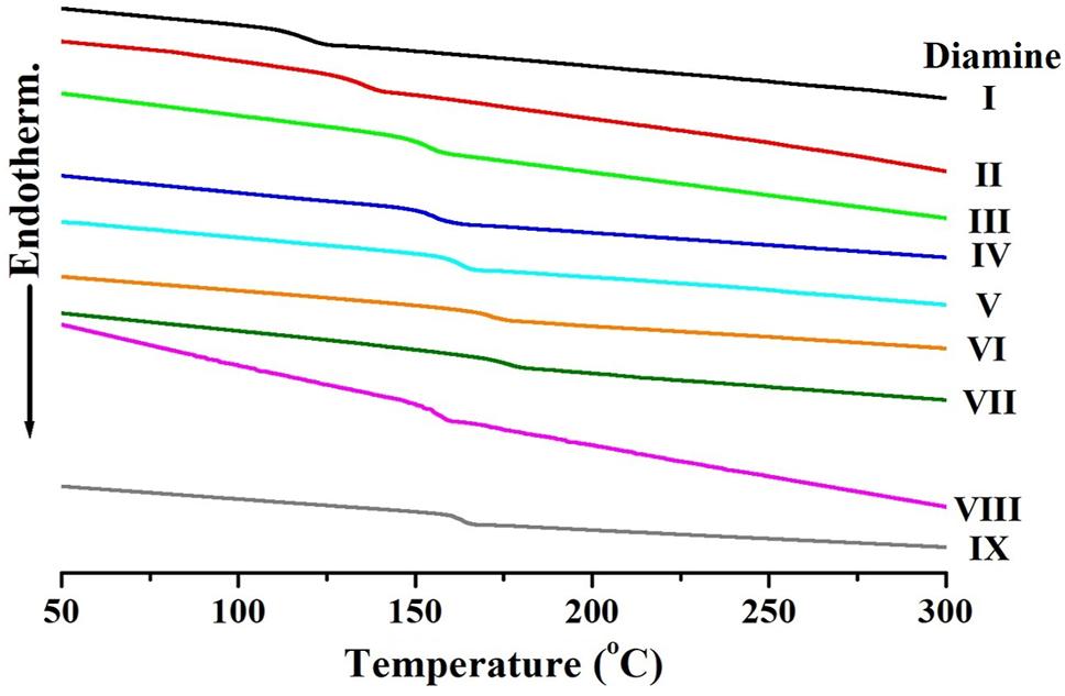
Figure 3:

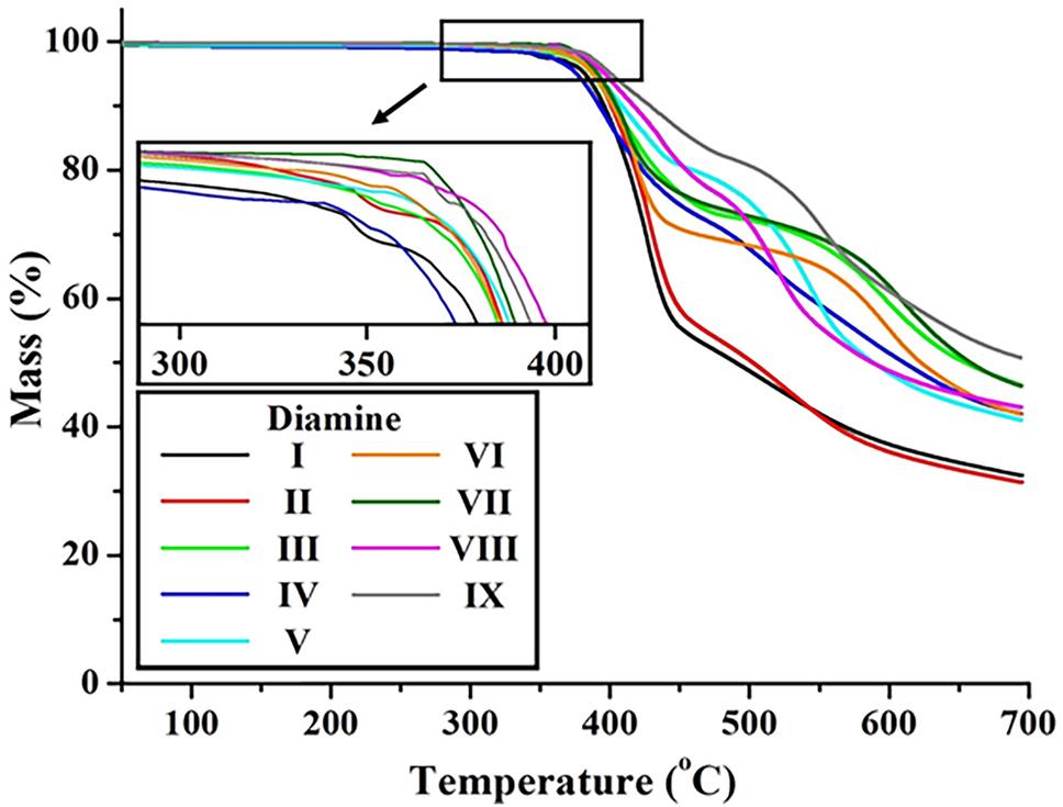
Figure 4:

Figure 5:

Figure 6:

Figure 7:

Figure 8:

Figure 9:

Figure 10:

Heat treatment conditions of CPIs based on BU-DA monomer_
| Sample | Temperature (°C)/time (h)/pressure (Torr) |
|---|---|
| PAA | 0/1/760 → 25/14/760 → 50/1/1 → 80/1/1 |
| CPI | 110/0.5/760 → 140/0.5/760 → 170/0.5/760 →
|
Optical properties of CPIs based on BU-DA monomer_
| Diamine | Thicknessa (μm) | λ 0 b (nm) | 500nmtrans (%) | YIc |
|---|---|---|---|---|
| Ⅰ | 42 | 328 | 88 | <1 (0.1) |
| Ⅱ | 43 | 328 | 89 | <1 (0.2) |
| Ⅲ | 42 | 381 | 83 | 19.3 |
| IV | 44 | 360 | 86 | 4.2 |
| V | 44 | 358 | 86 | 3.6 |
| VI | 45 | 349 | 87 | 2.6 |
| VII | 46 | 343 | 88 | 2.2 |
| VIII | 45 | 392 | 81 | 27.5 |
| IX | 46 | 374 | 82 | 15.7 |
Thermal properties of CPIs based on BU-DA monomer_
| Diamine | T g (°C) | T D ia (°C) | wt R 600b (%) | CTEc (ppm/°C) |
|---|---|---|---|---|
| Ⅰ | 112 | 346 | 37 | 57.7 |
| Ⅱ | 130 | 368 | 36 | 55.7 |
| Ⅲ | 146 | 365 | 59 | 52.9 |
| Ⅳ | 149 | 367 | 59 | 49.0 |
| Ⅴ | 157 | 370 | 48 | 48.6 |
| Ⅵ | 165 | 370 | 55 | 56.3 |
| Ⅶ | 171 | 378 | 61 | 52.1 |
| Ⅷ | 154 | 382 | 64 | 56.6 |
| Ⅸ | 160 | 379 | 48 | 58.8 |
Solubility tests of CPIs based on BU-DA monomer_
| Diamine | Act | CHCl3 | CH2Cl2 | DMAc | DMF | DMSO | MeOH | EtOH | NMP | Py | THF | Tol |
|---|---|---|---|---|---|---|---|---|---|---|---|---|
| I | × | ◎ | ◎ | × | △ | × | × | × | ○ | ◎ | △ | × |
| II | × | ◎ | ◎ | × | × | × | × | × | △ | △ | × | × |
| III | ○ | ◎ | ◎ | ○ | ○ | × | × | × | ○ | ◎ | △ | × |
| IV | △ | ◎ | ◎ | ◎ | ◎ | ◎ | × | × | ○ | ◎ | △ | △ |
| V | △ | ◎ | ◎ | ◎ | ◎ | ◎ | × | × | ◎ | ◎ | ◎ | △ |
| VI | △ | ◎ | ◎ | ◎ | ◎ | △ | × | × | ◎ | ◎ | ◎ | △ |
| VII | ○ | ◎ | ◎ | ◎ | ◎ | ○ | × | × | ◎ | ◎ | ◎ | △ |
| VIII | × | ◎ | ◎ | ◎ | ◎ | × | × | × | ◎ | ◎ | ○ | △ |
| IX | × | ◎ | ◎ | ◎ | ◎ | ○ | × | × | ◎ | ◎ | ◎ | ○ |
Mechanical properties of CPIs based on BU-DA monomer_
| Diamine | Ult. Str.a (MPa) | Ini. Mod.b (GPa) | E.B.c (%) |
|---|---|---|---|
| I | 63 | 6.81 | 4 |
| II | 61 | 3.09 | 7 |
| III | 54 | 2.57 | 6 |
| IV | 22 | 2.23 | 4 |
| V | 57 | 2.63 | 4 |
| VI | 136 | 5.96 | 7 |
| VII | 92 | 2.87 | 7 |
| VIII | 95 | 4.71 | 10 |
| IX | 95 | 4.27 | 9 |