Figure 1

Figure 2

Figure 3

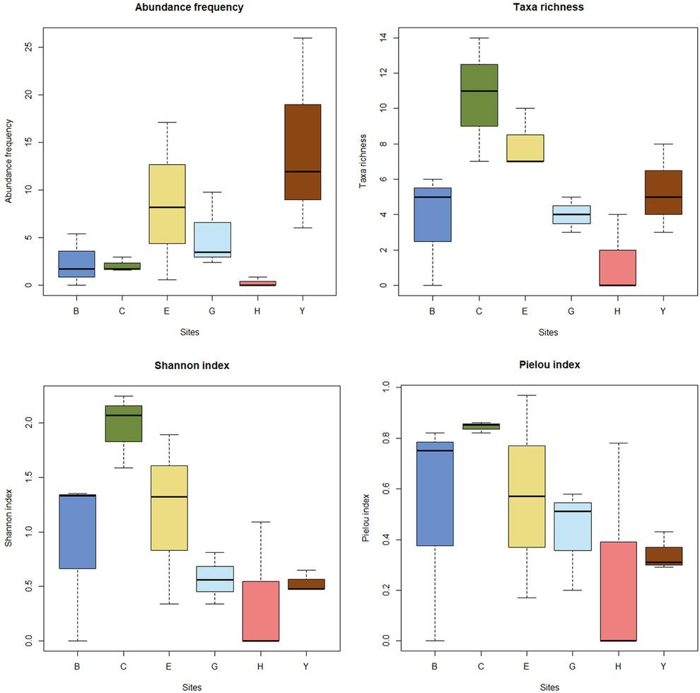
Figure 4

Physicochemical characteristics of water at the study sites
| Sites | T° | Flow Velocity (cm s −1) | pH | Cond (μS cm−1) | TDS (mg l−1) | Sal (PSU) | NO− 2(mg l−1) | NH+ 4(mg l−1) | PO 3− 4(mg l−1) |
|---|---|---|---|---|---|---|---|---|---|
| C1 | 17 | 25 < v < 50 | 7.67 | 517 | 228 | 0.2 | 0.03 | 0.17 | 0.14 |
| C2 | 22 | 25 < v < 50 | 7.43 | 655 | 289 | 0.2 | 0.02 | 0.06 | 0.1 |
| C3 | 17 | v < 10 | 7.66 | 608 | 269 | 0.2 | 0.03 | 0.11 | 0.05 |
| B1 | 20 | 25 < v < 50 | 8.12 | 702 | 338 | 0.3 | 0 | 0 | 16.8 |
| B2 | 18 | 25 < v < 50 | 8.14 | 722 | 348 | 0.3 | 0 | 0 | 2.4 |
| B3 | 17 | 25 < v < 50 | 8.16 | 725 | 349 | 0.3 | 0 | 0 | 0.09 |
| E1 | 24 | 25 < v < 50 | 8.12 | 615 | 271 | 0.2 | 0.02 | 0.05 | 0.02 |
| E2 | 26 | 25 < v < 50 | 7.74 | 523 | 230 | 0.2 | 0.02 | 0.02 | 0.03 |
| E3 | 24 | 25 < v < 50 | 8.04 | 550 | 242 | 0.2 | 0.02 | 0.02 | 0.04 |
| H1 | 19 | 10 < v < 25 | 7.05 | 633 | 293 | 0.2 | 0.02 | 0.02 | 0.08 |
| H2 | 20 | 25 < v < 50 | 7.74 | 669 | 303 | 0.3 | 0.01 | 0.17 | 0.06 |
| H3 | 20 | 10 < v < 25 | 7.82 | 921 | 416 | 0.4 | 0.02 | 0.15 | 0.14 |
| G1 | 19 | v < 10 | 7.21 | 665 | 333 | 0.3 | 0 | 0 | 0.15 |
| G2 | 20 | 25 < v < 50 | 7.5 | 741 | 371 | 0.3 | 0 | 0.18 | 0.15 |
| G3 | 19 | 10 < v < 25 | 7.1 | 873 | 437 | 0.4 | 0 | 0.03 | 0.15 |
| Y1 | 17 | v > 50 | 7.37 | 421 | 187 | 0.1 | 0.01 | 0.4 | 0.01 |
| Y2 | 16 | v > 50 | 7.41 | 562 | 247 | 0.2 | 0.03 | 0.05 | 0.14 |
| Y3 | 16 | v < 10 | 7.35 | 662 | 293 | 0.2 | 0.02 | 0.21 | 0.04 |
Systematic inventory, codes and abundance of benthic insects collected in six streams of NE Algeria_ W_C – Wadi Chaaba; W_B – W_ Bouilef; W_E – W_ El Ma; W_H – W_ Hamla; W_G – W_ Chélia; W_Y – W_ Yabous_ AF (%) – abundance frequency; und_ – unidentified taxa
| Order/Family | Genus/Species | Code | W.C | W.B | W.E | W.H | W.G | W.Y | AF (%) |
|---|---|---|---|---|---|---|---|---|---|
| Ephemeroptera | |||||||||
| Baetidae | Baeti s sp. | Bae | 12.24 | 29.72 | 18.2 | 5.37 | 11.02 | 13.33 | |
| Procloeon sp. | Pro | 1.02 | 0.24 | 1.65 | 0.39 | ||||
| Acentrella sp. | Ace | 6.30 | 2.20 | 1.42 | |||||
| Heptageniidae | Heptagenia sp. | Hep | 11.22 | 0.71 | |||||
| Heptagenia sp. | Ecd | 7.14 | 0.45 | ||||||
| Leptophlebiidae | Leptophlebia sp. | Lep | 3.06 | 0.19 | |||||
| Caenidae | Caenis sp. | Cae | 1.02 | 5.40 | 0.45 | ||||
| Total Ephemeroptera | 35.71 | 41.44 | 18.45 | 0 | 7.02 | 13.22 | 16.96 | ||
| Plecoptera | |||||||||
| Capiniidae | Capnia sp. | Cap | 4.08 | 0.26 | |||||
| Chloroperlidae | Siphonoperla sp. | Sip | 2.04 | 53.84 | 0.58 | ||||
| Xanthoperla sp. | Xan | 3.06 | 0.19 | ||||||
| Nemouridae | Protonemura sp. | Prot | 1.24 | 0.32 | |||||
| Total Plecoptera | 9.18 | 0 | 1.24 | 53.84 | 0 | 0 | 1.36 | ||
| Heteroptera | |||||||||
| Notonecti dae | Notonecta sp. | Not | 0.41 | 0.06 | |||||
| Hydrometridae | Hydrometra sp. | Hydrom | 1.02 | 0.90 | 0.49 | 0.26 | |||
| Mesoveliidae | Mesovelia sp. | Mes | 0.14 | 0.06 | |||||
| Veliidae | Microvelia sp. | Mic | 6.12 | 0.44 | 0.58 | ||||
| Nepidae | Nepa sp. | Nep | 0.24 | 0.14 | 0.13 | ||||
| Total Heteroptera | 7.14 | 0.90 | 0.74 | 0 | 0.41 | 0.72 | 1.10 | ||
| Hymenoptera | |||||||||
| Agriotypidae | Agriotypus sp. | Agr | 4.13 | 0.65 | |||||
| Coleoptera | |||||||||
| Scirtidae | Hydrocyphon sp. | Hydroc | 25.51 | 30.76 | 1.88 | ||||
| Dyscidae | Bidessus sp. | Bid | 0.24 | 0.41 | 0.13 | ||||
| Agabus sp. | Aga | 0.24 | 0.06 | ||||||
| Hydrovatus sp. | Hydrov | 3.06 | 0.24 | 0.41 | 0.44 | 0.45 | |||
| Ilybius fenestratus | I.fen | 3.06 | 0.24 | 0.41 | 0.44 | 0.06 | |||
| Copelats sp. | Cop | 0.82 | 0.44 | 0.32 | |||||
| Hydroporinae und. | Hydrop | 1.02 | 0.06 | ||||||
| Elmidae | Dupophilus sp. | Dup | 0.49 | 0.13 | |||||
| Elmidae and | Elm | 0.74 | 0.19 | ||||||
| Hydrophiidae | Laccobius sp. | Lac | 0.24 | 0.06 | |||||
| Hydraenidae | Hydraena sp. | Hydra | 0.24 | 0.06 | |||||
| Hydroscapha sp. | Hydros | 0.24 | 0.06 | ||||||
| Noteridae | Noterus sp. | Not | 2.04 | 7.69 | 0.19 | ||||
| Spercheidae | Helophorus sp. | Hel | 1.02 | 0.06 | |||||
| Total Coleoptera | 32.65 | 0 | 2.74 | 38.46 | 41.64 | 0.88 | 3.75 | ||
| Trichoptera | |||||||||
| Brachycentridae | Brachycentrus sp. | Bra | 2.24 | 70.24 | 11.76 | 16.76 | |||
| Hydropsychidae | Hydropsyche sp. | Hydrops | 6.12 | 42.43 | 0.24 | 3.5 | |||
| Cheumatopsyche sp. | Che | 1.02 | 42.43 | 0.24 | 0.06 | ||||
| Total Trichoptera | 7.14 | 42.43 | 0.49 | 70.24 | 11.76 | 20.32 | |||
| Diptera | |||||||||
| Limoniidae | Dicranota sp. | Dic | 4.08 | 7.69 | 0.44 | 0.52 | |||
| Scatophagidae | Acanthocnema sp. | Aca | 3.06 | 0.41 | 0.26 | ||||
| Tabanidae | Tabanidae und. | Tab | 0.74 | 0.19 | |||||
| Culicidae | Culex sp. | Cul | 0.24 | 0.06 | |||||
| Chaoboridae | Mochloyx sp. | Moc | 0.14 | 0.06 | |||||
| Chironomidae | Chironomus sp. | Chi | 0.24 | 0.06 | |||||
| Dixidae | Dixa sp. | Dix | 9 | 0.14 | 0.71 | ||||
| Simuliidae | Simuliidae und. | Sim | 1.02 | 6.30 | 73.06 | 16.11 | 72.64 | 53.98 | |
| Total Diptera | 8.16 | 15.31 | 74.31 | 7.69 | 16.52 | 73.36 | 55.86 | ||
General characteristics of the studied streams and sites in NE Algeria
| Wadis | Site | Alttitude (m) | Longitude (N) | Latitude (E) | Dominant substrate | Human pressure |
|---|---|---|---|---|---|---|
| W. Chaaba | C1 | 1331 | 35°33ʹ42ʺ | 06°00ʹ43ʺ | coarse sand, stone, rocks | forest |
| C2 | 1270 | 35°33ʹ07ʺ | 06°00ʹ24ʺ | coarse sand, stone, rocks | forest | |
| C3 | 1233 | 35°32ʹ34ʺ | 06°00ʹ37ʺ | coarse sand, fine sand, Stone | forest/agricultural | |
| W. Bouilef | B1 | 1065 | 35°37ʹ02ʺ | 06°11ʹ16ʺ | fine sand, stone | forest/agricultural |
| B2 | 1032 | 35°36ʹ29ʺ | 06°11ʹ39ʺ | coarse sand, rocks | agricultural | |
| B3 | 1024 | 35°36ʹ21ʺ | 06°11ʹ50ʺ | coarse sand, stone | agricultural | |
| W. El Ma | E1 | 1431 | 35°35ʹ55ʺ | 06°02ʹ25ʺ | coarse sand, rocks | forest |
| E2 | 1235 | 35°36ʹ40ʺ | 06°02ʹ05ʺ | coarse sand, stone | forest/ agricultural | |
| E3 | 1143 | 35°37ʹ19ʺ | 06°02ʹ14ʺ | coarse sand, stone | urban | |
| W. Hamla | H1 | 1406 | 35°34ʹ47ʺ | 06°03ʹ03ʺ | fine sand, stone | forest |
| H2 | 1289 | 35°34ʹ51ʺ | 06°04ʹ09ʺ | stone, rocks | agricultural | |
| H3 | 1246 | 35°34ʹ45ʺ | 06°04ʹ37ʺ | coarse sand, fine sand | urban | |
| W. Chelia | G1 | 1560 | 35°17ʹ30ʺ | 06°38ʹ11ʺ | coarse sand, stone, | forest/agricultural |
| G2 | 1415 | 35°17ʹ04ʺ | 06°38ʹ50ʺ | rocks coarse sand, stone | forest/urban | |
| G3 | 1320 | 35°16ʹ47ʺ | 06°40ʹ01ʺ | coarse sand, stone, rocks | agricultural | |
| W. Yabous | Y1 | 1365 | 35°21ʹ10ʺ | 06°38ʹ35ʺ | coarse sand, stone, rocks | forest/agricultural |
| Y2 | 1285 | 35°21ʹ39ʺ | 06°38ʹ37ʺ | coarse sand, stone, rocks | agricultural/urban | |
| Y3 | 1097 | 35°24ʹ54ʺ | 06°39ʹ19ʺ | coarse sand, stone, rocks | agricultural/urban |
Generalized linear model analyzing effects of environmental variables and human pressure (H_ pressure) on the taxonomic richness and abundance of benthic insects in streams of NE Algeria
| Taxonomic richness (S) | Abundance | |||||||||
|---|---|---|---|---|---|---|---|---|---|---|
| Df | Deviance | Resid. Df | Resid. Dev | Pr (> Chi) | Df | Deviance | Resid. | Df Resid. Dev | Pr (> Chi) | |
| Null | 773 | 2824.7 | 0.08758 | 773 | 79260 | |||||
| Altitude | 1 | 2.92 | 772 | 2821.8 | 0.08758 | 1 | 2687.7 | 772 | 76572 | < 2.2 × 10−16 *** |
| Conductivity | 1 | 600.92 | 771 | 2220.8 | < 2.2 × 10−16 *** | 1 | 9284.5 | 771 | 67288 | < 2.2 × 10−16 *** |
| NO2− | 1 | 230.92 | 770 | 1989.9 | < 2.2 × 10−16 *** | 1 | 758.1 | 770 | 66772 | < 2.2 × 10−16 *** |
| pH | 1 | 33.17 | 769 | 1956.8 | 8.427 × 10−9 *** | 1 | 4227.5 | 769 | 45952 | < 2.2 × 10−16 *** |
| PO43− | 1 | 40.01 | 768 | 1916.7 | 2.522 × 10−10 *** | 1 | 655.6 | 768 | 45108 | < 2.2 × 10−16 *** |
| H. pressure | 2 | 416.64 | 766 | 1500.1 | < 2.2 × 10−16 *** | 2 | 22932.3 | 766 | 14560 | < 2.2 × 10−16 *** |