Chalcogenide glasses are a special type of amorphous semiconducting materials which have some unique properties that play a vital role in the field of infrared optics, memory devices, fiber optics, optoelectronics, lithography, xerography, etc. [1, 2]. Chalcogenide glasses that have relatively low connectivity, well below an average coordinate number of 2.4 [3] are termed floppy or under-coordinated glasses. Such glasses could be a chalcogen-rich composition, like the glass containing 90 % Se. These glasses generally exhibit excessive built-in stress and can relatively easily undergo a transition to a phase separated material that is at least partially crystallized. Amorphous selenium as a chalcogenide material became a material of commercial importance. Its various device applications, such as rectifiers, photocells, xerographs, switching and memory devices, etc. have made it attractive.
However, pure selenium has disadvantages, such as short lifetime and low photosensitivity. This problem can be overcome by the incorporation of group III, IV, V, and VI elements [4]. Chalcogenide glasses invariably display p-type electronic conductivity, and are known to remain p-type when melted with common donor atoms. Pb or Bi doped chalcogenide are the only melt doped chalcogenide glasses in which carrier-type reversal [CTR] has been observed [5]. Therefore Bi was added to Se for studying the phenomenon which is related to the chemistry of the system and has an effect on its optical and electrical parameters. Because of the anomalous behavior of Bi when included in larger quantity, two different concentrations of Bi were studied. On the other hand, introducing Bi atoms into a matrix rich of chalcogen atoms enables the study of formation of tiny crystals in chalcogenide glass films as a material for nano-dipole junctionless photovoltaic devices [6]. Also, the effect of γ-radiation on some parameters in correlation with composition was studied.
Bulk glassy BixSe1−x alloys with x = (0, 5 and 10) were prepared from high purity, (5N), Se and Bi by the well-known melt quenching technique. The successful method for obtaining thin films with homogenous composition and thickness from the melt quenched ingot was the thermal evaporation technique under vacuum of 1 × 10−4 Pa, with the substrate heated to about 150 °C. The film thickness was monitored during the deposition process using a quartz crystal thickness monitor (Edward FTM5), and it was in the range of 1800 Å to 2000 Å. Elemental analysis of the prepared films was performed using energy dispersive X-ray, EDX spectrometer attached to a Joel JSM-5410 scanning electron microscope. EDX analysis results were obtained for three randomly selected areas to confirm compositional homogeneity (Table 1). Structure of thin films was evaluated by a Shimadzu X-ray diffractometer, model XD-D1 with CuK α radiation target, λ = 1.5418 Å, operated at 40 kV and 30 mA in a wide range of Bragg’s angles (2θ = 5° to 90°). Film morphology was studied using an atomic force microscope, AFM, Agilent type, AFM 5500, USA. AFM is a powerful tool to obtain high resolution maps of surface potential distribution on conducting and non-conducting samples. Contact potential difference better than 0.1 mV and the lateral dimension (≤50 nm) were obtained for the samples under investigation. A conventional hot-probe experiment was used to distinguish between n-type and p-type semiconductors using a hot probe and a standard multimeter. Positive voltage read out was obtained for n-type semiconductor whereas for a p-type semiconductor, negative voltage was measured. Thin film samples were deposited on glass substrates in a co-plannar configuration, with Au electrode separated by ~0.15 cm gap for DC conductivity measurements. The measurements were carried out under controlled equilibrium conditions in the temperature range of 209 K to 313 K (glass transition temperature Tg~326 K). Keithly 617 digital electrometer as well as a power supply and temperature controller were used in a special setup for conductivity measurements. Optical absorption was recorded using a double-beam Shimadzu 160A UV-Vis spectrophotometer in the wavelength range of 200 nm to 1100 nm, with normal incidence at room temperature. Effect of γ-irradiation was studied for the films of a thickness of 400 nm with the doses up to 51 kGy in a Co60 source of γ-radiation type 400 A (India) at a dose rate of 5 kGy/h.
Composition | Bulk | Thin film | ||
|---|---|---|---|---|
Se [at.%] | Bi [at.%] | Se [at.%] | Bi [at.%] | |
Bi5Se95 | 94.96 | 5.04 | 94.79 | 5.21 |
Bi10Se90 | 90.39 | 9.61 | 90.03 | 9.97 |
Structure and surface morphology of BixSe1-x thin films were studied by X-ray diffraction XRD and atomic force microscopy. XRD patterns in Fig. 1 show the amorphous nature of Se, but due to addition of Bi there is a diffraction peak at 2θ = 23.49° for Bi5Se95 and at 2θ = 23.48° for Bi10Se90. There is also a small diffraction peak at 2θ = 29.26° for Bi10Se90 film due to some crystal features of the film. By fitting the relative intensities and the peak positions in the XRD patterns, it was found that the diffraction peak at 2θ = 23.48° is due to Bi atoms (PDF card file No. 69-901-1997) and the peak at 2θ = 29.26° for the Bi10Se90 film is due to the presence of Bi2Se3 clusters (PDF card file No. 69-901-1966). Formation of these clusters resulted in a rough surface which was confirmed by AFM measurements as shown in Fig. 2. The film surface of Bi5Se95 is smooth with RMS roughness of 0.0124 nm but for Bi10Se90 the RMS roughness increased to about 3.93 nm confirming the formation of Bi2Se3 clusters which show strong n-type conduction [7].

XRD patterns of Se, Bi5Se95 and Bi10Se90 thin films.

AFM images of Se, Bi5Se95 and Bi10Se90 thin films.
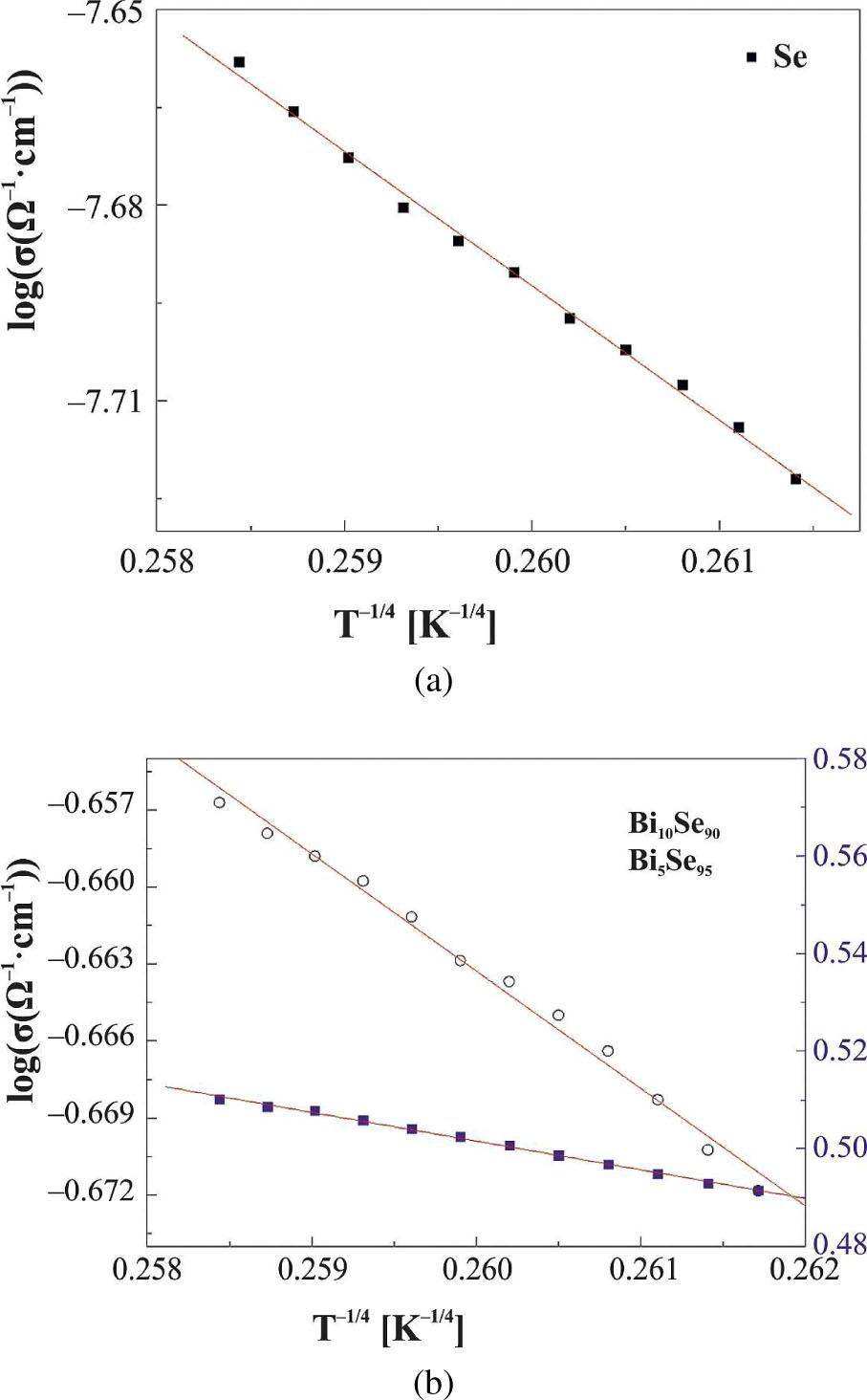
Measurement results of DC conductivity as a function of temperature in the range between 209 K and 313 K (Fig. 3) were used for examination of conduction mechanisms in Se, Bi5Se95, and Bi10Se90. Temperature dependence of the DC conductivity can be explained by the conventional relation [8]:

Temperature dependence of DC conductivity of all studied films.
The first term describes high temperature region, where the dominant mechanism is the band conduction through the extended states. The preexponential factor (σo) depends on composition, ΔEσ is the electrical activation energy of conduction, k is the Boltzmann constant and T is temperature in Kelvin. Fig. 3 shows that the conductivity of the films increases with temperature, indicating the semiconducting behavior of the samples. Also the system follows the conduction mechanisms according to Mott’s model for amorphous composition [9]. The values of activation energy were determined from the slopes of linear-least square fit of the plots of log (σ) versus 1000/T (region 1) using equation 1. The values of activation energies are given in Table 2. There is a remarkable change in the activation energies (ΔEσ) and (ΔE1) with increasing Bi content. This could be attributed to the change of conduction type, (CTR), from p-type for Se to n-type for Bi5Se95 and Bi10Se90. This phenomenon can be explained in terms of unpinning of the Fermi level and the consequent enhancement in electron concentration in the medium. According to [7], the n-type conduction in Bi10Se90 composition is due to the formation of Bi2Se3 crystalline clusters which are uniformly distributed in the glass matrix as shown in AFM image, Fig. 2. The sharp decrease of ΔE of Bi5Se95 composition may be due to a change in bonding type, from covalent to partially ionic, at the Bi sites [10]. At low temperature region in Fig. 4, conduction occurs via variable range hopping of charge carriers in the localized states near Fermi level, and is characterized by Mott’s variable range hopping VRH [11, 12]:

log(σ(Ω -1 •cm -1)) vs. T -1/4 for all films indicating the variable range hopping conduction.
DC electrical parameters of BixSe1−x system.
Composition | ΔEσ[eV] | σo[Ω.cm] −1 | ΔE1 [eV] | σ1 [Ω.cm] −1 |
|---|---|---|---|---|
Se | 0.99±0.12 | 3.9 × 1010 | 0.87±0.04 | 3.3 × 1011 |
Bi5Se95 | 0.03±0.03 | 0.69 | 0.12±0.002 | 0.2 × 102 |
Bi10Se90 | 0.14± 0.02 | 0.8 × 103 | 0.09± 0.004 | 0.15 × 103 |
where Dfho is the pre-exponential factor, α describes the spatial extent of localized wave function, To is the degree of disorder, λ is a dimensionless constant, k is the Boltzmann constant and N(Ef) is the density of localized states at the Fermi level (Ef). Value of Dfho obtained by various scientists [13–15] is given by:
where e is the electron charge and γ is the Debye frequency (1013 Hz). Simultaneous solution of equation 3 and equation 4 yields:
Linear fit of the data shown in Fig. 4 indicates that temperature dependence of the conductivity in this temperature range satisfies Mott’s formula. Straight lines parameters were used to calculate N(Ef) and consequently to calculate the basic parameters characterizing VRH conduction, namely the hopping distance Rh is given by [15]:
while the hopping energy W is given by [15]:
Compositional dependence of A, σ0, α, N(Ef), T0, R and W is given in Table 3. The results reveal that To, which represents the degree of disorder, decreases with increasing Bi content. This means that amorphicity of the samples decreases and there is some ordering as a result of formation of crystallites as confirmed by X-ray and AFM.
Composition | A K1/4 | To K | σho Ω−1.cm−1 | α cm−1 | N(Ef) eV−1.cm−3 | Rh cm | W me V | αR |
|---|---|---|---|---|---|---|---|---|
Se | 20.65 | 1.8 × 105 | 2 × 102 | 2 × 106 | 1.021 × 1021 | 3 × 107 | 8 | 8.8 × 102 |
Bi5Se95 | 7.21 | 2.7 × 103 | 0.1 × 102 | 1.4 × 104 | 6.87 × 1022 | 3.6 × 10−7 | 0.075 | 0.6 |
Bi10Se90 | 5.61 | 9.9 × 102 | 8.1 × 10 | 5.7 × 104 | 1.87 × 1023 | 2 × 10−7 | 0.15 | 2.8 |
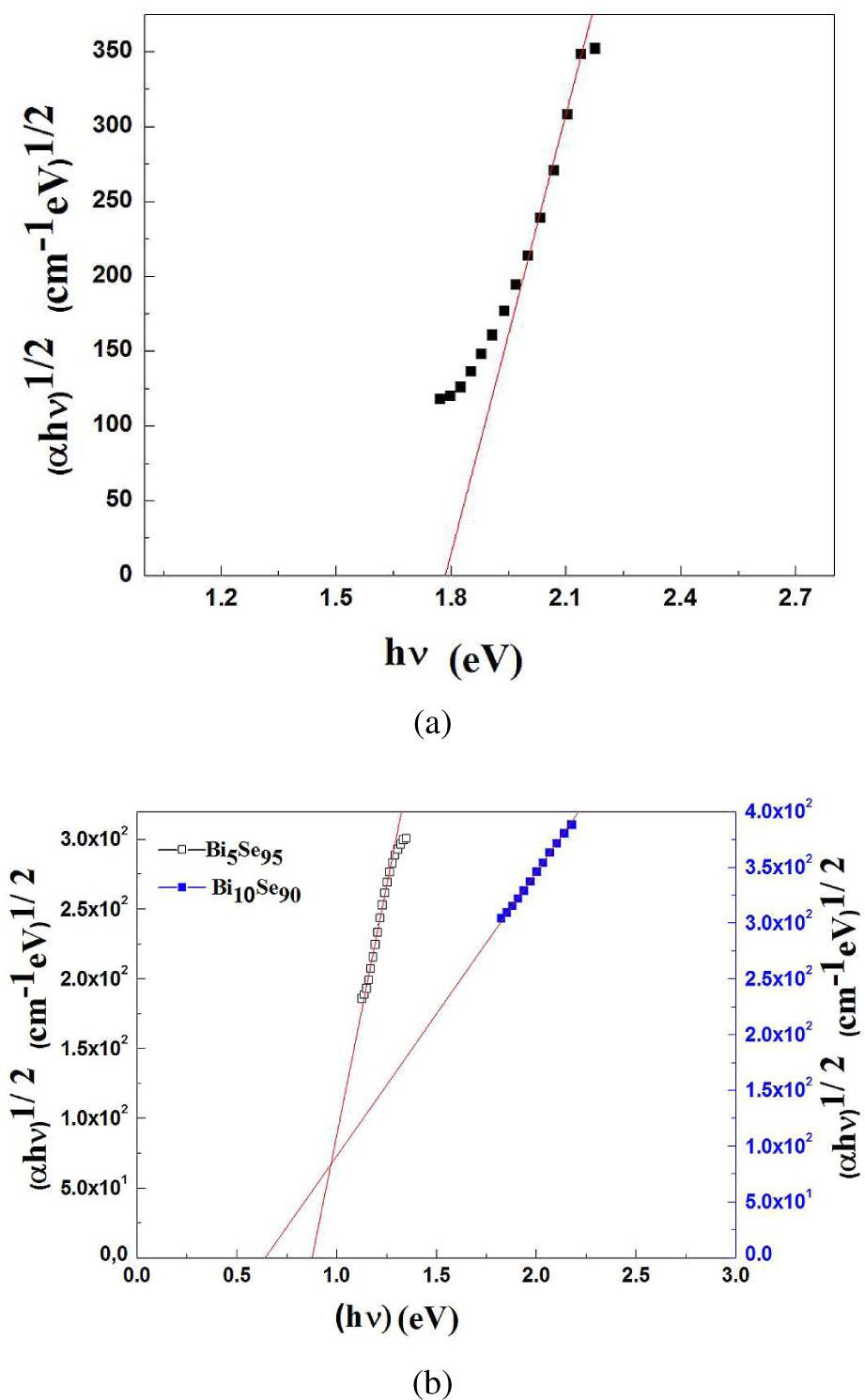
Analysis of optical absorption data is an important and efficient tool for exploring and interpreting various phenomena of electronic processes in materials subjected to ionizing radiation [16]. This also provides a strong tool for understanding the theory of electronic transport in all types of solid-state structures [17]. In various absorption processes, electrons and holes absorb both a photon which supplies the needed energy and a phonon which supplies the required momentum. The absorption coefficient (α) was calculated from the absorbance spectrum as expressed by:
where t is the film thickness in cm and A is the absorbance given by:
where I0 and I are the intensity of incident and transmitted intensities respectively. The absorption edge at the calculated high values of absorption coefficient α ≥ 104 cm−1 can be described by the equation 11:
β−1 is the band edge parameter and n is an exponent which is a parameter associated with both transition type and profile of electron density in the valence and conduction bands. Eg is the optical energy gap of the material. Plotting (αh⋎)1/n versus (h⋎) and using an appropriate value of n to linearize the graph, we obtained n values of 1/2 or 2 for allowed direct or non-direct transitions, respectively. In the present case, the best fit was found for n = 2 to obtain Eg as shown in Fig. 6. The values of Eg are listed in Table 4. It is clear that there is no sharp absorption edge which is characteristic of glassy state. At low absorption region, the absorption coefficients α(⋎) near the band edge ≤ 10 4 cm−1 show an exponential dependence on photon energy h⋎, which usually obeys Urbach’s [18] empirical relation:

Absorption spectra of all studied films.

Relation between (αh⋎)1/2 and photon energy hv for all studied films.
Composition | ET eV | Ee eV | B1/2 (eV.cm)−1/2 |
|---|---|---|---|
Se | 1.8±0.05 | 0.2±0.01 | 978.72 |
Bi5Se95 | 0.87±0.05 | 0.21±0.03 | 655.27 |
Bi10Se90 | 0.65±0.05 | 0.52±0.03 | 245.38 |
where a0 is a constant, w is the angular frequency of incident photon, h is the Planck’s constant and Ee is the width of band tail of localized states. The calculated values of the Ee are listed in Table 4. It is clear that the steepness of the absorption edge is changing and a red shift in the absorption edge is observed due to introducing Bi atoms. According to [7], the red-shift is associated with the p-n transition or CTR. Also, addition of Bi to Se has an effect of increasing randomness and hence, a consequent increase in the localized states in the gap. Increasing the number of localized states in the gap increases the electronic transition probability leading to narrowing the band gap. Also, the red shift of the absorption edge could be related to the structural changes resulting from Bi addition [19]. The effect of γ-irradiation on optical absorption was studied for five irradiation doses up to 51 kGy. The results are tabulated in Table 4. Variation of absorption coefficient of Se thin film with the incident photon energy, for three γ-irradiation doses is shown in Fig. 7. It is clear that there is a shift in the absorption edge towards lower energies

Absorption spectra for as-deposited Se thin film and Se thin film γ-irradiated with different doses.
with irradiation dose. A similar pattern of change is observed for the samples doped with Bi. It can be noticed that there is a slight change in Eg with increasing γ-doses. For Bi5Se95, shown in Fig. 8, this slight difference may be due to the creation of tiny defects in the sub-shell. Such results as in Table 4 indicate that the prepared films are almost stable against γ-irradiation and the CTR phenomenon is still in effect after γ-irradiation.

Absorption spectra for as-deposited Bi5Se95 thin film and Bi5Se95 thin film γ-irradiated with different doses.
In conclusion, addition of Bi atoms can be used to tailor the structural, electrical and optical properties of chalcogenide materials.
Increasing the Bi content leads to the occurrence of dispersed nanocrystalline clusters of Bi2Se3 in the glassy host material of Se. Formation of these clusters leads to the change of conduction type from p-type to n-type conduction. Also the decreasing value of T0 obtained from VRH mechanism of conduction at low temperature confirms the presence of crystalline clusters. Addition of Bi to Se leads to a decrease of the optical energy gap due to the increase of localized states created as a result of structural and electronic changes induced by Bi atoms. The red shift of the absorption edge is caused by adding Bi to Se matrix. So, by carefully tailoring the properties, this material is a promising candidate to be used in junctionless photovoltaic devices. The studied SeBi films are almost stable against γ-irradiation and the observed CTR phenomenon is still in effect after γ-irradiation.