Picophytoplankton (0.2 - 2 μm), including Prochlorococcus (Pro), Synechococcus (Syn), and picoeukaryotes (Picoeuk), contribute to phytoplankton biomass and production in marine ecosystems (Liu et al. 2004). Three main categories have different size ranges (Takahashi & Hori 1984). The cell sizes of Syn and Pro are about 1 and 0.6 μm respectively, however, Picoeuk are usually <2 μm and large size cells are determined with Flow cytometric analysis (up to 3-5 μm); on the other hand, these three groups comprise different typical pigments, for instance, Syn cells contain phycoerythrin (PE) and Pro cells have unique divinyl Chl a (DVChl a), Picoeuk cells contain chlorophyll a (Chl a). Therefore, picophytoplankton composition is determined using Flow cytometric analysis based on the differences in signals between scattered light and pigment fluorescence (Jiao & Yang 1999).
Picophytoplankton dominate in subtropical and tropical open oceans, where Pro represents up to 82% of phytoplankton primary productivity in oligotrophic areas (Casey et al. 2007). The distribution of picophytoplankton groups and their responses to physical processes (especially mesoscale eddies) have been examined (Ning et al. 2004) and have attracted increasing attention in recent years (Liu et al. 2007a).
The responses of primary production and Chl a to mesoscale eddies have been extensively studied (Corredor et al. 2004; McGillicuddy et al. 2007; Vaillancourt et al. 2003). Most studies have shown that cold eddies can enhance primary production by vertical injection of nutrients into the upper layer (Brzezinski & Washburn 2011; Moore et al. 2007; Peterson et al. 2011). Biological responses to warm eddies are more complex. Several studies have indicated that warm eddies lead to a lower contribution of picophytoplankton to total Chl a than it is observed in surrounding waters (Rodriguez et al. 2003), and others have shown that surface Chl a concentrations within warm eddies are lower than those outside these eddies (Batten & Crawford 2005; Souza et al. 2006). However, Zodiatis et al. (2005) described similar Chl a concentrations inside and outside a warm eddy.
Picophytoplankton account for the majority of primary productivity in the South China Sea (SCS) (Chen et al. 2009), and mesoscale eddies are ubiquitous in the northern SCS (Nan et al. 2011). Phytoplankton in open areas of the SCS are dominated by Pro, Syn, and Picoeuk (Chen et al. 2009). The majority of studies of phytoplankton dynamics in the SCS have focused on biological investigations and regulatory mechanisms (e.g., Ninget et al. 2004; Cai et al. 2007), with particular attention on chlorophyll (Ning et al. 2004), phytoplankton productivity (Chen et al. 2007), blooms (Lin et al. 2010), and community structure (Huang et al. 2010). The influence of mesoscale eddies on ecological groups of picophytoplankton, which are recognized as the predominant primary producers, has rarely been studied. Huang et al. (2010) studied the distribution of picophytoplankton pigments using high-performance liquid chromatography (HPLC) and found that zeaxanthin and DVChl a were much higher in a warm eddy originating from the Kuroshio Current than at the surrounding reference stations. In this study, we used flow cytometry to determine the distribution of picophytoplankton along an 18°N transect across a mesoscale warm eddy in the northern SCS identified by a combination of satellite information and in situ data. We focused on the effects of the warm eddy on the distribution of picophytoplankton groups in the open basin.
The SCS is a semi-enclosed marginal sea of the western Pacific, connected with the Java Sea via the Karimata Strait to the south, and with the Pacific Ocean via the deep Luzon Strait in the northeast (Fig. 1a). The SCS is part of the East Asian monsoon system. Driven by monsoonal winds, oceanic circulation in the upper layers shows strong seasonal variability and is predominantly cyclonic in winter and anticyclonic in summer (Liu et al. 2001; Wang et al. 2003). Mesoscale eddies are ubiquitous in the northern SCS; they are frequently generated in the northeastern SCS and most propagate westward, inclining slightly to the south near the continental slope (Liu et al. 2013). The SCS is an oligotrophic “mini-ocean” (Du et al. 2013) with primary production in the range of 16-46 mmol C m-2 d-1, and eddy activity important in the biogeochemistry of the SCS basin. For example, primary production was increased to >90 mmol C m-2d-1 by a cyclonic eddy in the northern SCS (Chen et al. 2007). Lin et al. (2010) observed that eddies can deliver nutrients from coastal areas into the oligotrophic basin and induce algal blooms.

(a) Locations of sampling stations (kj01–kj10) during the cruise of August 2012. (b) Map of weekly average sealevel anomalies during the sampling period in August 12-19, 2012; the 200-, 1000-, 2000-, and 3000-m isobaths are marked. HN, Hainan Island; TW, Taiwan; LZ, Luzon
Sampling was performed at 10 stations (kj01–kj10) along the 18°N transect from August 12 to 19, 2012. Water samples were collected and salinity and temperature were measured using a 12-bottle rosette sampler equipped with a SBE-911plus CTD profiler (SeaBird Electronics, USA). The sampling stations crossed the deep basin of the northern SCS, and were located at intervals of approximately 0.5°E (Fig. 1a). At each station, seawater was sampled into 10-L Niskin bottles at seven depths (0, 25, 50, 75, 100, 150, and 200 m). The samples were immediately placed in a freezer for the later determination of Chl a and nutrient concentrations and picophytoplankton abundance as described in other sections.
For Chl a analysis, seawater samples (800 ml) were filtered through 25-mm Whatman GF/F glass fiber filters (Whatman, Inc., Florham Park, NJ, USA; 0.7 μm, Ø25 mm) in dim light under vacuum pressure <75 mm Hg, wrapped in aluminum foil, and stored at –20°C for later extraction and measurement in the laboratory. Chl a concentration was measured fluorescently with a Turner Design 10-AU fluorometer as described by Li et al. (2012).
To measure nutrient concentrations, the seawater was pre-filtered through Whatman GF/F filters and dispensed into 80-ml polycarbonate bottles, which were immediately frozen and stored at –20°C for later analysis. Nitrate, phosphate, and silicate concentrations were analyzed with a Quickchem 8500 nutrient autoanalyzer (Lachat Instruments, USA). The detection limits for nitrate/ nitrite, phosphate, and silicate were 0.014, 0.005, and 0.075 μmol l-1, respectively. Detailed methods for nutrient analysis are described by Peterson et al. (2005) and Li & Hansell (2008).
Seawater samples were pre-filtered through 20-mm mesh netting, fixed with glutaraldehyde (final concentration, 1%) in 2-ml cryotubes (Vaulot et al. 1989), quick-frozen in liquid nitrogen until the analysis in the laboratory. For the determination of photosynthetic picophytoplankton after rapid thawing, 0.5-ml water samples were analyzed using a FACSCalibur flow cytometer (Becton Dickinson, USA). Samples were run at a medium speed and 15 000 events were acquired in a log mode. Following standard protocols (Olson et al. 1985; Olson et al. 1990; Marie et al. 1999; Jiao et al. 2005), fluorescence at wavelengths above 650 nm (FL3 channel) was ascribed to Chl a and fluorescence centered on 585±21 nm (FL2 channel) was ascribed to phycoerythrin. Identification of Syn, Pro, and Picoeuk was based on interactive analysis of bivariate cytograms (Fig. 2). The detailed principle is as follows: Syn cells were easily recognized by the orange fluorescence of their PE (FL2), while Pro cells have smaller scatter signals (SSC) than Syn and have only red fluorescence (FL3); the larger Picoeuk cells also have only red fluorescence but have larger scatter signals than Syn (Legendre & Yentsch 1989). It should be particularly noted that although we found the fluorescence intensity of Pro and Syn increased with increasing depth and the cell size became smaller, and these changes were observed for each group of Syn, Pro, and although Picoeuk had different subcategories (Li et al. 1993; DuRand et al. 2001; Grob et al. 2007; Johnson et al. 2006; Vaulot et al. 2008), we defined each category of them as they clustered in the cytograms and counted cells regardless of the subcategory at different sampling depths. In addition, changes in light signals associated with Pro might affect the estimations of cell abundance in surface water (0 m) because of their lower fluorescence intensity and smaller cell sizes. For other depths (25, 50, 75, 100, 150, 200 m), however, Pro cells can be accurately numerated and we did not find the effects of instrument noise on the numerations of Syn and Picoeuk, which was also reported in the literature (Dusenberry et al. 1994). The abundance of cells was calculated by the ratio metric method from the determined amount of added beads and the relative accuracy (the estimated standard deviation for the results of three replicate samples) in this study was below 5% just as demonstrated by Hammes et al. (2008). Data were processed using the Cell Quest software (Becton Dickinson) and were saved in the listmode. The light parameters were corrected using YG microbeads (0.98-μm diameter; Polysciences, Inc., USA) as interior standards.

Picophytoplankton cytograms of a sample from 75 m at station kj03 in this study. The symbols of pink, green, blue, deep red and black dots show Pro, Syn, Picoeuk, Beads and Noise, respectively.
Statistical analysis were performed using the SPSS 18.0 software (SPSS, Inc., Chicago, USA). The vertical distributions of picophytoplankton abundance and nutrients were plotted using the Ocean Data View 4 software (Alfred Wegener Institute, Germany).
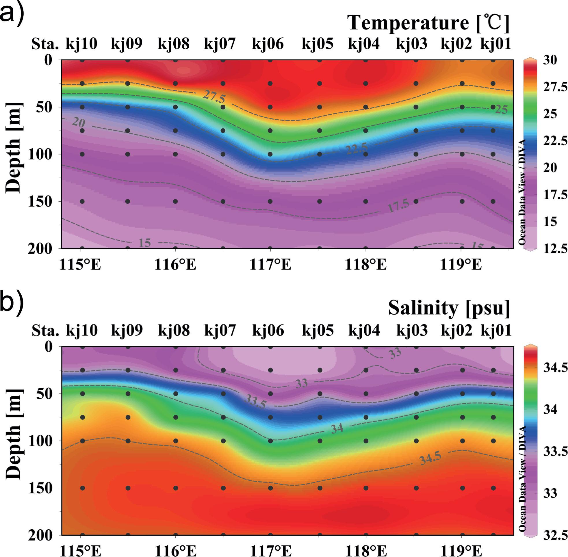
Images of the sampling stations superimposed onto Sea Level Anomaly (SLA) data produced by the French Archiving, Validation, and Interpolation of Satellite Oceanographic (AVISO) project showed a discernible warm eddy during the sampling period (Fig. 1b). The maximum SLA for the warm eddy was 35 cm during the study period; the eddy centered on 117°E and spanned two degrees of longitude during the sampling period in agreement with Nan et al. (2011) and Zhou et al. (2013). Isothermal and isohaline surfaces appeared as clear depressions in the warm eddy compared to the surrounding water, consistent with previous descriptions of anticyclonic eddies (Fig. 3) (McGillicuddy et al. 2007; Nan et al. 2011). The eddy was characterized by lower salinity (<32.7) at the surface relative to that of the surrounding water (>33.2). The water was well mixed in the upper 25 m; the downward displacement of isohaline and isothermal water began at 50 m. For example, the temperature at 50 m was 27.5°C in the eddy core and 22.5°C outside the eddy (Fig. 3a). Isohaline water was also uplifted at the eddy edges (e.g. salinity at stations kj09 and kj10 at 50 m was >34.2 at the edges but <33.5 in the eddy core (Fig. 3b).

Distribution of temperature (a) and salinity (b) in the upper 200 m at sampling stations kj01–kj10 across the warm eddy (18°N) in the northern SCS in summer 2012. The stations are denoted at the top of each panel.
Sampling stations kj01–kj10 were grouped by aquatic environment (eddy core, EC; eddy edge, EE; and reference sites, Ref) as defined by SLA, temperature, and salinity, using PRIMER cluster analysis (Fig. 4). The analysis revealed that stations kj05 and kj06 represented the eddy core, while kj04 and kj07 were located at the eddy edge. The reference sites consisted of stations kj01–kj03 and kj08–kj10.

Dendrogram of the three station groupings (EC - eddy core, EE - eddy edge, and Ref - reference sites) according to cluster analysis
Nitrate, phosphate, and silicate concentrations were low in the upper 50 m of the core of the warm eddy, and increased with depth below 50 m (Fig. 5). The nitrate and phosphate isopleths were uplifted at the eddy edges in the surface water. For example, the nitrate concentration at 50 m in depth was approximately 7.5 μmol l-1 at the edge, compared to 2.5 μmol l-1 in the eddy core (Fig. 5a), and the phosphate concentration at the same depth increased from 0.5 μmol l-1 in the eddy core to 0.8 μmol l-1 at the eddy edge (Fig. 5b). Silicate displayed a similar trend as nitrate and phosphate in the eddy core, but the downward displacement of this nutrient was not as intense (Fig. 5c). Water-column integrated nitrate, phosphate, and silicate concentrations were lower in the eddy core than at the eddy edges or the reference stations; phosphate concentration was significantly lower in the core than at the edges (Table 1 and Fig. 6).

Vertical distribution of nitrate (a), phosphate (b), and silicate (c) in the upper 200 m at sampling stations kj01–kj10 across the warm eddy (18°N) in the northern SCS in summer 2012. The stations are denoted at the top of each panel.

Spatial distribution of water-column integrated nitrate (a), phosphate (b), and silicate (c) from 0 to 200 m. The sampling stations (kj01–kj10) were classified as Ref, EE, and EC 50 m, the abundance of Syn was significantly higher at the eddy edge than that at the reference stations. The water-column integrated Syn abundance within the eddy core was significantly lower than that at the reference stations (Table 1 and Fig. 9b).
Water-column integrated nutrient, Chl a, picophytoplankton, and carbon biomass measured at sampling stations in EC, EE, and Ref
| (1) | Unit | Ref | (2) | (3) | b(EE + EC) |
|---|---|---|---|---|---|
| Nitrate | μmol l-1 | 12.56±3.97 | 16.94±3.81 | 11.88±0.51 | 14.41±3.67 |
| Phosphate | 0.78±0.08 | 0.99±0.002 (0.03) | 0.74±0.01 (—, 0.030) | 0.87±0.15 | |
| Silicate | 11.43±0.95 | 12.14±0.26 | 9.34±0.83 (—, 0.039) | 10.74±1.69 | |
| Chl a (SCM) | μg l-1 | 0.16±0.04 | 0.09±0.01 | 0.08±0.02 | 0.09±0.02 (0.005) |
| Total Chl a | 0.05±0.01 | 0.06±0.002 | 0.05±0.01 | 0.06±0.01 | |
| Syn | × 103 cells ml-1 | 2.71±0.63 | 2.55±0.12 | 1.56±0.04 (0.031, —) | 2.05±0.58 |
| Picoeuk | 0.92±0.15 | 0.60±0.11 (0.037) | 0.28±0.01 (0.001, —) | 0.44±0.19 (0.001) | |
| Pro | 25.10±2.32 | 15.75±1.78 (0.002) | 9.67±0.23 (0, 0.05) | 12.71±3.66 (0) | |
| Syn-carbon | × 105 fgC ml-1 | 6.76±1.58 | 6.38±0.29 | 3.89±0.11 (0.031, —) | 5.13±1.45 |
| Picoeuk-carbon | 19.40±3.18 | 12.64±2.26 (0.037) | 5.78±0.08 (0.001, —) | 9.21±4.19 (0.001) | |
| Pro-carbon | 13.30±1.23 | 8.35±0.94 (0.002) | 5.12±0.12 (0, 0.05) | 6.74±1.94 (0) | |
| Pico-carbon | 39.47±2.59 | 27.37±1.02 (0.011) | 14.79±0.07 (0, 0.022) | 21.08±7.28 (0) |
As expected, Chl a content was very low (<0.06 μg l-1) in the upper 25 m and reached the maxima at 50 m at the reference stations (Fig. 7a). The subsurface Chl a maximum (SCM) layer in the eddy core and at the edges occurred at 75 m rather than at 50 m as observed for the reference stations, and SCM values were lower in the eddy core than at the reference stations (Fig. 8a). Chl a concentrations in the SCM layer were similar at the eddy core and edge stations (Table 1). The water-column integrated Chl a concentrations did not differ among the eddy core, edge, and reference stations (Table 1 and Fig. 9a).
The vertical distribution of picophytoplankton abundance varied along the 18°N transect across the warm eddy. Syn was dominant in the upper 50 m, and the layer of maximum Syn abundance occurred at 50 m in the eddy core and edges; however, the highest overall Syn abundance was found at the surface at the reference stations (Figs 7b and 8b). At Pro was dominant in the upper 100 m, and the layer of the maximum Pro abundance followed the same pattern as observed for Chl a; a pronounced depression in Pro abundance occurred at 50 m in the eddy core (Figs 7c and 8c).Water-column integrated Pro in the eddy core was significantly lower than at the reference stations or eddy edge, and Pro abundance at the edge was also lower than at the reference stations (Table 1 and Fig. 9c).

Vertical distribution of Chl a (a) concentration and abundance of Syn (b), Pro (c), and Picoeuk (d) in the upper 200 m in the warm eddy (18°N) in the northern SCS during summer 2012

Vertical profiles of Chl a (a) concentration and abundance of Syn (b), Pro (c), and Picoeuk (d) in the upper 200 m in the warm eddy (18°N) in the northern SCS during summer 2012

Spatial distribution of water-column integrated Chl a (a) concentration and abundance of Syn (b), Pro (c), and Picoeuk (d) from 0 to 200 m in the warm eddy (18°N) in the northern SCS during summer 2012. The sampling stations (kj01–kj10) were classified as Ref, EE, and EC.
Picoeuk were primarily distributed in the upper 50 m (Fig. 7d). The maximum abundance of Picoeuk occurred at 50 m at the edge and reference stations, and at 75 m in the eddy core, and Picoeuk abundance was approximately five times lower in the eddy compared to the reference stations (Fig. 8d). In addition, the water-column integrated Picoeuk abundance was significantly lower in the eddy core and at the edge than at the reference stations, and did not differ significantly between the core and edge (Table 1 and Fig. 9d).
A previous study showed that picophytoplankton contributed less to the total Chl a in warm eddies than in the surrounding waters, with Syn primarily distributed outside the eddy and with Pro absent from the eddy (Rodriguez et al. 2003). Our results suggested that the layer of maximum Pro and Picoeuk abundance dropped from 50 m at the reference stations to 75 m in the eddy core, and that the integrated picophytoplankton abundance within the eddy core was lower than that at the edge or reference stations (Table 1). To further confirm the differences in picophytoplankton abundance within and outside the eddy, please refer to the integrated carbon biomass of each group (Table 1). Significantly lower Pro and Picoeuk carbon biomass was observed within the eddy relative to the reference stations (Table 1), which was consistent with the lower abundance of Pro and Picoeuk within the eddy. Although the water-column integrated Syn carbon biomass showed no significant differences within the eddy (EC + EE), the integrated carbon biomass of the total picophytoplankton was significantly lower in the eddy, suggesting that the picophytoplankton groups were affected by the warmer water.
Nitrate and phosphate concentrations were significantly higher at the eddy edge than at the core or outside the eddy (Fig. 5 a and b, respectively); phosphate and silicate were significantly lower in the core of the upper nutricline, but were elevated at the edges (Fig. 5 b and c, respectively). This result was consistent with previous findings (Bibby et al. 2008; Mizobata et al. 2002; Peterson et al. 2005; Sweeney et al. 2003) and may be attributed to upwelling and accumulation of nutrients at the edges of warm eddies (Kim et al. 2012; Mizobata et al. 2002; Wang et al. 2008). In anticyclones, the shear generated between the eddy periphery and the surrounding waters enhances the net spin of the fluid in the direction of the Earth’s rotation, leading to the upwelling towards the inner edge of the eddy and downwelling towards the outer edge under the influence of wind forcing (Mahadevan & Archer 2000; Mahadevan et al. 2008). In addition, phosphate levels were higher at the edges than at the eddy core or reference stations, while nitrate and silicate levels were comparable to those at the reference stations. Elevated nutrients at the edges of the warm eddy can cause shifts in the dominant taxa from dinoflagellates to diatoms and in the dominant size class from picoplankton to nanoplankton, especially when more than one nutrient is limited (Ning et al. 2008). Our results are consistent with this dynamics, as described below.
Mesoscale eddies can affect rates of nutrient supply to the euphotic zone through upwelling and downwelling, thereby altering the phytoplankton productivity and particle export. Nutrient ratios in the open ocean indicate that these areas are nitrogen limited (Peterson et al. 2011). At 50 m, the ratio of nitrate to phosphate (N/P) was much lower than that predicted by the Redfield ratio (Redfield 1958) (Table 2). The ratio of N/P in the eddy core was lower than that at the edge or reference stations, suggesting that nitrogen was more limiting in the core and that picophytoplankton abundance would be lower there. The Si/N and Si/P ratios indicated nutrient conditions in the core were more conducive to diatom growth compared to the edge and reference stations (Table 2). This result was consistent with the SCM and maximum Pro and Picoeuk abundance at 75 m. The nutrient ratios suggested silicate was restricted in the core, and the SCM layer at the eddy edge (75 m) was deeper than the Pro, Syn, and Picoeuk maxima (50 m), suggesting an increase in nanophytoplankton cells at the edge (Ning et al. 2008; Tan et al. 2013). In the eddy core, however, the SCM layer corresponded with the Pro, Syn, and Picoeuk maxima, indicating the elevated nutrients promoted the nanophytoplankton growth. At the reference stations, the SCM layer overlapped with the Pro, Syn, and Picoeuk maxima, indicating that Chl a was primarily contributed by picophytoplankton. These results suggest that the warm eddy increased nutrient concentrations and nanophytoplankton at the eddy edges, causing inconsistency in the maximum depth layers of Chl a and picophytoplankton. Picophytoplankton abundance within the core was reduced compared to the edge and reference stations, but no differences in the water-column integrated Chl a were observed inside and outside the eddy. This suggested elevated nanophytoplankton abundance compensated for the loss of picophytoplankton within the eddy core (Tan et al. 2013).
Nutrient ratios (N - nitrate, P - phosphate, and Si - silicate) at 50 m and 75 m depths at EC, EE, and Ref
| Depth | N/P | Si/N | Si/P | |
|---|---|---|---|---|
| Ref | 50 m | 5.82±1.01 | 0.83±0.29 | 4.75±1.21 |
| 75 m | 11.93±5.61 | 1.54±0.55 | 14.63±2.83 | |
| EE | 50 m | 6.56±2.85 | 0.77±0.18 | 4.79±1.02 |
| 75 m | 9.02±3.49 | 1.09±0.33 | 9.28±0.88 | |
| EC | 50 m | 4.78±0.33 | 0.97±0.02 | 4.63±0.22 |
| 75 m | 12.67±0.99 | 0.62±0.14 | 7.91±2.34 |
Mesoscale warm eddies affect the distribution of phytoplankton groups through vertical and horizontal transport (Mahadevan et al. 2008). Picophytoplankton dominate the primary productivity in the open ocean (Casey et al. 2007; Liu et al. 2007b). Our results showed that the warm eddy played an important role in reducing the picophytoplankton abundance (especially those of Pro and Picoeuk), causing the layer of maximum picophytoplankton abundance not to match that of the subsurface Chl a maximum. Our results provide partial support to the hypothesis that biological responses can be detected within anticyclonic eddy cores (Sweeney et al. 2003). Furthermore, because the typical pigments analyzed by HPLC may not accurately express the picophytoplankton abundance (Jeffrey & Hallegraeff 1980; Rodriguez et al. 2003), we determined the picophytoplankton abundance directly using the flow cytometry to yield more reliable results.
Parameter
SCM refers to subsurface Chl a maximum at 50 m; Cell numbers were converted to carbon biomass by applying conversion factors of 250 (Syn); 2 100 (Picoeuk); and 53 (Pro) fgC cell-1 (Campbell et al. 1994).
EE
Parentheses show P values obtained from analysis of variance (ANOVA) for (EE + EC) vs. Ref (α = 0.05).
EC
Parentheses show P values obtained from ANOVA for EC vs. Ref (the first value) or EE (the second one) (α = 0.05); symbol “—” means P>0.05.