The Caspian Sea (CS), the largest lake in the world, is a unique ecosystem known for its rich and diverse aquatic fauna (Karpinsky et al. 2005). Since the 1990s, intensive fishing and invasive species are major direct or indirect threats to the structural and functional organization of this unique ecosystem. Direct effects are manifested as a spatial and temporal gradient in the abundance of target species, and habitat destruction (Roohi et al. 2010; Pourang et al. 2016; Tavakoli et al. 2019; Fazli et al. 2013Fazli et al. 2020Fazli et al. 2021), while indirect effects as changes in community structure or differential effects on functional groups (Roohi et al. 2010; Pourang et al. 2016) in the CS. On the other hand, one of the main sources of impact on marine resources is climate variability and regime shifts (Johnson & Welch 2009). Beyraghdar Kashkooli et al. (2017) documented that the benthopelagic fish stocks respond to climatic events and it seems that the CS confronts the regime shift, emphasizing the need for more research and further supporting evidence.
Knowledge of fish habitat requirements and the interactions between habitat and population dynamics is essential for the management and conservation of aquatic resources (Mouton et al. 2007; Hermosilla et al. 2011). Since single-species management strategies do not fully account for ecological interactions and environmental factors (Garcia 2003), ecosystem-based fishery management is therefore a practical management approach to the conservation and restoration of fish stocks (Thrush & Dayton 2010).
Kutum (Rutilus kutum), carp (Cyprinus carpio), roach (Rutilus rutilus), Caspian vimba (Vimba vimba), shemaya (Alburnus chalcoides), barbus (Luciobarbus capito), bream (Abramis brama), asp (Leuciscus aspius), mullets (Chelon aurata and C. saliens), pikeperch (Sander lucioperca), salmon (Salmo caspius) and pike (Esox lucius) are commercially important among 159 bony fish species that occur in the CS (Naseka & Bogutskaya 2009). Several studies have been conducted to assess the stocks of the most valuable commercial bony fishes such as kutum (Fazli et al. 2012) and golden gray mullet (Fazli et al. 2013) in the southern CS. In addition, previous studies have revealed that environmental parameters can affect the habitat preferences of R. kutum (Haghi et al. 2013Haghi et al. 2015). Despite the commercial importance of bony fish, no study has been carried out on the species composition of these fish assemblages in relation to environmental parameters in the CS. This information can help fisheries managers to adopt a sustainable approach to fisheries management (Katsanevakis et al. 2009). The current study attempts to assess the status of bony fish species composition in the southern CS between 1996 and 2017. Therefore, the objectives of this study were (i) to examine the relationships between the community structure of commercial bony fish and environmental parameters, and (ii) to analyze the Abundance Biomass Comparison (ABC).
This study focuses on the deeper southern part of the sea, i.e. the southern waters of the Caspian Sea, where more than 121 beach seine fishing cooperatives target bony fishes (Fig. 1). Bony fishes were sampled by using beach seines 1200 m long and 10–20 m high, with a codend bag of 30–33 mm mesh size. Input data, including catch data by species and fishing effort (beach seine hauling) were collected from 1996 to 2017 (Iran Fisheries Organization IFO, 2018). The fishing season starts in October when the mean SST is 22.6 ± 0.84°C and ends in mid-April when SST is 14.1 ± 1.21°C (Fig. 2).
Figure 1
Map of the southern Caspian Sea (Iranian waters), the red-filled circles show the beach seine locations (Daryanabard et al. 2016).

Figure 2
Monthly mean (± SD) sea surface temperature variation in the southern Caspian Sea from 1996 to 2017.

Data on 13 species were collected randomly from 121 beach seine fishing cooperatives; fork length (FL) was measured to the nearest 0.1 cm, and body weight was determined to the nearest 0.1 g. CPUE, catch (weight, kg) per unit effort and NPUE catch (number) per unit effort of fish were estimated for each hauling, respectively (Sparre & Venema 1998). According to the catch data, about 375.8 million individuals belonging to 13 species were caught by beach seines between 1996 and 2017.
Global variables with large-scale influence – the global temperature anomaly (GTA), the East Atlantic-West Russian pattern (EAWR), the North Atlantic Oscillation (NAO), and two regional environmental variables – sea surface temperature (SST) and sea surface level (SSL) were investigated to assess the potential effects on fish species assemblages between 1996 and 2017 (Table 1). Monthly averaged regional satellite-based environmental variables, i.e. SST with 1°×1° resolution from the NOAA website (https://neo.sci.gsfc.nasa.gov), and monthly sea surface level (SSL) from the Caspian Sea National Research Center (CSNRC) and the Meteorological Organization of Mazandaran (MOM) was used to calculate local indices for the period from 1996 to 2017. These indices were measured at the Babolsar meteorological station (Fig. 1) and included evaporation (EV) and precipitation (PR).
Environmental parameters in the Caspian Sea from 1996 to 2017.
| Variable | Mean | SD | Minimum | Maximum |
|---|---|---|---|---|
| 1Precipitation, cm | 125.8 | 20.27 | 85.3 | 153.9 |
| 1Evaporation, cm | 42.9 | 3.38 | 34.9 | 48.8 |
| 2SST_Mar, °C | 11.4 | 0.77 | 10.2 | 12.6 |
| 2SST_Apr, °C | 14.2 | 1.19 | 12.1 | 17.6 |
| 2SST_Oct, °C | 22.7 | 0.79 | 21.6 | 24.2 |
| 2SST_Aug, °C | 28.2 | 0.99 | 25.3 | 29.7 |
| 2SST, °C | 19.2 | 0.42 | 18.3 | 20.2 |
| 3SSL, m | −26.4 | 0.34 | −27.1 | −26.1 |
| 3Volga discharge, km3 | 233.3 | 33.96 | 176.2 | 283.5 |
| 3Iran's rivers discharge, km3 | 3.79 | 1.58 | 1.98 | 7.50 |
| 2GTA | 1.14 | 0.82 | −0.88 | 2.42 |
| 4EAWR | −0.20 | 0.94 | −2.12 | 2.11 |
| 4NAO | −0.13 | 0.38 | −1.29 | 0.40 |
Babolsar meteorological station (Meteorological Organization of Mazandaran);
Caspian Sea National Research Center;
The annual Volga discharge (VD) and five Iranian river discharges (IRD) were used in this study. In the Caspian basin, about 80% of the river discharge (with an average flow of 237 km3/year) is from the Volga River, from the north of the sea (Arpe et al. 2000). In the Iranian basin, the average inflow of the Sefidrood, Polrood, Haraz, Chaloos, and Baborood rivers is 5.33 km3/year (Ataei et al. 2019).
Fish abundance indices (NPUE and CPUE) were fourth-root transformed prior to analysis. Non-metric multidimensional scaling (nMDS) based on the Bray–Curtis similarity measure was used to determine similarities in the species composition across the study years (Clarke & Warwick 2001).
A Distance-based Linear Model (DistLM) was employed to analyze the relationships between species composition and environmental variables. The analysis was carried out after normalization and removal of highly correlated environmental variables (draftsmans plot > 0.9). DistLM based on the best procedure, Akaike’s information criterion (AIC), and 9999 permutations were used to test significant relationships between diversity indices, single species (Euclidian distance), and environmental variables. AIC was employed to select the best model.
ABC (abundance biomass comparison) curves were created and W statistics were estimated for the years 1996 to 2017. Multivariate analysis was carried out using PRIMER V.6 and PERMANOVA + (Clark & Warwick 2001; Clarke & Gorley 2006; Anderson et al. 2008).
For each year, the Shannon–Wiener index (H′, using log base e) was calculated using the DIVERS routine in the PRIMER package (Clarck & Gorley 2006).
In the present study, Cyprinidae with eight species (61.5%), followed by Mugilidae with two species (15.4%) were the dominant families. Three families – Percidae (S. lucioperca), Salmonidae (S. caspius), and Siluridae (E. Lucius) – were represented by only one species each. The most abundant species were R. kutum (47.14%), followed by C. aurata (40.80%) and C. carpio (4.49%). The relative abundance of these species was 62.65, 29.34, and 4.97%, respectively (Table 2). In total, Cyprinidae were the most abundant family in beach seine fishery based on the number of individuals and weight (54.3% and 68.5%).
Mean annual catch number per unit effort (NPUE) and catch per unit effort (kg/beach seine, CPUE, ± SE) of commercial bony fish in the Caspian Sea in 1996–2017.
| Family | Species | NPUE (number) | CPUE (kg/beach seine) | ||||
|---|---|---|---|---|---|---|---|
| Mean | SE | % | Mean | SE | % | ||
| Cyprinidae | Rutilus kutum | 168.20 | 12.97 | 47.14 | 118.32 | 9.37 | 62.65 |
| Cyprinus carpio | 16.01 | 7.12 | 4.49 | 9.38 | 3.35 | 4.97 | |
| Rutilus rutilus | 4.45 | 1.21 | 1.25 | 0.70 | 0.20 | 0.37 | |
| Vimba vimba | 3.22 | 0.81 | 0.90 | 0.44 | 0.11 | 0.23 | |
| Alburnus chalcoides | 1.05 | 0.26 | 0.29 | 0.21 | 0.05 | 0.11 | |
| Leuciscus aspius | 0.06 | 0.02 | 0.02 | 0.04 | 0.01 | 0.02 | |
| Abramis brama | 0.60 | 0.14 | 0.17 | 0.12 | 0.03 | 0.06 | |
| Luciobarbus capito | 0.14 | 0.03 | 0.04 | 0.10 | 0.02 | 0.06 | |
| Mugilidae | Chelon aurata | 145.61 | 11.79 | 40.80 | 55.41 | 4.67 | 29.34 |
| Chelon saliens | 16.09 | 4.41 | 4.51 | 3.57 | 0.98 | 1.89 | |
| Percidae | Sander lucioperca | 1.34 | 0.34 | 0.38 | 0.50 | 0.13 | 0.27 |
| Salmonidae | Salmo caspius | 0.02 | 0.01 | 0.01 | 0.05 | 0.01 | 0.03 |
| Siluridae | Esox lucius | 0.05 | 0.02 | 0.01 | 0.02 | 0.01 | 0.01 |
The nMDS analysis based on the commercial bony fish composition from all the study years showed a trajectory from the years 1996 to 2017 for both NPUE and CPUE and a gradient from 1996 to 2017 (Fig. 3). In addition, based on the data for both indices, the result of clustering of the years using the Bray–Curtis index for similarities showed four groups (group a = 1996–2002, b = 2003–2005, c = 2006–2008, and d = 2009–2017; Fig. 3).
Figure 3
MDS-ordination based on Bray–Curtis similarity, trajectory, and clustering (groups: a, b, c, and d) of the commercial bony fish assemblage in the Caspian Sea in 1996–2017, based on A) NPUE, and B) CPUE.

DisTLM showed that five of the environmental variables were significantly correlated with the fauna NPUE resemblance matrix (DisTLM, p < 0.05; Table 3). Year was the best fit, explaining 46.94% of the multivariate variability, followed by SSL, VD, IRD, and EAWR (34.04, 14.99, 13.11, and 12.75%, respectively). Based on the AIC criteria, the best fit with the lowest AIC value, the combination of year, PR, SST_Apr, SSL, SST, GTA, VD, and IRD, used to build the parsimonious DisTLM model, explained 80.3% of the total variability in the interannual similarity (Bray–Curtis similarities). The first axis was mainly correlated with year (–0.98), SSL (0.79), EAWR (0.48), and VD (0.49), while the second axis was correlated with SSL (0.51) and IRD (0.53). The first two dbRDA ordination axes explained 86.3% of the total variability (Fig. 4). Therefore, the dbRDA ordination explained 0.803 × 86.3% = 69.3% of the total variability in the commercial bony fish similarity matrix.
Figure 4
dbRDA plot of Bray-Curtis similarity between fish abundance similarity and environmental variables. The first two axes of dnRDA ordination explained 86.3% of the variation and 69.3% of the total variability in the species composition.

Results of the DistLM model, containing the Sum of Square (SS), Pseudo-F statistic, p-value, and proportional total variance.
| Variable | SS | Pseudo-F | P-value | Proportion % |
|---|---|---|---|---|
| Year | 1007.0 | 17.70 | 0.001 | 46.94 |
| SSL | 730.1 | 10.32 | 0.001 | 34.04 |
| VD | 321.5 | 3.53 | 0.013 | 14.99 |
| IRD | 281.2 | 3.02 | 0.032 | 13.11 |
| EAWR | 273.5 | 2.92 | 0.040 | 12.75 |
| EV | 192.0 | 1.97 | 0.111 | 8.95 |
| SST_Mar | 169.8 | 1.72 | 0.155 | 7.91 |
| SST | 146.0 | 1.46 | 0.208 | 6.81 |
| SST_Aug | 96.2 | 0.94 | 0.433 | 4.48 |
| NAO | 96.1 | 0.94 | 0.430 | 4.48 |
| PR | 86.8 | 0.84 | 0.486 | 4.04 |
| SST_Apr | 85.4 | 0.83 | 0.491 | 3.98 |
| SST_Oct | 67.9 | 0.65 | 0.602 | 3.16 |
| GTA | 58.1 | 0.56 | 0.688 | 2.71 |
The DistLM results indicated that H′ was correlated with year, SSL, and IRD. For this index, the three factors explained 86.7% of the total variation. The DistLM results for the most abundant species (species with a percentage value higher than 1%) showed that the distribution of R. kutum was affected by year, PR, SST_Apr, SSL, SST, VD (66.6%), while C. carpio was affected by year, PR, SSL, SST, SST_Aug, IRD, and VD (77.0%). Year, PR, SST_Mar, SST_Apr, SST_Oct, SSL, SST, SST_Aug, EAWR, VD, NAO explained 97.5% of the variation in R. rutilus distribution. Year, SST_Oct, EV, SSL, SST, GTA, EAWR, VD, NAO accounted for the largest proportion of the variance explained for C. aurata and C. saliens (93.2 and 91.2%, respectively; Table 4).
Relationship between environmental variables and diversity index, most abundant fish species (species with a percentage value higher than 1%) in the Caspian Sea.
| Variables | AIC | RSS | R2 | |
|---|---|---|---|---|
| Community | Year, PR, SST_Apr, SSL, SST, GTA, IRD, VD | 83.0 | 422.7 | 0.803 |
| Shannon diversity | Year, SSL, IRD | −86.3 | 0.302 | 0.867 |
| Rutilus kutum | Year, PR, SST_Apr, SSL, SST, VD | −64.0 | 0.634 | 0.666 |
| Cyprinus carpio | Year, PR, SSL, SST, SST_Aug, IRD, VD | −30.9 | 2.615 | 0.770 |
| Rutilus rutilus | Year, PR, SST_Mar, SST_Apr, SST_Oct, SSL, SST, SST_Aug, EAWR, VD, NAO | −95.1 | 0.098 | 0.975 |
| Chelon aurata | Year, SST_Oct, EV, SSL, SST, GTA, EAWR, VD, NAO | −66.8 | 0.388 | 0.832 |
| Chelon saliens | Year, PR, SST_Oct, SSL, SST, GTA, EAWR, VD, NAO | −57.9 | 0.638 | 0.912 |
Figure 5 shows ABC curves for the study period. There is a gentle gradient of changes in the abundance and biomass dominance. For the period 1996–2003, the abundance curve lies above the biomass curve and has a negative W statistic, while in the later period, the biomass curve lies above the abundance curve, and the W statistic is positive, except for 2014 (Fig. 5).
Figure 5
ABC curves for the bony fish assemblage in the southern Caspian Sea for the period from 1996 to 2017.

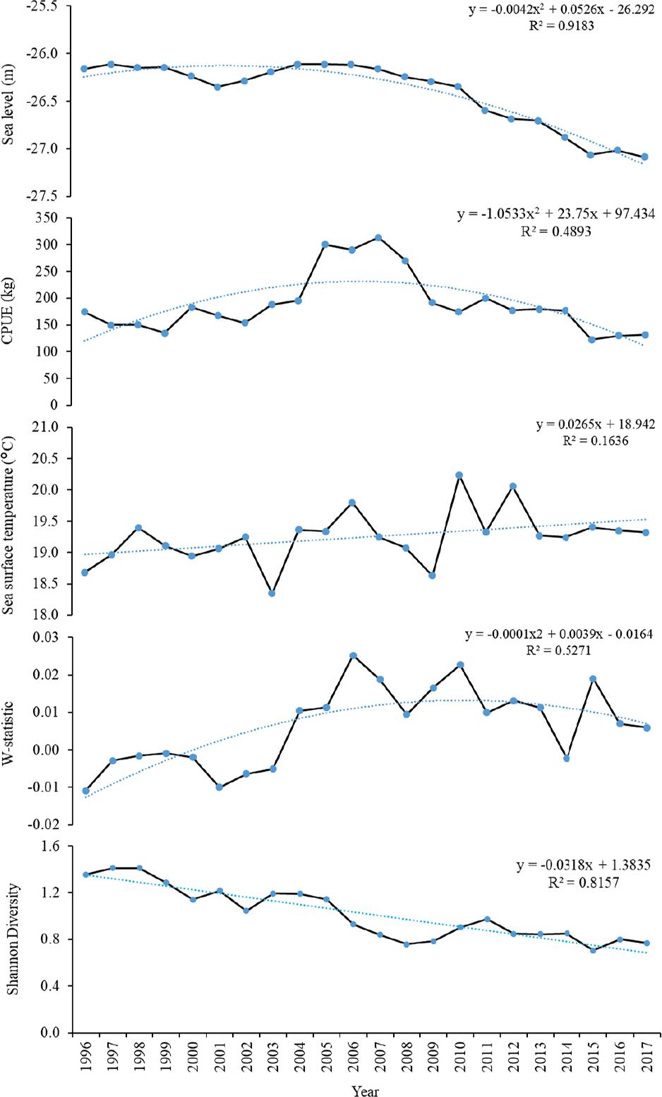
Figure 6 shows the temporal trends in SSL, CPUE, SST, W statistic, and H′ for the period from 1996 to 2017. SST and H′ showed linear relationships, while other variables showed polynomial relationships across the years. SSL and H′ showed a decreasing trend during this period. CPUE and W statistics showed an increasing trend for the period from 1996 to 2006, while in the later period these variables showed a decreasing trend (Fig. 6).
Figure 6
Trend in sea level, CPUE, sea surface temperature, W statistic, and Shannon diversity index for commercial bony fish in the Caspian Sea for the period from 1996 to 2017. Linear relationships were fitted to the SST and Shannon diversity index, and polynomial relationships were fitted to the sea level, CPUE, and W statistic to indicate the trend.

The ABC curves and W statistics suggest that commercial bony fish communities were environmentally stressed in the southern CS from 1996 to 2003 (negative scores of the W index). The ABC variations were mainly due to changes in the relative abundance and biomass of benthic communities such as polychaete species (Warwick & Clarke 1994). Most of the species involved in the present study, such as R. kutum, C. carpio, V. vimba, L. aspius, A. brama, L. capito, are benthopelagic and other species are pelagic or neritic species (Froese & Pauly 2019). According to Yemane et al. (2005) and Blanchard et al. (2004), ABC plots of demersal fish may reflect changes in the relative abundance of large and small species in assemblages. Roohi et al. (2010) reported that the Caspian macrobenthos composition changed after the invasion of Mnemiopsis leidyi (Ctenophora), which took place in the 1990s, and the macrobenthic community structure shifted from the dominant filter-feeding group (crustaceans) to deposit-feeders such as Neries diversicolor (Polychaete) and oligochaetes. Therefore, the negative scores of the W index could be related to changes in the macrobenthos community in the 1990s.
The decreasing trend of H′ suggests that the bony fish assemblage has been exposed to increasing stress over the last 22 years (Fig. 6). The ABC curves and the W index were helpful in determining the environmental stress (Mise et al. 2018), however, more conclusions were derived from analyzing the correlations between fish diversity and environmental conditions and anthropogenic activities.
In recent decades, due to the increasing impact of anthropogenic activities on marine biota, the United Nations has intensified efforts to ensure the conservation of marine biodiversity (Escobar-Toledo et al. 2015). As a result, it has been suggested that strategies for marine resources management should be based on the ecosystem context, including protection of habitats, non-target species, and populations of commercially valuable species (Pikitch et al. 2004). In the case of the CS, commercially most important fish stocks, such as two main pelagic species i.e. kilka (Fazli et al. 2020) and sturgeons (Khodorevskaya et al. 2009Khodorevskaya et al. 2014; Qiwei 2010; Tavakoli et al. 2019; Fazli et al. 2021), collapsed due to overfishing and ecosystem destruction.
The present study provides baseline information on the commercial bony fish populations in the CS. Of the 13 commercial bony fish species, only two species R. kutum and C. aurata accounted for about 90% of the total catch. Similar results were reported by Sulymanova et al. (2015) from the Absheron Gulfs of the CS using different fishing methods (set net). They reported that of the 33 species, 12 species belonged to commercial demersal fish species, of which R. rutilus and C. aurata were the most abundant ones.
NPUE and CPUE of bony fish showed a decreasing trend from 1996 to 2017 (Fig. 3), and their community structure was strongly correlated with year, PR, SSL, SST, GTA, and freshwater discharges. These environmental variables significantly correlated with the distribution of the three most migratory anadromous fish species (R. kutum, C. carpio, and R. rutilus) and two exotic catadromous species of mullets (C. aurata and C. saliens) in this study (Table 4). Beyraghdar Kashkooli et al. (2017) documented that stocks of two benthopelagic fishes (R. kutum and C. aurata) respond to climatic events and the CS seems to confront the regime shift and reported that the Siberian High (SH) triggered the SST regime shift in the late 1990s. This suggests that changes in the global climate indices are followed by changes in the regional (SST) and local indices (RD and EV) in recent decades. In addition, three factors (year, SSL, IRD) explained 86.7% of the total variation of H′. It appears that due to the current downward trend in SSL, NPUE, river discharge, spawning ground deterioration, limited habitats and increasing SST, the downward trend in biodiversity will continue in the future as most anadromous bony species from the CS spawn in the rivers.
Based on the ABC curves and W statistics obtained in the present study, it can be concluded that the fish assemblage in the southern CS was environmentally stressed between 1996 and 2003. The abundance indices of bony fish show a gradient, and their community structure is strongly correlated with environmental variability. The environmental parameters, namely PR, SST, SSL, and freshwater discharge, significantly affect the multispecies community, H′, and individual fish species. H′ shows a decreasing trend, suggesting that Iranian commercial fish species have been increasingly stressed over the past 22 years. Considering the current environmental conditions (decreasing trend in SSL river discharges and increasing SST) and anthropogenic activities (spawning ground deterioration and overfishing), it appears that the decreasing trend in H′ will continue in the future.