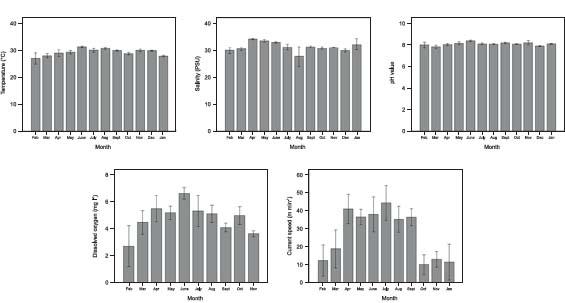
Figure 1

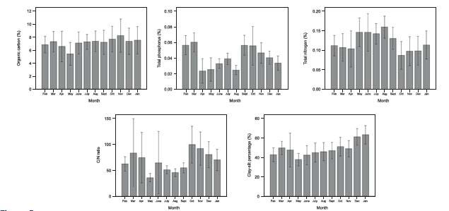
Figure 2

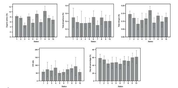
Figure 3

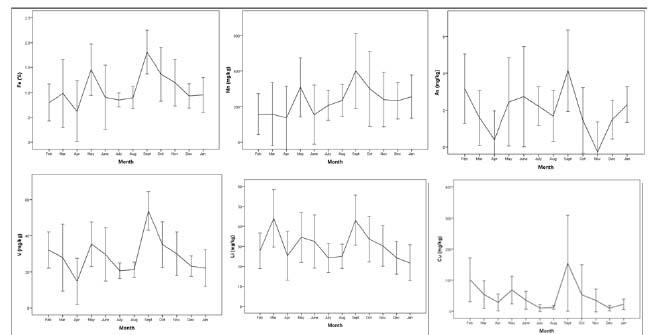
Figure 4

Figure 5

Figure 6

Figure 7

Figure 8

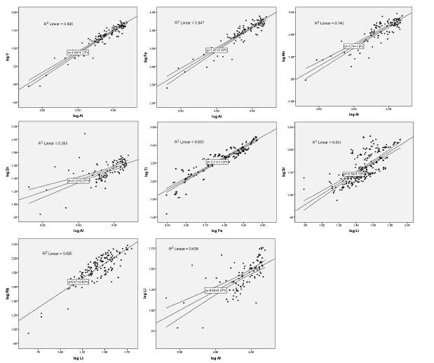
Linear regression equations for various trace metals and the reference elements and the corresponding calculated baseline concentration in the sediment
| Element | N | n | Sample removed | Formula | Background |
|---|---|---|---|---|---|
| V | 330 | 329 | 1 | log10V= -3.99 + 1.22*log10Al | 26.74 mg kg-1 |
| Mn | 326 | 300 | 26 | log10Mn= -5.68 + 1.80*log10Al | 205.31 mg kg-1 |
| Zn | 326 | 284 | 42 | log10Zn= -1.62 + 0.71*log10Al | 34.09 mg kg-1 |
| Fe | 326 | 319 | 7 | log10Fe= -1.40 + 1.20*log10Al | 1.04 mg kg-1 |
| Ti | 188 | 174 | 14 | log10Ti= -1.83 + 1.12*log10Fe | 507.61mg kg-1 |
| Rb | 138 | 94 | 44 | log10Rb= 0.59+ 0.9*log10Li | 93.25 mg kg-1 |
| Sr | 266 | 190 | 76 | log10Sr= -0.74 + 1.51*log10Li | 37.56 mg kg-1 |
| Cr* | |||||
| Cu* | |||||
| Cd* | |||||
| Ag* | |||||
| Ni* | |||||
| As* | |||||
| Li* | |||||
| Pb* |
Metals enrichment
| V | Mn | Zn | Ti | Rb | Sr | |
|---|---|---|---|---|---|---|
| S1 | 1.07 | 1.22 | 2.39 | 0.67 | 0.61 | 0.60 |
| S2 | 1.08 | 1.01 | 1.50 | 0.67 | 0.64 | 0.54 |
| S3 | 1.12 | 0.75 | 2.35 | 0.66 | 0.96 | 1.00 |
| S4 | 1.11 | 1.19 | 1.36 | 0.63 | 0.92 | 0.99 |
| S5 | 1.07 | 1.18 | 1.93 | 0.69 | 0.52 | 0.65 |
| S6 | 0.98 | 1.20 | 1.47 | 0.64 | 1.29 | 1.53 |
| S7 | 1.11 | 0.52 | 1.72 | 0.70 | 0.87 | 0.80 |
| S8 | 1.09 | 1.43 | 1.33 | 0.80 | 0.38 | 0.52 |
| S9 | 1.09 | 1.34 | 1.40 | 0.70 | 0.25 | 0.31 |
| S10 | 1.08 | 1.30 | 1.35 | 0.55 | 0.79 | 0.77 |
Pearson's correlation coefficients between environmental parameters after logarithmic transformation and the concentration of trace metals
| V | Mn | Zn | As | Ti | Rb | Sr | Cr | Cu | Cd | Ag | Ni | Pb | Li | Fe | Al | |
|---|---|---|---|---|---|---|---|---|---|---|---|---|---|---|---|---|
| PC1 | .12 * p<0.05 | -.30 ** The significant coefficients: p<0.01; | -.15 * p<0.05 | -.14 * p<0.05 | -.32 ** The significant coefficients: p<0.01; | .12 * p<0.05 | ||||||||||
| PC2 | .25 ** The significant coefficients: p<0.01; | -.21 ** The significant coefficients: p<0.01; | .40 ** The significant coefficients: p<0.01; | .16 ** The significant coefficients: p<0.01; | -.77 ** The significant coefficients: p<0.01; | .34 ** The significant coefficients: p<0.01; | .21 ** The significant coefficients: p<0.01; | .21 ** The significant coefficients: p<0.01; | ||||||||
| PC3 | .25 ** The significant coefficients: p<0.01; | .31 * p<0.05 | .12 * p<0.05 | -.13 * p<0.05 | .20 ** The significant coefficients: p<0.01; | .376 ** The significant coefficients: p<0.01; | .46 ** The significant coefficients: p<0.01; | .26 ** The significant coefficients: p<0.01; | .42 ** The significant coefficients: p<0.01; | .43 ** The significant coefficients: p<0.01; | .23 ** The significant coefficients: p<0.01; | .25* | ||||
| Clay-silt | .13 * p<0.05 | -.16 * p<0.05 | .23 ** The significant coefficients: p<0.01; | -.17 ** The significant coefficients: p<0.01; | .17 ** The significant coefficients: p<0.01; | -.742 * p<0.05 | .32 ** The significant coefficients: p<0.01; | |||||||||
| DO | -.20 ** The significant coefficients: p<0.01; | -.14 ** The significant coefficients: p<0.01; | -.21 ** The significant coefficients: p<0.01; | -.26 ** The significant coefficients: p<0.01; | -.18 ** The significant coefficients: p<0.01; | -.18 ** The significant coefficients: p<0.01; | -.31 ** The significant coefficients: p<0.01; | -.22 ** The significant coefficients: p<0.01; | ||||||||
| Current | -.29 ** The significant coefficients: p<0.01; | .14 * p<0.05 | -.19 | -.18 ** The significant coefficients: p<0.01; | -.26 ** The significant coefficients: p<0.01; | -.13 ** The significant coefficients: p<0.01; | -.22 ** The significant coefficients: p<0.01; | -.23 ** The significant coefficients: p<0.01; | ||||||||
| Sal. | ||||||||||||||||
| pH | .13 * p<0.05 | .15 ** The significant coefficients: p<0.01; | -.18 * p<0.05 | .23 ** The significant coefficients: p<0.01; | -.68 * p<0.05 | .54 * p<0.05 | -.36 ** The significant coefficients: p<0.01; | .13 * p<0.05 | .22 * p<0.05 | |||||||
| Temp. | .18 ** The significant coefficients: p<0.01; | -.29 ** The significant coefficients: p<0.01; | -.23 ** The significant coefficients: p<0.01; | -.18 ** The significant coefficients: p<0.01; | .52 * p<0.05 | |||||||||||
| Organic | .18 ** The significant coefficients: p<0.01; | .23 ** The significant coefficients: p<0.01; | .16 ** The significant coefficients: p<0.01; | -.26 ** The significant coefficients: p<0.01; | .38 ** The significant coefficients: p<0.01; | .44 ** The significant coefficients: p<0.01; | .20 ** The significant coefficients: p<0.01; | .41 ** The significant coefficients: p<0.01; | .46 ** The significant coefficients: p<0.01; | .19 ** The significant coefficients: p<0.01; | .22 * p<0.05 |
Concentrations of metals in the sediment of Marudu Bay
| S1 | S2 | S3 | S4 | S5 | S6 | S7 | S8 | S9 | S10 | |
|---|---|---|---|---|---|---|---|---|---|---|
| Al(%) | 3.02 ± 1.29 | 3.08 ± | 2.14 ± 0.92 | 2.54 ± 1.03 | 2.15 ± 1.73 | 3.81 ± 1.18 | 2.43 ± 1.02 | 2.98 ± 1.18 | 2.92 ± 1.11 | 2.86 ± 1.20 |
| Fe (%) | 1.22 ± 0.67 | 1.24 ± 0.60 | 0.90 ± 0.42 | 0.90 ± 0.44 | 0.88 ± 0.54 | 1.18 ± 0.53 | 0.93 ± 0.52 | 1.40 ± 0.86 | 1.33 ± 0.77 | 1.32 ± 0.54 |
| Mn (mg kg-1) | 275.60 ± 204.90 | 231.80 ± 134.80 | 119.40 ± 90.20 | 224.78 ± 126.64 | 188.71 ± 232.11 | 341.65 ± 176.60 | 93.71 ± 75.86 | 318.22 ± 222.28 | 291.50 ± 218.56 | 277.50 ± 167.94 |
| Zn (mg kg-1) | 89.30 ± 91.60 | 57.30 ± 38.80 | 62.20 ± 60.50 | 42.77 ± 21.74 | 51.33 ± 30.63 | 69.20 ± 50.50 | 51.81 ± 35.60 | 49.18 ± 20.80 | 50.57 ± 19.41 | 47.86 ± 19.02 |
| As (mg kg-1) | 2.19 ± 1.96 | 2.57 ± 2.01 | 2.93 ± 2.04 | 2.98 ± 2.01 | 2.77 ± 2.21 | 2.62 ± 1.72 | 3.76 ± 2.19 | 0.66 ± 1.42 | 0.00 ± 1.43 | 2.62 ± 2.19 |
| Ti (mg kg-1) | 364.1 ± 450.20 | 347.0 ± 415.1 | 246.8 ± 246.3 | 236.18 ± 266.87 | 251.63 ± 288.83 | 316.76 ± 337.46 | 271.31 ± 324.69 | 468.66 ± 598.90 | 388.01 ± 575.39 | 300.51 ± 385.30 |
| Cd (mg kg-1) | 0.00 ± 0.43 | 0.00 ± 0.38 | 0.00 ± 0.36 | 0.27 ± 1.62 | 0.00 ± 0.61 | 0.00 ± 0.36 | 0.00 ± 0.38 | 0.00 ± 0.40 | 0.00 ± 0.66 | 0.00 ± 0.39 |
| V (mg kg-1) | 31.38 ± 16.17 | 32.20 ± 16.88 | 23.31 ± 12.65 | 27.38 ± 13.56 | 22.26 ± 16.38 | 36.31 ± 17.02 | 26.26 ± 14.58 | 31.59 ± 22.97 | 30.92 ± 17.63 | 29.90 ± 16.74 |
| Rb (mg kg-1) | 78.90 ± 19.30 | 78.49 ± 18.53 | 61.43 ± 23.46 | 82.96 ± 29.64 | 68.13 ± 34.11 | 110.45 ± 21.83 | 71.29 ± 26.54 | 72.33 ± 24.48 | 67.98 ± 27.04 | 94.00 ± 27.71 |
| Sr (mg kg-1) | 31.20 ± 8.40 | 26.60 ± 7.50 | 25.82 ± 10.20 | 35.95 ± 11.68 | 33.98 ± 14.88 | 52.67 ± 15.06 | 26.35 ± 8.08 | 40.20 ± 15.05 | 33.27 ± 9.96 | 37.10 ± 11.89 |
| Li (mg kg-1) | 47.60 ± 23.30 | 44.60 ± 24.30 | 23.46 ± 24.86 | 33.12 ± 31.69 | 47.84 ± 65.71 | 31.28 ± 28.94 | 29.95 ± 32.34 | 70.03 ± 45.07 | 98.02 ± 56.97 | 43.48 ± 39.54 |
| Cr (mg kg-1) | 0.00 ± 0.43 | 0.00 ± 0.38 | 0.00 ± 0.36 | 0.27 ± 1.62 | 0.00 ± 0.61 | 0.00 ± 0.36 | 0.00 ± 0.38 | 0.00 ± 0.40 | 0.00 ± 0.66 | 0.00 ± 0.39 |
| Cu (mg kg-1) | 57.40 ± 58.00 | 115.80 ± 169.30 | 59.56 ± 52.48 | 61.60 ± 68.39 | 61.49 ± 76.73 | 53.69 ± 57.96 | 57.92 ± 71.63 | 95.83 ± 143.35 | 79.80 ± 76.99 | 56.30 ± 64.58 |
| Ag (mg kg-1) | 0.00 ± 0.95 | 0.00 ± 0.90 | 0.00 ± 0.60 | 0.00 ± 0.66 | 0.00 ± 0.80 | 0.00 ± 0.68 | 0.00 ± 0.70 | 0.00 ± 1.03 | 0.00 ± 0.88 | 0.00 ± 0.65 |
| Ni (mg kg-1) | 71.90 ± 24.70 | 65.30 ± 29.40 | 24.47 ± 23.33 | 37.29 ± 40.31 | 36.48 ± 31.15 | 41.47 ± 22.94 | 30.46 ± 17.75 | 109.21 ± 54.56 | 135.09 ± 54.62 | 66.00 ± 27.97 |
| Pb (mg kg-1) | 4.7 ± 5.0 | 3.20 ± 6.24 | 1.78 ± 6.72 | 4.87 ± 6.53 | 4.98 ± 5.17 | 2.78 ± 5.89 | 2.90 ± 7.02 | 3.29 ± 4.19 | 3.13 ± 3.61 | 6.16 ± 2.44 |
Principal component analysis: Varimax rotated component matrix
| PC1 | PC2 | PC3 | |
|---|---|---|---|
| Temperature | 0.85 | 0.07 | 0.05 |
| pH | 0.70 | -0.20 | 0.20 |
| Salinity | 0.37 | -0.24 | -0.01 |
| Current | 0.84 | -0.01 | -0.14 |
| Dissolved oxygen | 0.70 | 0.18 | -0.37 |
| Particle size | 0.09 | -0.94 | 0.03 |
| Clay-silt composition | -0.02 | 0.93 | 0.02 |
| Organic content | -0.04 | 0.15 | 0.92 |
| Total variation explained (%) | 28.5 | 27.0 | 13.6 |
Granulometric characteristics of the sediments from each station in Marudu Bay
| Clay (% ±SD) | Silt (% ±SD) | Sand (% ±SD) | |
|---|---|---|---|
| SI | 2.8 ± 0.7 | 57.1 ± 8.7 | 40.5 ± 8.6 |
| S2 | 2.6 ± 0.7 | 53.7 ± 8.9 | 44.0 ± 8.8 |
| S3 | 2.2 ± 0.6 | 40.3 ± 7.9 | 66.1 ± 13.8 |
| S4 | 2.6 ± 0.7 | 44.5 ± 14.5 | 61.9 ± 19.0 |
| S5 | 2.4 ± 0.8 | 45.3 ± 13.1 | 61.1 ± 18.3 |
| S6 | 2.2 ± 0.9 | 39.0 ± 17.8 | 67.6 ± 20.4 |
| S7 | 2.5 ± 0.8 | 50.3 ± 10.6 | 47.5 ± 10.6 |
| S8 | 2.3 ± 0.7 | 47.9 ± 8.4 | 52.5 ± 7.8 |
| S9 | 2.6 ± 0.7 | 58.4 ± 11.0 | 39.3 ± 10.7 |
| S10 | 3.0 ± 0.9 | 56.5 ± 16.3 | 40.9 ± 15.9 |