
Figure 1
Proposed Three-Input Processing Model of Moral Judgment.
Note. This three-input processing model is meant as an integration of Cushman’s (2008) and Malle’s (2021) models of moral judgment and is represented here with its operationalization in the current study. The right side of the figure contains the various judgment types classified depending on their respective processing complexity. On the left side of the figure, the weight of input features is displayed depending on the type of moral decision process involved, which may change when navigating through the hierarchy of judgments and actions (varying width). Light colors represent input weights that have not been tested in the current research whereas dark-colored areas stand for weights of input features that are currently tested in the present research (on wrongness and blame judgments only). The grey area with the temporal line corresponds to the current study operationalization with a specified order of presentation for the various features (i.e., intent is presented first, then outcome and causality in a second step).

Figure 2
The Six Versions of a Single Scenario, Adapted from Samson and Leloup (2018).

Figure 3
Study’s Procedure Including the Mouse-Tracking Paradigm and Type of Judgment.

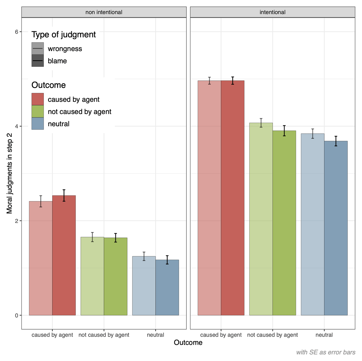
Figure 4
Effects of Intent, Outcome, and Causality Depending on Type of Judgment in Step 2.

Figure 5
Effects of Intent, Outcome, and Causality Depending on Type of Judgment during Trial Time Course.
Note. Y-coordinates were rescaled from 0 to 6 (to facilitate comparison with final judgments). Positive (vs. negative) values signaled an attraction toward the more (vs. less) severe judgments.
