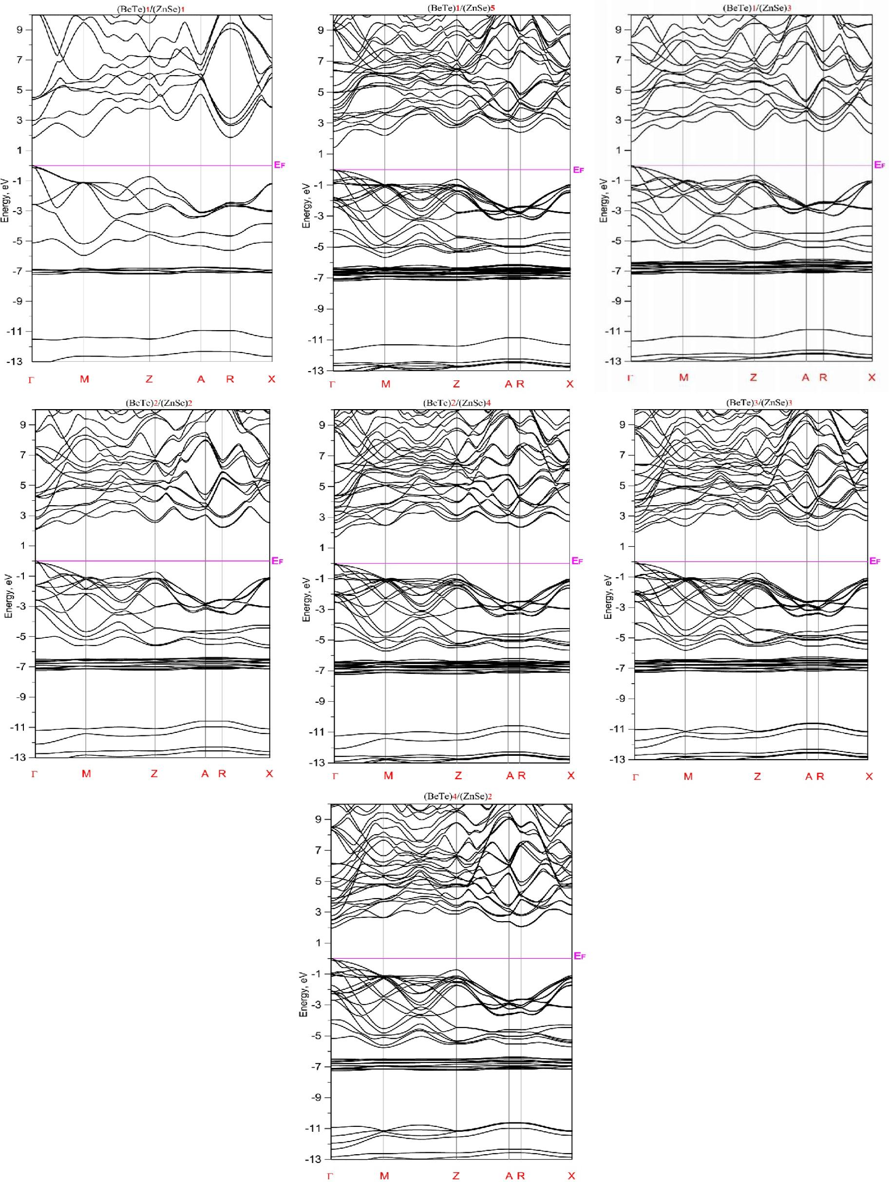
Fig. 1

Fig. 2

Fig. 3

Fig. 4

Fig. 5

Fig. 6

Fig. 7

The calculated equilibrium constant a ( Å), bulk modulus B0 (GPa) and B′0 for superlattices (BeTe)n/(ZnSe)m_
| Compounds | a(Å ) | B0 (GPa) | |
|---|---|---|---|
| (BeTe)1/(ZnSe)1 | 5.619 | 58.947 | 4.99803 |
| (BeTe)2/(ZnSe)2 | 11.241 | 59.829 | 4.14331 |
| (BeTe)3/(ZnSe)3 | 16.826 | 62.328 | 4.16186 |
| (BeTe)1/(ZnSe)3 | 11.242 | 64.827 | 4.93767 |
| (BeTe)3/(ZnSe)1 | 11.230 | 60.270 | 3.47019 |
| (BeTe)2/(ZnSe)4 | 16.847 | 64.97 | 4.38255 |
| (BeTe)4/(ZnSe)2 | 16.830 | 61.299 | 3.17126 |
| (BeTe)1/(ZnSe)5 | 16.863 | 65.856 | 4.64635 |
| (BeTe)5/(ZnSe)1 | 16.802 | 58.065 | 3.36946 |
Input parameters: number of plane waves, energy cut-off and muffin-tin radii_
| Compounds | NPLW (Total) | Ecut [Ryd] | MTS [a.u.] | ||||
|---|---|---|---|---|---|---|---|
| Be | Te | Zn | Se | ||||
| (BeTe)1/(ZnSe)1 | 16242 | 137.1748 | 2.122 | 2.476 | 2.122 | 2.476 | |
| (BeTe)2/(ZnSe)2 | 32458 | 137.0922 | 2.024 | 2.526 | 2.165 | 2.392 | |
| (BeTe)3/(ZnSe)3 | 48690 | 137.6625 | 2.020 | 2.540 | 2.158 | 2.401 | |
| (BeTe)1/(ZnSe)3 | 32458 | 137.0651 | 2.123 | 2.477 | 2.180 | 2.392 | |
| (BeTe)3/(ZnSe)1 | 32458 | 137.3635 | 2.022 | 2.540 | 2.121 | 2.474 | |
| (BeTe)2/(ZnSe)4 | 48690 | 137.3247 | 2.022 | 2.528 | 2.172 | 2.401 | |
| (BeTe)4/(ZnSe)2 | 48690 | 137.6141 | 2.020 | 2.546 | 2.140 | 2.431 | |
| (BeTe)1/(ZnSe)5 | 48690 | 137.0638 | 2.123 | 2.477 | 2.182 | 2.401 | |
| (BeTe)5/(ZnSe)1 | 48690 | 138.0711 | 2.017 | 2.548 | 2.108 | 2.475 | |
Calculated energy band gaps_
| Compounds | Eg (eV) | Nature |
|---|---|---|
| (BeTe)1/(ZnSe)1 | 1.829038 | Gap direct |
| (BeTe)2/(ZnSe)2 | 2.102459 | Gap direct |
| (BeTe)3/(ZnSe)3 | 1.933643 | Gap direct |
| (BeTe)1/(ZnSe)3 | 1.582407 | Gap direct |
| (BeTe)3/(ZnSe)1 | 1.858339 | Gap indirect |
| (BeTe)2/(ZnSe)4 | 1.706723 | Gap direct |
| (BeTe)4/(ZnSe)2 | 1.971915 | Gap direct |
| (BeTe)1/(ZnSe)5 | 1.427891 | Gap direct |
| (BeTe)5/(ZnSe)1 | 1.852561 | Gap indirect |
Calculated lattice parameter a ( Å), bulk modulus B0 (GPa), derived modulus B′0 and gap energy Eg(eV) for the binary compounds at equilibrium volume_
| Lattice constant (Å) | Bulk modulus B0 (GPa) | Eg(eV) | |||||||||
|---|---|---|---|---|---|---|---|---|---|---|---|
| This work | Exp | Other works | This work | Exp | Other works | This work | Exp | Other works | This work | Exp (Γ-X) | Other works |
| BeTe 5.588 | 5.617 a[13], | 5.581 b[14], c[15], | 56.448 | 66.8 a[13], | 62.36 b[14], c[15], d[16], e[17], f[18], g[19], | 3.62 | 4 a[13], | 3.69 b[14], c[15], | 1.907 | 2.7 h[20], | 1.76 g[19], d[16], |
| 5.53 d[16], e[17], | 71 d[16], e[17], | 3.38 d[16], e[17], | |||||||||
| 5.531 f[18], g[19], | 71 f[18], g[19], | 3.377 f[18], g[19], | |||||||||
| Exp (Γ-Γ) | |||||||||||
| ZnSe 5.65 | 5.667 i[21], j[22], | 5.624 k[23], l[24], m[25], | 59.68 | 64.7 i[21], | 71.82 k[23], l[24], | 3.96 | 4.77 i[21], | 4.88 k[23], l[24], | 1.0963 | 2.82 q[29], | 1.31 k[23], |
| 5.666n | 67.32 m[25], | 4.05n, 599 o[27], | 1.863 r[30], | ||||||||
| 5.578 o[27], p[28], | 71.84 o[27], p[28], | 4.57 p[28], | 1.83 s[31]. | ||||||||
