






The post-IR IRSL SAR protocols used in this study
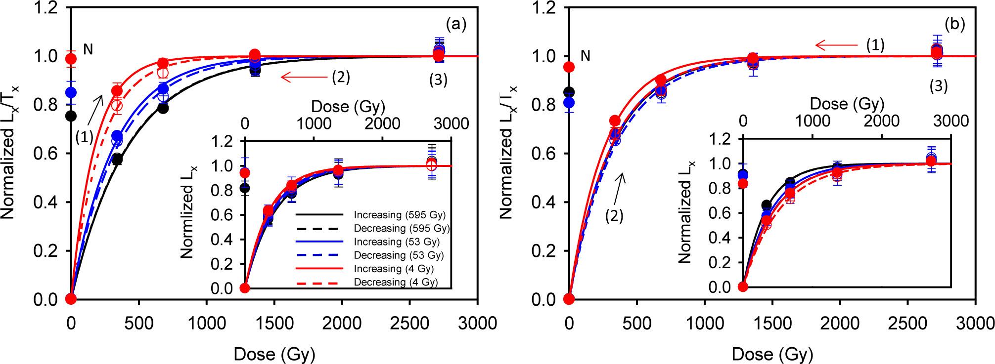
| Step | A | B | C In experiment C, Ln is the signal resulting from the natural dose, the natural+2688 Gy or bleached+2688 Gy, as appropriate. Tn is the corresponding test dose signal |
|---|---|---|---|
| 1-1 | Natural or Regeneration dose | Dose (4400 Gy) | Natural, Natural+2688 Gy, bleached+2688 Gy or Regeneration dose |
| 1-2 | Preheat at 320°C for 100 s | Preheat at T°C for 100 s T ranges from 260 to 400°C in steps of 20°C. | Preheat at 320°C for 100 s |
| 1-3 | IR at 50°C for 200 s (Lx,50) | IR at 50°C for 200 s (Lsat, 50) | IR at T °C for 200 s T is 50, 200 and 250°C |
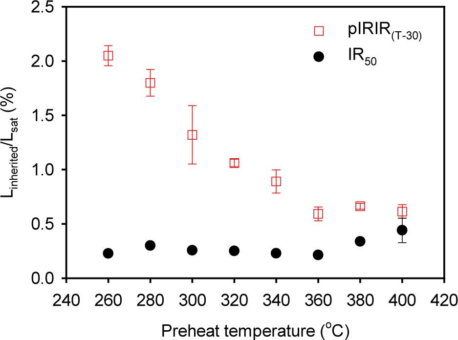
| 1-4 | IR at 290°C for 200 s (Lx,290) | IR at (T-30)°C for 200 s (Lsat, T-30) | IR at 290°C for 200 s (Ln or Lsat) |
| 1-5 | IR at 50°C for 200 s (Linherited, 50) | ||
| 1-6 | IR at (T-30)°C for 200 s (Linherited, T-30) | ||
| 2-1 | Test dose | Test dose | |
| 2-2 | Preheat at 320°C for 100 s | Preheat at 320°C for 100 s | |
| 2-3 | IR at 50°C for 200 s (Tx,50) | IR at T °C for 200 s | |
| 2-4 | IR at 290°C for 200 s (Tx,290) | IR at 290°C for 200 s (Tn or Tsat) | |
| 3-1 | IR at 325°C for 200 s (Thermo-optical wash) | IR at 325°C for 200 s (Thermo-optical wash) | |